Информационная система
«Ёшкин Кот»

XXXecatmenu

ФЕДЕРАЛЬНОЕ АГЕНТСТВО
ПО ТЕХНИЧЕСКОМУ РЕГУЛИРОВАНИЮ И МЕТРОЛОГИИ

НАЦИОНАЛЬНЫЙ

СТАНДАРТ

РОССИЙСКОЙ

ФЕДЕРАЦИИ

ГОСТ Р ИСО
10303-511-2006

 

Системы автоматизации производства
и их интеграция

ПРЕДСТАВЛЕНИЕ ДАННЫХ ОБ ИЗДЕЛИИ
И ОБМЕН ЭТИМИ ДАННЫМИ

Часть 511

Прикладные интерпретированные конструкции.
Топологически ограниченная поверхность

ISO 10303-511:2001

Industrial automation systems and integration -
Product data representation
and exchange - Part 511: Application interpreted
construct: Topologically bounded surface
(IDT)

 

 

Москва

Стандартинформ

2007

 

Предисловие

Цели и принципы стандартизации в Российской Федерации установлены Федеральным законом от 27 декабря 2002 г. № 184-ФЗ «О техническом регулировании», а правила применения национальных стандартов Российской Федерации - ГОСТ Р 1.0-2004 «Стандартизация в Российской Федерации. Основные положения»

Сведения о стандарте

1 ПОДГОТОВЛЕН Государственным научным учреждением «Центральный научно-исследовательский и опытно-конструкторский институт робототехники и технической кибернетики» на основе собственного аутентичного перевода стандарта, указанного в пункте 4

2 ВНЕСЕН Техническим комитетом по стандартизации ТК 459 «Информационная поддержка жизненного цикла изделий»

3 УТВЕРЖДЕН И ВВЕДЕН В ДЕЙСТВИЕ Приказом Федерального агентства по техническому регулированию и метрологии от 27 декабря 2006 г. № 493-ст

4 Настоящий стандарт идентичен международному стандарту ИСО 10303-511:2001 «Системы автоматизации производства и их интеграция. Представление данных об изделии и обмен этими данными. Часть 511. Прикладные интерпретированные конструкции. Топологически ограниченная поверхность» (ISO 10303-511:2001 «Industrial automation systems and integration - Product data representation and exchange - Part 511: Application interpreted construct: Topological bounded surface»). При применении настоящего стандарта рекомендуется использовать вместо ссылочных международных стандартов соответствующие им национальные стандарты Российской Федерации, сведения о которых приведены в дополнительном приложении Е

5 ВВЕДЕН ВПЕРВЫЕ

 

Информация об изменениях к настоящему стандарту публикуется в ежегодно издаваемом информационном указателе «Национальные стандарты», а текст изменений и поправок - е ежемесячно издаваемых информационных указателях «Национальные стандарты». В случае пересмотра (замены) или отмены настоящего стандарта соответствующее уведомление будет опубликовано в ежемесячно издаваемом информационном указателе «Национальные стандарты». Соответствующая информация, уведомление и тексты размещаются также в информационной системе общего пользования - на официальном сайте Федерального агентства по техническому регулированию и метрологии в сети Интернет

 

СОДЕРЖАНИЕ

1 Область применения. 3

2 Нормативные ссылки. 3

3 Термины и определения. 4

3.1 Термины, определенные в ИСО 10303-1. 4

3.2 Термины, определенные в ИСО 10303-42. 4

3.3 Термин, определенный в ИСО 10303-202. 4

3.4 Другие определения. 5

4 Сокращенный листинг на языке EXPRESS. 5

4.1 Основные понятия и допущения. 7

4.2 Определение объекта advanced_face схемы aic_topologically_bounded_surface. 7

Приложение А (обязательное) Сокращенное наименование объекта. 10

Приложение В (обязательное) Регистрация информационного объекта. 11

Приложение С (справочное) Машинно-интерпретируемые листинги. 11

Приложение D (справочное) EXPRESS-G диаграммы.. 11

Приложение Е (справочное) Сведения о соответствии национальных стандартов Российской Федерации ссылочным международным стандартам.. 19

 

Введение

Стандарты комплекса ИСО 10303 распространяются на компьютерное представление информации об изделиях и обмен данными об изделиях. Их целью является обеспечение нейтрального механизма, способного описывать изделия на всем протяжении их жизненного цикла. Этот механизм применим не только для нейтрального обмена файлами, но является также основой для реализации и совместного доступа к базам данных об изделиях и организации архивирования.

Стандарты комплекса ИСО 10303 представляют собой набор отдельно издаваемых стандартов (частей). Стандарты данного комплекса относятся к одной из следующих тематических групп: методы описания, интегрированные ресурсы, прикладные интерпретированные конструкции, прикладные протоколы, комплекты абстрактных тестов, методы реализации и аттестационное тестирование. Группы стандартов данного комплекса описаны в ИСО 10303-1. Настоящий стандарт входит в группу прикладных интерпретированных конструкций.

Прикладная интерпретированная конструкция (ПИК) обеспечивает логическую группировку интерпретированных конструкций, поддерживающих конкретную функциональность для использования данных об изделии в разнообразных прикладных контекстах. Интерпретированная конструкция представляет собой обычную интерпретацию интегрированных ресурсов, поддерживающую требования совместного использования информации прикладными протоколами.

Настоящий стандарт определяет прикладную интерпретированную конструкцию для топологически ограниченной поверхности с явно описанной топологией и полностью определенной геометрией. Геометрия граней и ребер включает в себя элементарную геометрию и геометрию свободных форм.

 

НАЦИОНАЛЬНЫЙ СТАНДАРТ РОССИЙСКОЙ ФЕДЕРАЦИИ

Системы автоматизации производства и их интеграция

ПРЕДСТАВЛЕНИЕ ДАННЫХ ОБ ИЗДЕЛИИ И ОБМЕН ЭТИМИ ДАННЫМИ

Часть 511

Прикладные интерпретированные конструкции.
Топологически ограниченная поверхность

Industrial automation systems and integration. Product data representation and exchange.
Part 511. Application interpreted constructions. Topologically bounded surface

Дата введения - 2007-07-01

1 Область применения

Настоящий стандарт определяет интерпретацию интегрированных ресурсов, обеспечивающую соответствие требованиям к определению грани с явными топологическими границами и полностью определенной геометрией.

Область применения настоящего стандарта распространяется на:

- трехмерную геометрию;

- би-сплайновые кривые и поверхности;

- кривые второго порядка;

- элементарные кривые;

- элементарные поверхности;

- полилинии;

- параметрические кривые;

- рельефные поверхности;

- поверхностные кривые, ссылающиеся на параметрические кривые;

- изогнутые поверхности;

- пространственные кривые;

- геометрию свободных форм;

- геометрические преобразования;

- использование топологии для ограничения геометрических объектов.

Область применения настоящего стандарта не распространяется на:

- двумерную геометрию, кроме определения параметрических кривых в пространстве параметров поверхности;

- ограниченные линии, кроме полилиний и би-сплайновых кривых;

- ограниченные поверхности, кроме би-сплайновых поверхностей;

- вынесенные линии и поверхности.

2 Нормативные ссылки

В настоящем стандарте использованы ссылки на следующие международные стандарты:

ИСО/МЭК 8824-1:1995 Информационные технологии. Открытая взаимосвязь систем. Абстрактная синтаксическая нотация Один (ASN.1). Часть 1. Спецификация базовой нотации

ИСО 10303-1:1994 Системы автоматизации производства и их интеграция. Представление данных об изделии и обмен этими данными. Часть 1. Общие представления и основополагающие принципы

ИСО 10303-11:1994 Системы автоматизации производства и их интеграция. Представление данных об изделии и обмен этими данными. Часть 11. Методы описания. Справочное руководство по языку EXPRESS

ИСО 10303-41:1994 Системы автоматизации производства и их интеграция. Представление данных об изделии и обмен этими данными. Часть 41. Интегрированные обобщенные ресурсы. Основы описания и поддержки изделий

ИСО 10303-42:1994 Системы автоматизации производства и их интеграция. Представление данных об изделии и обмен этими данными. Часть 42. Интегрированные обобщенные ресурсы. Геометрическое и топологическое представление

ИСО 10303-43:1994 Системы автоматизации производства и их интеграция. Представление данных об изделии и обмен этими данными. Часть 43. Интегрированные обобщенные ресурсы. Структуры представлений

ИСО 10303-202:1996 Системы автоматизации производства и их интеграция. Представление данных об изделии и обмен этими данными. Часть 202. Прикладные протоколы. Ассоциативные чертежи

3 Термины и определения

3.1 Термины, определенные в ИСО 10303-1

В настоящем стандарте применены следующие термины:

- приложение (application);

- прикладной контекст (application context);

- прикладной протокол; ПП (application protocol; АР);

- метод реализации (implementation method);

- интегрированный ресурс (integrated resource);

- интерпретация (interpretation);

- модель (model);

- изделие (product);

- данные об изделии (product data).

3.2 Термины, определенные в ИСО 10303-42

В настоящем стандарте применены следующие термины:

- осесимметричный (axi-symmetric);

- граница (boundary);

- ограничения (bounds);

- координатное пространство (coordinate space);

- кривая (curve);

- незамкнутая кривая (open curve);

- ориентируемый (orientable);

- поверхность (surface);

- топологическое значение (topological sense).

3.3 Термин, определенный в ИСО 10303-202

В настоящем стандарте применен следующий термин:

- прикладная интерпретированная конструкция; ПИК (application interpreted construct; AIC): Логическая группировка интерпретируемых конструкций, которая поддерживает определенную функцию для использования данных об изделии в контекстах различных приложений.

3.4 Другие определения

В настоящем стандарте также применены следующие термины с соответствующими определениями:

3.4.1 расширенная грань (advanced face): Грань, определенная на поверхности. Такая грань является конечной частью поверхности, которая имеет свои границы, полностью определенные посредством топологических объектов, соответствующих геометрическим кривым. Требуется, чтобы геометрия поверхности соответствовала либо элементарной поверхности, либо изогнутой поверхности, либо би-сплайновой поверхности.

3.4.2 рельефная поверхность (sculptured surface): Би-параметрическая поверхность произвольной формы. В настоящем стандарте рельефная поверхность представляется би-сплайновой поверхностью.

3.4.3 изогнутая поверхность (swept surface): Поверхность, полученная путем перемещения или вращения кривой.

3.4.4 пространственная кривая (twisted curve): Параметрическая кривая в трехмерном пространстве. В настоящем стандарте пространственная кривая представляется би-сплайновой кривой.

4 Сокращенный листинг на языке EXPRESS

В настоящем разделе определена EXPRESS-схема, в которой используются элементы интегрированных ресурсов и содержатся типы, конкретизации объектов и функции, относящиеся к настоящему стандарту.

Примечание - В интегрированных ресурсах допускается существование подтипов и элементов списков выбора, не импортированных в данную ПИК. Такие конструкции исключают из дерева подтипов или из списка выбора посредством правил неявного интерфейса, определенных в ИСО 10303-11. Ссылки на исключенные конструкции находятся вне области применения данной ПИК. В некоторых случаях исключаются все элементы списка выбора. Поскольку ПИК предназначены для реализации в контексте прикладного протокола, элементы списка выбора будут определяться областью применения прикладного протокола.

Данная интерпретируемая приложением конструкция предоставляет непротиворечивое множество геометрических и топологических объектов для определения грани с полностью определенной геометрией и явной топологией, определяющей ее границы. Допустимые типы геометрии грани включают в себя элементарные и би-сплайновые поверхности. Требуется, чтобы геометрия ребер была определена кривыми, в том числе параметрическими.

Объектом самого верхнего уровня в данной ПИК является advanced_face, который является специализированным типом объекта face_surface (см. ИСО 10303-42). Правила, относящиеся к этому объекту, обеспечивают полное определение топологии и геометрии.

EXPRESS-спецификация

*)

SCHEMA aic_topologically_bounded_surface;

USE FROM geometry_schema

(axis2_placement_2d,

axis2_placement_3d,

bezier_curve,

bezier_surface,

b_spline_curve_with_knots,

b_spline_surface_with_knots,

cartesian_point,

circle,

composite_curve_on_surface,

conical_surface,

cylindrical_surface,

degenerate_toroidal_surface,

direction,

ellipse,

geometric_representation_context,

hyperbola,

line,

parabola,

pcurve,

plane,

polyline,

quasi_uniform_curve,

quasi_uniform_surface,

rational_b_spline_curve,

rational_b_spline_surface,

spherical_surface,

surface_curve,

surface_of_linear_extrusion,

surface_of_revolution,

swept_surface,

toroidal_surface,

uniform_curve,

uniform_surface,

vector);

USE FROM topology_schema

(edge,

edge_curve,

edge_loop,

face_bound,

face_outer_bound,

face_surface,

oriented_edge,

path,

vertex_loop,

vertex_point);

USE FROM representation_schema

(definitional_representation,

parametric_representation_context);

USE FROM measure_schema (parameter_value);

(*

Примечания

1 Для объектов edge, path и swept_surface установлены явные интерфейсы, т.е. они включены в списки операторов USE FORM для того, чтобы позволить правилам, действующим в рамках объекта advanced_face, получить доступ к атрибутам этих объектов. Для использования данной ПИК требуется только, чтобы эти объекты реализовывались в виде одного из своих подтипов.

2 Схемы, на которые выше даны ссылки, можно найти в следующих стандартах комплекса ИСО 10303:

geometry_schema - ИСО 10303-42;

topology_schema - ИСО 10303-42;

representation_schema - ИСО 10303-43;

measure_schema - ИСО 10303-41.

4.1 Основные понятия и допущения

Подразумевается, что независимой реализации в схемах прикладных протоколов, в которых используется данная ПИК, подлежат следующие объекты:

advanced_face;

axis2_placement_2d;

axis2_placement_3d;

bezier_curve;

bezier_surface;

b_spline_curve_with_knots;

b_spline_surface_with_knots;

cartesian_point;

circle;

conical_surface;

definitional_representation;

degenerate_toroidal_surface;

cylindrical_surface;

direction;

edge_curve;

edge_loop;

ellipse;

face_bound;

face_outer_bound;

face_surface;

geometric_representation_context;

hyperbola;

line;

parabola;

parametric_representation_context;

pcurve;

plane;

polyline;

quasi_uniform_curve;

quasi_uniform_surface;

rational_b_spline_curve;

rational_b_spline_surface;

spherical_surface;

surface_of_linear_extrusion;

surface_of_revolution;

toroidal_surface;

uniform_curve;

uniform_surface;

vector;

vertex_loop;

vertex_point.

Прикладной протокол, использующий данную ПИК, должен требовать, чтобы поддерживались все вышеперечисленные объекты.

Прикладной протокол, использующий данную ПИК, должен требовать, чтобы объект face реализовывался как объект advanced_face.

4.2 Определение объекта advanced_face схемы aic_topologically_bounded_surface

Объект advanced_face является специальным типом объекта face_surface, который имеет дополнительные ограничения с тем, чтобы гарантировать то, что геометрия прямо и полностью определена. Объект advanced_face является объектом верхнего уровня, который используется для формулировки точного смысла топологически ограниченной поверхности, соответствующей области применения данной ПИК.

Требуется, чтобы объект advanced_face был полностью ограничен посредством объектов edge_loop или vertex_loop.

Тип face_outer_bound может иметь не более одной границы (объект bound) грани.

Примечание - Для некоторых типов замкнутых или частично замкнутых поверхностей может оказаться невозможным установить единственную внешнюю границу.

Примеры

1 Любой объект edge_loop на плоской поверхности может использоваться для определения объекта face_outer_bound при условии, что он не заключен в какой-либо другой замкнутой цепи на грани.

2 Окружная замкнутая петля вокруг цилиндрической поверхности (объект cylindrical_surface) не может определять объект face_outer_bound, так как она не окружает замкнутую область поверхности.

EXPRESS-спецификация

*)

ENTITY advanced_face

SUBTYPE OF (face_surface);

WHERE

WR1: SIZEOF (['AIC_TOPOLOGICALLY_BOUNDED_SURFACE.ELEMENTARY_SURFACE',

'AIC_TOPOLOGICALLY_BOUNDED_SURFACE.B_SPLINE_SURFACE',

'AIC_TOPOLOGICALLY_BOUNDED_SURFACE.SWEPT_SURFACE']*

TYPEOF (face_geometry)) = 1;

WR2: SIZEOF (QUERY (elp_fbnds <* QUERY (bnds <* bounds |

'AIC_TOPOLOGICALLY_BOUNDED_SURFACE.EDGE_LOOP' IN

TYPEOF (bnds.bound)) | NOT (SIZEOF (QUERY

(oe <* elp_fbnds.bound\path.edge_list |

NOT ('AIC_TOPOLOGICALLY_BOUNDED_SURFACE.EDGE_CURVE' IN

TYPEOF (oe\oriented_edge.edge_element)))) = 0))) = 0;

WR3: SIZEOF (QUERY (elp_fbnds <* QUERY (bnds <* bounds |

'AIC_TOPOLOGICALLY_BOUNDED_SURFACE.EDGE_LOOP' IN

TYPEOF (bnds.bound))

NOT (SIZEOF (QUERY (oe <* elp_fbnds.bound\path.edge_list |

NOT (SIZEOF (['AIC_TOPOLOGICALLY_BOUNDED_SURFACE.LINE',

'AIC_TOPOLOGICALLY_BOUNDED_SURFACE.CONIC',

'AIC_TOPOLOGICALLY_BOUNDED_SURFACE.POLYLINE',

'AIC_TOPOLOGICALLY_BOUNDED_SURFACE.SURFACE_CURVE',

'AIC_TOPOLOGICALLY_BOUNDED_SURFACE.B_SPLINE_CURVE']*

TYPEOF (oe.edge_element\edge_curve.edge_geometry)) = 1)

)) = 0))) = 0;

WR4: SIZEOF (QUERY (elp_fbnds <* QUERY (bnds <* bounds |

'AIC_TOPOLOGICALLY_BOUNDED_SURFACE.EDGE_LOOP' IN

TYPEOF (bnds.bound)) |

NOT (SIZEOF (QUERY (oe <* elp_fbnds.bound\path.edge_list |

NOT (((('AIC_TOPOLOGICALLY_BOUNDED_SURFACE.VERTEX_POINT' IN

TYPEOF (oe\edge.edge_start)) AND

('AIC_TOPOLOGICALLY_BOUNDED_SURFACE.CARTESIAN_POINT' IN

TYPEOF (oe\edge.edge_start\vertex_point.vertex_geometry)))) AND

(('AIC_TOPOLOGICALLY_BOUNDED_SURFACE.VERTEX_POINT' IN

TYPEOF (oe\edge.edge_end)) AND

('AIC_TOPOLOGICALLY_BOUNDED_SURFACE.CARTESIAN_POINT' IN

TYPEOF (oe\edge.edge_end\vertex_point.vertex_geometry)))

))) = 0))) = 0;

WR5: SIZEOF (QUERY (elp_fbnds <* QUERY (bnds <* bounds |

'AIC_TOPOLOGICALLY_BOUNDED_SURFACE.EDGE_LOOP'IN

TYPEOF (bnds.bound)) |

'AIC_TOPOLOGICALLY_BOUNDED_SURFACE.ORIENTED_PATH' IN

TYPEOF (elp_fbnds.bound))) = 0;

WR6: (NOT ('AIC_TOPOLOGICALLY_BOUNDED_SURFACE.SWEPT_SURFACE' IN

TYPEOF (face_geometry))) OR

(SIZEOF (['AIC_TOPOLOGICALLY_BOUNDED_SURFACE.LINE',

'AIC_TOPOLOGICALLY_BOUNDED_SURFACE.CONIC',

'AIC_TOPOLOGICALLY_BOUNDED_SURFACE.POLYLINE',

'AIC_TOPOLOGICALLY_BOUNDED_SURFACE.B_SPLINE_CURVE']*

TYPEOF (face_geometry\swept_surface.swept_curve)) = 1);

WR7: SIZEOF (QUERY (vlp_fbnds <* QUERY (bnds <* bounds |

'AIC_TOPOLOGICALLY_BOUNDED_SURFACE.VERTEX_LOOP' IN

TYPEOF (bnds.bound)) |

NOT (('AIC_TOPOLOGICALLY_BOUNDED_SURFACE.VERTEX_POINT' IN

TYPEOF (vlp_fbnds\face_bound.bound\vertex_loop.loop_vertex))

AND ('AIC_TOPOLOGICALLY_BOUNDED_SURFACE.CARTESIAN_POINT' IN

TYPEOF (vlp_fbnds\face_bound.bound\vertex_loop.

loop_vertex\vertex_point.vertex_geometry))

))) = 0;

WR8: SIZEOF (QUERY (bnd <* bounds |

NOT (SIZEOF (['AIC_TOPOLOGICALLY_BOUNDED_SURFACE.EDGE_LOOP',

'AIC_TOPOLOGICALLY_BOUNDED_SURFACE.VERTEX_LOOP']*

TYPEOF (bnd.bound)) = 1))) = 0;

WR9: SIZEOF (QUERY (elp_fbnds <* QUERY (bnds <* bounds |

'AIC_TOPOLOGICALLY_BOUNDED_SURFACE.EDGE_LOOP' IN

TYPEOF (bnds.bound)) |

NOT (SIZEOF (QUERY (oe <* elp_fbnds.bound\path.edge_list |

('AIC_TOPOLOGICALLY_BOUNDED_SURFACE.SURFACE_CURVE' IN

TYPEOF (oe\oriented_edge.edge_element\edge_curve.edge_geometry))

AND (NOT (SIZEOF (QUERY (sc_ag <*

oe.edge_element\edge_curve.edge_geometry\

surface_curve.associated_geometry |

NOT ('AIC_TOPOLOGICALLY_BOUNDED_SURFACE.PCURVE' IN

TYPEOF (sc_ag)))) = 0)))) = 0))) = 0;

WR10: ((NOT ('AIC_TOPOLOGICALLY_BOUNDED_SURFACE.SWEPT_SURFACE' IN

TYPEOF (face_geometry))) OR

((NOT ('AIC_TOPOLOGICALLY_BOUNDED_SURFACE.POLYLINE' IN

TYPEOF (face_geometry\swept_surface.swept_curve))) OR

(SIZEOF (face_geometry\swept_surface.swept_curve\polyline.points)

> = 3))) AND

(SIZEOF (QUERY (elp_fbnds <* QUERY (bnds <* bounds |

'AIC_TOPOLOGICALLY_BOUNDED_SURFACE.EDGE_LOOP' IN

TYPEOF (bnds.bound)) |

NOT (SIZEOF (QUERY (oe <* elp_fbnds.bound\path.edge_list|

('AIC_TOPOLOGICALLY_BOUNDED_SURFACE.POLYLINE' IN

TYPEOF (oe\oriented_edge.edge_element\edge_curve.edge_geometry))

AND (NOT (SIZEOF (oe\oriented_edge.edge_element\

edge_curve.edge_geometry\polyline.points) > = 3)))) = 0))) = 0);

END_ENTITY;

(*

Формальные утверждения

WR1 - геометрия, используемая при определении грани, должна быть ограниченной. Тип геометрии грани должен быть elementary_surface, swept_surface или b_spline_surface.

WR2 - геометрия всех граничных ребер грани должна быть полностью определена через объекты edge_curve.

WR3 - типы линий, используемых для определения геометрии ребер, должны быть ограничены типами line, conic, polyline, surface_curve или b_splines_curve.

WR4 - вершины, используемые при определении грани, должны иметь тип vertex_point с геометрией, определенной объектом cartesian_point.

WR5 - запрещено использование ориентированных путей при определении объектов edge_loop объекта advanced_face.

WR6 - если геометрия грани имеет тип swept_surface, то используемый в ее определении объект swept_curve должен быть типа line, conic, polyline или b_splines_curve.

WR7 - для любого объекта vertex_loop, используемого для ограничения грани, объект loop_vertex должен иметь тип vertex_point, а геометрия должна быть определена посредством объекта cartesian_point.

WR8 - границы грани должны быть определены посредством объектов либо edge_loop, либо vertex_loop.

WR9 - если объект surface_curve используется как часть границы грани, то атрибут объекта associated_geometry должен ссылаться на объекты pcurve, но не на объекты surface.

WR10 - если объект polyline используется либо для определения объекта swept_surface, либо как часть границы грани, то он должен содержать, по крайней мере, три точки.

Неформальное утверждение

IP1 - любой экземпляр объекта advanced_face, который имеет геометрию полной сферической поверхности (объект spherical_surface), должен быть ограничен посредством объекта vertex_loop, расположенного в точке, где ось Z системы координат выходит за пределы поверхности сферы (то есть в точке «Северный Полюс» сферы).

EXPRESS-спецификация

*)

END_SCHEMA; - конец схемы AIC_TOPOLOGICALLY_BOUNDED_SURFACE

(*

Приложение А
(обязательное)

Сокращенное наименование объекта

Сокращенное наименование объекта, установленного в настоящем стандарте, приведено в таблице А.1. Требования к использованию сокращенных наименований содержатся в методах реализации, описанных в соответствующих стандартах комплекса ИСО 10303.

Таблица А.1 - Сокращенное наименование объекта

Полное наименование объекта

Сокращенное наименование

ADVANCED_FACE

ADVFAC

Приложение В
(обязательное
)

Регистрация информационного объекта

В.1 Обозначение документа

Для обеспечения однозначного обозначения информационного объекта в открытой системе настоящему стандарту присвоен следующий идентификатор объекта:

{iso standard 10303 part (511) version (1)}

Смысл данного обозначения установлен в ИСО/МЭК 8824-1 и описан в ИСО 10303-1.

В.1 Идентификация схемы

Для обеспечения однозначного обозначения в открытой системе схеме aic_topologically_bounded_surface (см. раздел 4) присвоен следующий идентификатор объекта:

{iso standard 10303 part (511) version (1) object (1) aic-topologically-bounded-surface (1)}

Смысл этого обозначения установлен в ИСО/МЭК 8824-1 и описан в ИСО 10303-1.

Приложение С
(справочное)

Машинно-интерпретируемые листинги

В данном приложении приведены ссылки на сайты, на которых находятся листинги наименований объектов на языке EXPRESS и соответствующих сокращенных наименований, установленных в настоящем стандарте. На этих же сайтах находятся листинги всех EXPRESS-схем, установленных в настоящем стандарте, без комментариев и другого поясняющего текста. Эти листинги доступны в машинно-интерпретируемой форме и могут быть получены по следующим адресам URL:

Сокращенные наименования: http://www.mel.nist.gov/div826/subject/apde/snr/

EXPRESS: http://www.mel.nist.gov/step/parts/part511/

При невозможности доступа к этим сайтам, необходимо обратиться в центральный секретариат ИСО или непосредственно в секретариат ИСО ТК 184/ПК4 по адресу электронной почты: sc4sec@cme.nist.gov.

Примечание - Информация, представленная в машинно-интерпретированном виде на указанных выше URL, является справочной. Обязательным является текст настоящего стандарта.

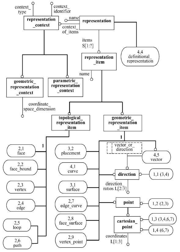
Приложение D
(справочное)

EXPRESS-G диаграммы

EXPRESS диаграммы, представленные на рисунках D.1 - D.8, получены из сокращенного листинга, приведенного в разделе 4, с использованием спецификаций интерфейса стандарта ИСО 10303-11. В диаграммах использована графическая нотация EXPRESS-G языка EXPRESS. Описание EXPRESS-G установлено в ИСО 10303-11, приложение D.

Примечания

1 Выбранные типы geometric_set_select, trimming_select и vector_or_direction импортируются в расширенный листинг ПИК в соответствии с правилами неявных интерфейсов по ИСО 10303-11. В настоящем стандарте другие объекты не ссылаются на эти выбранные типы.

2 Правила, касающиеся объекта advanced_face, исключают реализацию некоторых объектов, которые имеют неявные интерфейсы и поэтому показаны на диаграммах. Эти объекты отмечены на диаграммах знаком «*».

Рисунок D.1 - aic_topologically_bounded_surface - EXPRESS-G диаграмма 1 из 8

Рисунок D.2 - aic_topologically_bounded_surface - EXPRESS-G диаграмма 2 из 8

Рисунок D.3 - aic_topologically_bounded_surface - EXPRESS-G диаграмма 3 из 8

Рисунок D.4 - aic_topologically_bounded_surface - EXPRESS-G диаграмма 4 из 8

Рисунок D.5 - aic_topologically_bounded_surface - EXPRESS-G диаграмма 5 из 8

Рисунок D.6 - aic_topologically_bounded_surface - EXPRESS-G диаграмма 6 из 8

Рисунок D.7 - aic_topologically_bounded_surface - EXPRESS-G диаграмма 7 из 8

Примечание - Знаком «*» отмечены объекты, исключенные в соответствии с правилом об объекте advanced_face.

Рисунок D.8 - aic_topologically_bounded_surface - EXPRESS-G диаграмма 8 из 8

Приложение Е
(справочное)

Сведения о соответствии национальных стандартов Российской Федерации ссылочным международным стандартам

Таблица Е.1

Обозначение ссылочного международного стандарта

Обозначение и наименование соответствующего национального стандарта

ИСО/МЭК 8824-1:1998

ГОСТ Р ИСО/МЭК 8824-1-2001 Информационная технология. Абстрактная синтаксическая нотация версии один (АСН.1). Часть 1. Спецификация основной нотации

ИСО 10303-1:1994

ГОСТ Р ИСО 10303-1-99 Системы автоматизации производства и их интеграция. Представление данных об изделии и обмен этими данными. Часть 1. Общие представления и основополагающие принципы

ИСО 10303-11:1994

ГОСТ Р ИСО 10303-11-2000 Системы автоматизации производства и их интеграция. Представление данных об изделии и обмен этими данными. Часть 11. Методы описания. Справочное руководство по языку EXPRESS

ИСО 10303-41:1994

ГОСТ Р ИСО 10303-41-99 Системы автоматизации производства и их интеграция. Представление данных об изделии и обмен этими данными. Часть 41. Интегрированные обобщенные ресурсы. Основы описания и поддержки изделий

ИСО 10303-42:1994

*

ИСО 10303-43:1994

ГОСТ Р ИСО 10303-43-2002 Системы автоматизации производства и их интеграция. Представление данных об изделии и обмен этими данными. Часть 43. Интегрированные обобщенные ресурсы. Структуры представлений

ИСО 10303-202:1996

*

* Соответствующий национальный стандарт отсутствует. До его утверждения рекомендуется использовать перевод на русский язык данного международного стандарта. Перевод данного международного стандарта находится в Федеральном информационном фонде технических регламентов и стандартов.

 

 

Ключевые слова: автоматизация, средства автоматизации, прикладные автоматизированные системы, промышленные изделия, данные, представление данных, обмен данными, прикладные интерпретируемые конструкции, топологически ограниченные поверхности, пространственная геометрия

 

 



© 2013 Ёшкин Кот :-)