Информационная система
«Ёшкин Кот»

XXXecatmenu

ГОСУДАРСТВЕННЫЙ КОМИТЕТ СССР ПО СТАНДАРТАМ

 

МЕТОДИЧЕСКИЕ УКАЗАНИЯ

ОСНОВНЫЕ ПАРАМЕТРЫ ПРЕОБРАЗОВАТЕЛЕЙ
НАКЛОННЫХ
ДЛЯ УЛЬТРАЗВУКОВОГО КОНТРОЛЯ СВАРНЫХ
СОЕДИНЕНИЙ НА ЧАСТОТУ 1,25 - 5 МГц С УГЛАМИ
ПРИЗМЫ 30 - 55
°

МЕТОДИКА ВЫПОЛНЕНИЯ ИЗМЕРЕНИЙ

 

РД 50-407-83

 

 

 

Москва
ИЗДАТЕЛЬСТВО СТАНДАРТОВ
1983

 

РАЗРАБОТАНЫ Государственным комитетом СССР по стандартам

ИСПОЛНИТЕЛИ:

Липовецкий Э.Г., канд. техн. наук; Патон Б.Е., академик, д-р техн. наук; Козьмин Ю.Г., д-р техн. наук; Панин В.И., канд. техн. наук (руководитель темы); Гурвич А.К., канд. техн. наук (руководитель темы); Троицкий В.А., д-р техн. наук (руководитель темы); Дузенко В.А., Дымкин Г.Я., канд. техн. наук; Бондаренко Ю.К.

ВНЕСЕНЫ Государственным комитетом СССР по стандартам

Член Госстандарта Исаев Л.К.

УТВЕРЖДЕНЫ И ВВЕДЕНЫ В ДЕЙСТВИЕ Постановлением Государственного комитета СССР по стандартам № 2254 от 18 мая 1983 г.

 

РУКОВОДЯЩИЙ НОРМАТИВНЫЙ ДОКУМЕНТ

МЕТОДИЧЕСКИЕ УКАЗАНИЯ

Основные параметры преобразователей наклонных для ультразвукового контроля сварных соединений на частоту 1,25 - 5 МГц с углами призмы 30 - 55°

Методика выполнения измерений

РД
50-407-83

Введены впервые

Утверждены Постановлением Государственного комитета СССР по стандартам № 2254 от 18 мая 1983 г., срок введения установлен

с 01.07.1984 г.

Настоящие Методические указания распространяются на совмещенные наклонные ультразвуковые (далее УЗ) пьезоэлектрические преобразователи (далее ПЭП), в том числе с корректирующими и соединительными пассивными электрическими цепями, работающие по совмещенной схеме в импульсном режиме, в диапазоне номинальных частот от 1,25 до 5,0 МГц с углами призмы от 30° до 55°. Угол ввода поперечных волн в стандартный образец (СО) № 2 по ГОСТ 14782-76 в диапазоне от 38° до 75°, с наибольшими габаритными размерами плоской контактной поверхности ПЭП от 4 до 60 мм. Произведение радиуса пьезоэлемента на частоту от 10 до 20 мм · МГц, условный коэффициент импульсного преобразования не хуже 90 дБ.

Методические указания устанавливают методику выполнения измерений основных параметров ПЭП, специализированных для контроля сварных соединений:

при аттестации ПЭП органами метрологической службы;

при разработке методик контроля сварных соединений;

в процессе проведения контроля сварных соединений при использовании в методике контроля этих параметров.

Методика выполнения измерений, установленная в настоящих Методических указаниях, может быть в соответствии с положениями ГОСТ 23702-79 использована при определении параметров ПЭП, входящих в разрабатываемые и выпускаемые дефектоскопы, специализированные для контроля сварных соединений.

Допускается использовать настоящие МУ для выполнения измерений параметров ПЭП с произведением радиуса на частоту от 7 до 30 мм · МГц. Значения погрешностей измерения должны быть определены при этом дополнительно.

Примечание. При наличии в ПЭП пьезоэлемента прямоугольной формы значение радиуса заменяется значением, равным половине длины (ширины) пьезоэлемента.

Термины и определения, используемые в МУ, приведены в приложении 1.

1. ОСНОВНЫЕ ПАРАМЕТРЫ ПЭП И СРЕДСТВА ИЗМЕРЕНИЙ

1.1. Основные параметры ПЭП и средства их измерений приведены в таблице.

1.2. Средства измерений должны иметь следующие технические характеристики.

1.2.1. Электронные приборы.

1.2.1.1. Генераторная часть схемы измерений с использованием генератора биполярных импульсов прямоугольной формы (может быть собран на базе двухканального генератора импульсов Г5-56 и др.), работающего в режиме одного колебания (задний фронт импульса положительной полярности совмещен с передним фронтом импульса отрицательной полярности), должна удовлетворять следующим требованиям:

длительность биполярных импульсов (длительность периода одного колебания) должна регулироваться плавно в пределах от 0,15 до 1,5 мкс - 1, 2, 3, 4, 8;

частота следования импульсов должна находиться в пределах от 250 до 1000 Гц;

максимальная амплитуда выходного напряжения на холостом ходу от 3 до 50 В (1 - 8);

коэффициент подавления паразитного шумового сигнала в паузе между импульсами должен быть не хуже  /10 (1 - 8);

выходное (внутреннее) сопротивление (37,5 ± 1,5) Ом (1, 2, 3, 4, 8).

Примечание. Параметры генераторной части схемы могут быть определены по методике, изложенной в приложении 2.

1.2.1.2. Приемная часть схемы измерений с использованием универсального осциллографа (типа С1-65 и др.) должна удовлетворять следующим требованиям:

полярность изображения на экране ЭЛТ должна соответствовать полярности сигнала на выходе приемной части схемы измерений - (1 - 4);

основная погрешность измерения амплитуды в частотном диапазоне (0,5 - 7,5) МГц не более 7 % (2, 8);

погрешность измерения временных интервалов не более 5 % (1, 3, 4);

максимальная чувствительность от 20 до 10 мВ/дел (1 - 8);

время восстановления максимальной чувствительности при амплитуде входного сигнала 25 В не более 20 мкс - (1 - 3; 5 - 8) и не более 0,5 мкс (4);

входная емкость (включая емкость соединительного кабеля) не более 50 пФ (1 - 4, 8);

входное сопротивление не менее 10 кОм - 1, 2, 3, 4, 8.

№№ параметров

Наименование параметра ПЭП

Погрешность измерения

Средства, используемые для измерений

Генератор биполярных импульсов

Осциллограф

Блок задержки синхроимпульса

Электронный блок УЗ прибора НК

Полуцилиндрический СО № 3

СО № 2 с боковым сверлением

Штангенциркуль (или устройство для нанесения рисок)

1.

Частота максимума условного коэффициента преобразования

±10 %

+

+

+

 

(+)

+

 

2.

Условный коэффициент импульсного преобразования  или

±20 %

+

+

(+)

 

(+)

+

 

3.

Условная длительность эхо-сигнала τу

±0,3 мкс

+

+

+

 

 

+

 

4.

Условная длительность реверберационных шумов τрш

±1,0 мкс

+

+

(+)

 

(+)

+

 

5.

Время задержки эхо-сигнала в ПЭП τпр

±0,7 мкс

+

+

+

 

+

 

 

6.

Местоположение точек пересечения линии выхода с боковыми поверхностями призмы О'О"

±1,5 мм

+

+

 

(+)

+

 

+ (+)

7.

Угол ввода α1

±2,5°

+

+

 

(+)

 

+

 

8.

Ширин углового (линейного) захвата Θ1

±2° (± 4 мм)

+

+

 

(+)

 

+

+

Примечания:

1. В таблице: + - рекомендуемое средство измерения, (+) - допускаемое средство измерения.

2. При измерении некоторых параметров ПЭП с использованием одного и того же СО (например, в пределах одного предприятия) отклонения результатов измерений относительно среднего значения меньше значений погрешностей, приведенных в таблице. Значения этих отклонений равны: для  или  ± 18 %; для О" ± 0,7 мм; для α1 ± 1°; для Θ1 ± 1,5°.

3. Погрешность измерения параметров 1 и 3, указанная в таблице, имеет место при наличии в эхо-сигнале не менее шести полупериодов колебаний, подлежащих измерению согласно п. 3.2.1 настоящих МУ. При меньшем числе полупериодов погрешность настоящими МУ не регламентируется.

4. Указанная в таблице погрешность измерения α1 соответствует преобразователям с углом призмы от 30° до 40° включительно. Для преобразователей с углом призмы более 40° и до 50° погрешность измерения α1 не превышает 3,5°. Для ПЭП с углом призмы более 50° погрешность настоящими МУ не регламентируется.

1.2.1.3. Блок задержки синхроимпульса (в качестве которого может быть использован генератор импульсов типа Г5-54 или другие устройства) должен удовлетворять следующим техническим требованиям:

временный сдвиг выходного импульса относительно входного должен регулироваться в пределах от 0,1 до 1000 мкс (1 - 5); погрешность установки временного сдвига не более 0,1 мкс (5).

1.2.1.4. Генераторная часть схемы измерений с использованием электронного генератора эхо-импульсного УЗ прибора неразрушающего контроля (например, ДУК-66П, УД-10П, УД-13УР и др.) должна удовлетворять следующим техническим требованиям:

номинальные частоты должны располагаться в диапазоне от 1,25 до 5 МГц (6 - 8);

частота следования импульсов должна находиться в пределах от 250 до 1000 Гц;

амплитуда выходного напряжения на нагрузке, состоящей из параллельно соединенных емкости 1000 пФ и сопротивления 100 Ом не менее 50 В при ударном возбуждении и 10 В при радиоимпульсном возбуждении - (6 - 8).

1.2.1.5. Приемная часть схемы измерений с использованием приемника эхо-импульсного УЗ прибора неразрушающего контроля должна удовлетворять следующим требованиям:

максимальная чувствительность приемника от 20 мкВ до 5 мВ на половину шкалы ЭЛТ - (6 - 8);

погрешность установки ослабления 6 дБ аттенюатором приемника, не более 0,7 дБ (8).

Примечания:

1. Цифрами 1 - 8 указаны номера параметров ПЭП из таблицы, для измерения которых обязательно выполнение данного технического требования. Для измерения остальных параметров ПЭП данное требование является рекомендуемым.

2. Допускается использование приборов (выпускаемых промышленностью и нестандартных), перекрывающих по частям необходимые диапазоны измерений при соблюдении требуемой точности. При выборе средств измерений конкретных типов необходимо обеспечить возможность их взаимной синхронизации для устойчивой работы измерительной схемы.

1.2.2. Стандартные образцы (СО)

1.2.2.1. Стандартный образец № 2 с плоской поверхностью ввода и цилиндрическим боковым отражателем Ø 6 мм и с параметрами по ГОСТ 14782-76 (1, 3, 4, 7, 8).

1.2.2.2. Стандартный образец № 3 полуцилиндрической формы с параметрами по ГОСТ 14782-76 (1, 4, 5).

1.2.2.3. Стандартные образцы №№ 2 и 3 должны быть дополнительно аттестованы по отклонению числового значения величины  измеренного при установке ПЭП на конкретный стандартный образец относительно числового значения , измеренного на исходном (эталонном) стандартном образце. Это отклонение не должно превышать 10 %. Для всех номинальных частот и углов призмы, регламентированных настоящим Методическими указаниями - 2.

1.2.2.4. Стандартный образец № 3 по п. 1.2.2.2 должен быть дополнительно аттестован по систематической поправке для определения точек О'О" с погрешностью не более ±1 мм (6).

Дополнительную аттестацию проводят при необходимости измерения параметра О" у ПЭП с углами призмы более 35°. Аттестацию рекомендуется проводить при помощи образцовых ПЭП, по методике, изложенной в приложении 3.

Примечание. Допускается использование других образцов и акустических; нагрузок, не ухудшающих погрешностей измерения.

1.2.3. Средства измерения и фиксации геометрических параметров ПЭП.

1.2.3.1. Штангенциркуль с погрешностью измерений не более 0,1 мм (6).

1.2.3.2. Устройство для нанесения рисок на боковые грани призмы со следующими требованиями:

- погрешность нанесения риски относительно оси СО № 3 не более 0,2 мм (6),

- толщина наносимой риски не более 0,4 мм (6).

Примечание. Уменьшение погрешности можно осуществить проведением следующих операций:

1) уменьшением входной емкости приемной части схемы измерений до 10 пФ путем использования усилителя УС-ОА-2 (см. приложение 4 настоящих МУ) с максимально коротким (не более 5 см) соединительным кабелем;

2) снижением допуска на разброс номинального сопротивления 37,5 Ом путем применения точных омметров и аттенюаторов при аттестации генератора биполярных импульсов (см. приложение 2 настоящих МУ);

3) использованием более точных средств линейно-угловых измерений (в том числе специальных) для повышения точности отсчета углов ввода на СО № 2;

4) применением стандартных образцов с малым отличием скорости звука (менее 0,5 %) и ослаблением эхо-сигнала (менее 5 %) относительно исходного (эталонного) образца;

5) измерением всех временных параметров при помощи блока задержки синхроимпульса, с использованием осциллографа в качестве индикатора местоположения нужной точки сигнала по временной оси (оси X), а в качестве блока задержки использованием приборов типа И2-25, И2-17 и им подобных, обеспечивающих установку задержки с погрешностью не более 2 нс;

6) измерением амплитудных параметров при помощи точного аттенюатора, включаемого на вход осциллографа, при использовании последнего в качестве индикатора местоположения нужной точки сигнала по амплитудной оси (оси Y). В качестве точного аттенюатора рекомендуется применять магазин затуханий М350-2 с погрешностью измерений не более 1 %. При необходимости предотвращения шунтирования схемы малым входным сопротивлением аттенюатора рекомендуется подключать его через высокоомный усилитель (например, через УС-OA1 по приложению 4).

2. УСЛОВИЯ ВЫПОЛНЕНИЯ ИЗМЕРЕНИЙ И ПОДГОТОВКА К НИМ

2.1. При измерении должны быть соблюдены следующие условия:

температура окружающего воздуха (20 ± 5) °С;

относительная влажность воздуха (65 ± 15) %;

атмосферное давление (100 ± 4) кПа (750 ± 30) мм рт.ст.;

напряжение электропитания приборов (220 ± 11) В;

частота питающей сети (50 ± 1) Гц.

2.2. Вибрация, внешние электрические или магнитные поля должны либо отсутствовать, либо находиться в пределах, не увеличивающих погрешность измерений.

2.3. Время прогрева приборов, используемых при проведении измерений, выбирают согласно техническому описанию на приборы.

2.4. Если конструкция ПЭП предусматривает наличие соединительного кабеля длиной не менее 50 см, все параметры измеряют с данным кабелем. Во всех остальных случаях при измерении параметров ПЭП используют соединительный кабель с параметрами: волновое сопротивление (50 ± 3,0) Ом; емкость кабеля (60 ± 3) пФ.

3. ВЫПОЛНЕНИЕ ИЗМЕРЕНИЙ

3.1. Внешний осмотр.

При внешнем осмотре должно быть установлено, что ПЭП снабжен всеми необходимыми деталями и имеет маркировку. На одной из нерабочих граней ПЭП или в документации на него должен быть указан угол призмы, погрешность изготовления которого не превышает ±0,5°, а также указана номинальная частота. Отклонение от номинальной частоты не должно превышать 30 %. Допускается вместо угла призмы указывать угол ввода или угол наклона акустической оси в стали.

Примечание. Преобразователи без номеров и с номерами, нанесенными непосредственно на их рабочую поверхность, к измерениям не допускаются.

3.2. Определение параметров ПЭП.

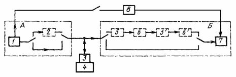
Для измерений параметров используется схема установки, приведенная на рисунке. Генератор биполярных импульсов 1 подключают к преобразователю 3 через устройство согласования 2 в случае, если его выходное сопротивление отличается от 37,5 Ом или при необходимости развязки переменной и постоянной составляющей токов генератора.

А - генераторная часть схемы измерений; F - приемная часть схемы измерений; 1 - генератор электрических импульсов; 2 - устройство согласования; 3 - преобразователь; 4 - стандартный образец; 5, 5' - ограничители амплитуд; 6, 6' - усилители; 7 - регистратор электрических сигналов; 8 - блок задержки синхроимпульса.

Ограничители 5 и 5' с одинаковым двухсторонним ограничением рекомендуется использовать для устранения перегрузки осциллографа 7 зондирующим сигналом, а усилители 6 и 6' - для усиления эхо-сигнала при измерении параметров ПЭП с малыми коэффициентами преобразования (хуже 60 дБ). Рекомендуется уровень ограничения каждого ограничителя устанавливать в пределах от 0,3 до 0,7 В, а коэффициенты усиления каждого усилителя в пределах от 15 до 30 дБ. Чувствительность приемной части схемы измерений с использованием осциллографа, усилителей и ограничителей может быть определена по методике, изложенной в приложении 5.

Блок задержки синхроимпульса 8 (в качестве которого может быть применен генератор электрических импульсов с регулируемой задержкой относительно импульса внешней синхронизации) рекомендуется использовать для задержки начала горизонтальной развертки осциллографа с целью более детального рассмотрения эхо-сигналов и повышения точности измерения их параметров.

При определении основных параметров нестабильность (погрешность) акустического контакта не должна превышать ±1 дБ. Если нестабильность выше 1 дБ, то необходимо многократно измерить параметр ПЭП и усреднить результаты измерений. Число n многократных измерений n = D2, где D - средняя квадратическая погрешность (в дБ), обусловленная акустическим контактом одиночного измерения (значение D для ПЭП конкретных типов определяют на стадии предварительного исследования одного или нескольких аналогичных ПЭП). При n > 10 ПЭП к измерениям не допускается.

Акустический контакт между ПЭП и стандартным образцом обеспечивается контактной смазкой.

3.2.1. Определение частоты максимума условного коэффициента преобразования .

Для измерений используют генератор биполяных импульсов, осциллограф и СО № 2. Допускается отклонение диаметра цилиндрического отражателя в СО № 2 в пределах от 6 до 5 мм.

При использовании двухканального генератора прямоугольных импульсов для создания биполярного импульса необходимо установить одинаковую амплитуду и длительность разнополярных импульсов, а задний фронт импульса одной полярности совместить с передним фронтом импульса обратной полярности.

Устанавливают длительность биполярного импульса генератора Dt = 1 / fн, где fн - номинальная частота ПЭП. Аттенюатором усилительного тракта осциллографа устанавливают амплитуду эхо-сигнала на экране осциллографа, удобную для наблюдения. Притирают ПЭП к СО, перемещая его в направлении, перпендикулярном к оси цилиндрического отражателя, и, поворачивая вокруг своей оси, устанавливают в положение, при котором эхо-сигнал имеет максимальную амплитуду.

При помощи осциллографа определяют среднюю длительность Т периода частоты заполнения эхо-сигнала и рассчитывают частоту  = 1 / Т. При измерениях Т необходимо использовать периоды колебаний частоты заполнения, амплитуда которых превышает 1/10 максимальной амплитуды эхо-сигнала.

Если амплитуда эхо-сигнала недостаточна для измерения малочувствительных ПЭП, то допускается замена стандартного образца № 2 стандартным образцом № 3.

3.2.2. Измерение условной длительности эхо-сигнала τУ.

Для измерения применяют и подготавливают средства по п. 3.2.1.

Устанавливают длительность импульса генератора Dt = T.

В зависимости от используемой при контроле сварных соединений полярности эхо-сигнала измеряют длительность τУ+ эхо-сигнала на уровне 0,5 (-6 дБ) от его максимальной положительной амплитуды либо измеряют длительность τУ - эхо-сигнала на уровне 0,5 (-6 дБ) от его максимальной отрицательной амплитуды.

Примечание. Допускается характеризовать преобразователь средним значением τУ ср = (τУ + + τУ -) / 2.

3.2.3. Определение условного коэффициента импульсного преобразования .

Для измерения  используют средства по п. 3.2.1 с заменой СО № 2 на СО № 3. Стандартные образцы должны удовлетворять требованию п. 1.2.2.3.

Подготовку к измерениям проводят так же, как в п. 3.2.2.

Измеряют максимальную положительную  либо отрицательную , либо среднюю амплитуду эхо-сигнала . Измеряют амплитуду возбуждающего импульса генератора Ur. В зависимости от используемой при контроле сварных соединений полярности рассчитывают условный коэффициент импульсного преобразования по одной из формул

  или

Примечание. Значение  рекомендуется определять путем измерения максимального размаха (суммы максимальной положительной и отрицательной) амплитуд эхо-сигнала и импульса генератора.

3.2.4. Определение местоположения точек пересечения линий выхода с боковыми поверхностями призмы - О'О".

Для измерений используют: в качестве генератора - генератор биполярных импульсов либо генератор УЗ прибора НК: в качестве приемника - осциллограф либо приемник УЗ прибора НК; СО № 3 по п. 1.2.2.2 (для углов призмы менее 35°) и СО № 3 по п. 1.2.2.4 (для углов призмы более 35°).

При применении генератора биполярных импульсов устанавливают длительность электрического импульса Dt ≈ 1 / fн где fн - номинальная частота ПЭП. При использовании УЗ прибора НК. включают его для работы на номинальной частоте, соответствующей номинальной частоте ПЭП. Аттенюатором усилительного тракта приемника (осциллографа или приемника УЗ прибора) либо ручкой регулировки амплитуды генератора устанавливают амплитуду эхо-сигнала на экране электроннолучевой трубки, удобную для наблюдения.

Притирают ПЭП к СО, перемещая его в направлении, перпендикулярном к оси образца, и, поворачивая его вокруг своей оси, устанавливают в положение, при котором амплитуда первого эхо-сигнала максимальна. Фиксируют (путем измерения расстояния до передней грани или до любой реперной точки) точки, лежащие на оси симметрии образца и принадлежащие боковым граням призмы.

К измеренным значениям координат точек прибавляют поправку, полученную при дополнительной аттестации СО № 3 образцовыми ПЭП или взятую из номограмм, утвержденных органами Государственной метрологической службы. Полученные координаты соответствуют координатам точек О'О".

3.2.5. Определение угла ввода α1.

Для измерений используют электронную аппаратуру по п. 3.2.4 и СО № 2. Допускается проводить цилиндрическое сверление в образце с диаметром в пределах от 5 до 6 мм.

Притирают ПЭП к СО и, перемещая его в направлении, перпендикулярном оси цилиндрического отражателя, и поворачивая вокруг своей оси, устанавливают в положение, при котором эхо-сигнал имеет максимальную амплитуду. По шкале углов на боковой поверхности образца определяют значение угла ось при котором риска шкалы углов совпадает с точкой О', нанесенной на призме ПЭП.

3.2.6. Определение ширины углового (линейного) захвата Θ1. Для измерений применяют и подготавливают средства по п. 3.2.5. При использовании электронного блока УЗ прибора НК необходимо (при помощи параллельного осциллографа) убедиться, что частота заполнения эхо-сигнала отличается от частоты  (измеренной по п. 3.2.1) не более чем на 10 %.

Фиксируют уровень эхо-сигнала, соответствующего положения ПЭП при определении α1. Увеличивают аттенюатором приемника электрических сигналов его чувствительность на 6 дБ. Перемещая ПЭП в сторону меньших значений угла α, устанавливают ПЭП в положение, при котором амплитуда эхо-сигнала от цилиндрического отражателя уменьшится до зафиксированного ранее уровня. По шкале углов отсчитывают угол αmin. Перемещая ПЭП в сторону больших значений угла α, устанавливают ПЭП в положение, при котором амплитуда эхо-сигнала совпадает с зафиксированным уровнем. По шкале углов отсчитывают угол αmax. Вычисляют ширину углового захвата Θ1 = αmax - αmin.

При определении ширины линейного захвата вместо измерения углов измеряют штангенциркулем расстояние, на которое перемещается ПЭП от угла αmax до угла αmin.

3.2.7. Определение условной длительности реверберационных шумов τрш.

Для измерения используют и подготавливают средства по п. 3.2.1.

Осциллографом измеряют условную длительность реверберационных шумов на уровне, равном максимальной положительной амплитуде эхо-сигнала  либо уровне, равном максимальной отрицательной амплитуде эхо-сигнала . Средняя длительность . Длительность реверберационных шумов отсчитывают от переднего фронта импульса генератора до точки пересечения реверберационного сигнала с горизонтальной линией шкалы осциллографа, расположенной на уровне максимальной амплитуды эхо-сигнала.

3.2.8. Определение времени задержки эхо-сигнала τпр в ПЭП. Для измерения используют электронные приборы по п. 3.2.1 и СО № 3.

Притирают ПЭП к СО и, перемещая его, совмещают точки О'О" с осью образца.

Осциллографом измеряют интервал времени между зондирующим и первым эхо-сигналом τ01 а также интервал времени между первым и вторым эхо-сигналами τ12. Рассчитывают время задержки эхо-сигнала в ПЭП τпр = (τ01 - τ12) / 2.

ПРИЛОЖЕНИЕ 1

Справочное

ТЕРМИНЫ И ОПРЕДЕЛЕНИЯ, ИСПОЛЬЗУЕМЫЕ В МЕТОДИЧЕСКИХ УКАЗАНИЯХ

1. Частота максимума условного коэффициента преобразования  - это частота fИИ по ГОСТ 23702-79 при нагрузке ПЭП с электрической стороны на конечное электрическое сопротивление заданной величины.

2. Условный коэффициент импульсного преобразования , (, , ) - отношение максимального напряжения эхо-сигнала к напряжению сигнала возбуждения ПЭП, при специальной указанной форме импульса возбуждения, при установленном значении электрической нагрузки, при установке ПЭП на указанный стандартный образец.

3. Точка выхода - точка пересечения акустической оси ПЭП с рабочей поверхностью ПЭП.

4. Линия выхода - линия, проходящая через точку выхода, перпендикулярная акустической оси ПЭП и лежащая на рабочей поверхности ПЭП.

5. Угол ввода α1 - угол между нормалью к поверхности, на которой установлен ПЭП, и линией, соединяющей центр цилиндрического отражателя с точкой выхода при установке ПЭП в положение, при котором амплитуда эхо-сигнала от отражателя наибольшая.

6. Условная длительность эхо-сигнала τуУ+; τУ-, τср) - длительность эхо-сигнала на уровне (-6 дБ) от его максимальной амплитуды при установке ПЭП на стандартный образец, при возбуждении импульсом установленной формы, при установленном значении электрической нагрузки.

7. Огибающая амплитуд эхо-сигнлов U° (α) - это угловая (линейная) зависимость амплитуды эхо-сигналов при прямолинейном перемещении ПЭП по плоской поверхности стандартного образца с цилиндрическим отражателем в направлении, перпендикулярном к оси цилиндрического отражателя.

Ширина углового (линейного) захвата Θ1 - разность углов αmax - αmin (расстояние в мм между точками на шкале СО № 2, соответствующим углам αmax и αmin), при которых функции U° (α) принимают значения на уровне 0,5 (-6 дБ) от максимальной амплитуды эхо-сигнала.

8. Время задержки эхо-сигнала в ПЭП τпр - двойное время задержки сигнала от момента подачи электрического сигнала на разъем ПЭП до момента появления акустического сигнала в точке выхода.

9. Условная длительность реверберационных шумов τрш (, , ) - длительность временного интервала между передним фронтом импульса возбуждения ПЭП и точкой реверберационного сигнала, амплитуда в которой равна амплитуде эхо-сигнала.

ПРИЛОЖЕНИЕ 2

Справочное

МЕТОДИКА ОПРЕДЕЛЕНИЯ ПАРАМЕТРОВ ГЕНЕРАТОРНОЙ ЧАСТИ СХЕМЫ ИЗМЕРЕНИЙ С ИСПОЛЬЗОВАНИЕМ ГЕНЕРАТОРА БИПОЛЯРНЫХ ИМПУЛЬСОВ ПРЯМОУГОЛЬНОЙ ФОРМЫ

Возможность плавной регулировки длительности импульсов в заданном диапазоне установки частоты следования импульсов и установления максимальной амплитуды выходного напряжения в заданных интервалах проверяют с помощью осциллографа, параметры которого удовлетворяют требованиям по п. 1.2.1.2.

Подавление сигнала в паузе между импульсами определяют с помощью схем, приведенных в приложении 4 при отключенном ПЭП. При этом измеряют напряжение генератора биполярных импульсов Ur и напряжение паразитных шумов Um в паузах между импульсами. Коэффициент подавления сигнала определяется по формуле Kn = Um / Ur.

Выходное сопротивление генератора определяют методом подключения к его выходу омической нагрузки, при которой напряжение на его выходе уменьшается в два раза (на 6 дБ). Уменьшение значения напряжения измеряют аттенюатором осциллографа либо (для повышения точности) образцовым аттенюатором типа М350-2, включаемым через дополнительный усилитель с высоким входным сопротивлением. Омическую нагрузку определяют омметром, погрешность которого не превышает 1 %. Выходное сопротивление генератора принимают равным измеренной омической нагрузке.

ПРИЛОЖЕНИЕ 3

Справочное

МЕТОДИКА АТТЕСТАЦИИ СО № 3

Для аттестации СО № 3 используют электронные приборы по п. 3.2.4 и образцовые преобразователи типов ПНО-2,5-50 и ПНО-2,5-40, разработанные и аттестованные Хабаровским филиалом ВНИИФТРИ. Образцовые преобразователи имеют следующие параметры:

произведение радиуса пьезоэлемента на частоту 15 (мм ´ МГц); частота  =(2,5 МГц ± 10) %; коэффициент  не хуже 70 дБ; длительность τУ = (2,5 ± 1,5) мкс; длительность τрш не более 8 мкс; время τпр менее 12 мкс; погрешность местоположения точек О'О" ± 0,7 мм; угол призмы β = 40° и 50°.

Аттестацию проводят следующим образом.

Устанавливают длительность биполярного импульса (или частоту УЗ прибора НК) и амплитуду эхо-сигнала согласно п. 3.2.4. Притирая образцовый ПЭГГ с аттестуемым СО № 3 и перемещая его в направлении, перпендикулярном к оси образца, устанавливают ПЭП в положение, при котором амплитуда первого эхо-сигнала максимальна. Измеряют с помощью штангенциркуля расстояние DXi между точкой О' (или О") преобразователя и центром стандартного образца. Заново притирая образцовый ПЭП, повторяют все операции по измерению расстояния DXi. Количество п многократных измерений DXi берут равным 10. DХ рассчитывают по формуле . Значения DX соответствуют систематической поправке, учитываемой при аттестации рабочих ПЭП.

ПРИЛОЖЕНИЕ 4

ВАРИАНТЫ ПРИНЦИПИАЛЬНОЙ ЭЛЕКТРИЧЕСКОЙ СХЕМЫ ИЗМЕРЕНИЙ

Схема (рис. 1) позволяет реализовать измерения коэффициентов преобразования до 60 дБ при времени восстановления максимальной чувствительности (после перегрузки зондирующим сигналом) не более 0,5 мкс. Выносные электрические нагрузки, каждая по 50 Ом, входят в комплект генератора Г5-56. Согласующее устройство, состоящее из двух емкостей по 470 нф и двух сопротивлений по 25 Ом, обеспечивает стандартизованное выходное сопротивление, равное 37,5 Ом, а также развязку переменной составляющей тока генератора.

Рис. 1 Вариант 1:

А - генераторная часть схемы измерения; Б - приемная часть.

Схема (рис. 2) позволяет измерять параметры ПЭП в диапазоне номинальных частот от 1,25 до 2,5 МГц с коэффициентами преобразования до 65 дБ при установке ручек выходных аттенюаторов Г5-30 в положение 10 дБ, при времени восстановления максимальной чувствительности не более 0,5 мкс (установка выходных ручек аттенюатора в положение 0 дБ с целью увеличения диапазона измерения  приводит к значительной погрешности измерения величины τрш). Ограничитель амплитуд (ОА) предотвращает чрезмерную перегрузку осциллографа зондирующим сигналом генератора. Для измерения неискаженной ограничителем амплитуды генератора осциллограф подключается к точке С.

Рис. 2. Вариант 2:

А - генераторная часть схемы измерений; В - приемная часть схемы измерений; * - элементы подбирают при регулировке ОА (по симметричности ограничения, по минимуму паразитных выбросов после окончания зондирующего импульса, по коэффициенту передачи)

Схема (рис. 3) позволяет измерять параметры ПЭП со значениями  до 90 дБ при времени восстановления максимальной чувствительности не более 0,5 мкс. Пятидесятиомные нагрузки входят в комплект генератора Г5-56. Согласовывающее устройство обеспечивает равенство выходного сопротивления стандартному сопротивлению 37,5 Ом. Ограничитель амплитуд (ОА) ограничивает зондирующий сигнал до уровня 0,5 - 0,7 В. Малошумящий усилитель - ограничитель амплитуд УС-ОА-1, принципиальная схема и амплитудно-частотная характеристика которого приведена на рис. 4, усиливает зондирующий и эхо-сигналы на 25 - 29 дБ 20 - 27 раз в полосе частот от 2,5 до 10 МГц и одновременно ограничивает зондирующий сигнал на своих выходных клеммах до уровня 0,5 - 0,7 В. Ограничитель амплитуд УС-ОА-1 собран на диодах D6 и D7. Собственный уровень шума, приведенного по входу, не превышает 10 мкВ, что обеспечивается на входе двух параллельно соединенных малошумящих полевых транзисторов КП303Г, работающих в режиме усиления.

Рис. 3. Вариант 3

Рис. 4. Малошумящий усилитель - ограничитель амплитуд УС-OA-1:

а - принципиальная схема; б - амплитудно-частотная характеристика; Т1, Т2 - КП303Г; Т3 - КП303В; Т4 - КТ325В; Т5 - КТ315Г; Т6, Т7 - КД522Б; * - подбираются при настройке на минимум времени восстановления максимальной чувствительности

Усилитель УС-ОА-1 используется как дополнительный предусилитель к усилителю УС-ОА-2 при измерении слабочувствительных ПЭП с номинальной частотой 5 МГц.

Ограничитель-усилитель УС-ОА-2, принципиальная схема и амплитудно-частотная характеристика которого приведена на рис. 5, усиливает зондирующий и эхо-сигналы на (38 - 43) дБ (в 80 - 130 раз) и одновременно ограничивает зондирующий сигнал. Ограничитель выполнен на диодах D3, D4. УС-ОА-2 используется как основной усилитель во всем рабочем диапазоне частот.

Схема (рис. 6) позволяет измерить параметры ПЭП с  до 70 дБ при времени восстановления предельной чувствительности не более 20 мкс. Типовые усилители УЗ-33 обеспечивают усиление (20 - 25) дБ при входном сопротивлении 50 Ом. Ограничители амплитуд ОА, ОА' «срезают» зондирующий сигнал на уровне (0,5 - 0,7) В.

Рис. 5. Усилитель-ограничитель УС-ОА-2:

а - принципиальная схема; б - амплитудно-частотная характеристика; Т1 - КП302А; Т2, T3, Т6 - КТ339А; τ3, τ4 - КД522А; * - подбирается при настройке на минимум времени восстановления максимальной чувствительности

Рис. 6. Вариант 4:

А - генераторная часть схемы измерений; Б - приемная часть схемы измерений

Схема (рис. 7) позволяет измерять параметры ПЭП с  до 70 дБ при времени восстановления предельной чувствительности не более 20 мкс. Типовой усилитель УЗ-29 обеспечивает усиление в пределах (15 - 30) дБ. Блок ОА ограничивает сигнал на уровне (0,5 - 0,7) В.

Рис. 7. Вариант 5:

А - генераторная часть схемы измерений; Б - приемная часть схемы измерений

ПРИЛОЖЕНИЕ 5

Справочное

МЕТОДИКА ОПРЕДЕЛЕНИЯ ЧУВСТВИТЕЛЬНОСТИ ПРИЕМНОЙ ЧАСТИ СХЕМЫ ИЗМЕРЕНИЙ С ИСПОЛЬЗОВАНИЕМ ОСЦИЛЛОГРАФА

Аттестацию приемной части схемы измерений по чувствительности проводят следующим образом.

Генератор гармонических сигналов (типов Г4-102, Г4-106 и др.) подключают через аттенюатор (типа М350-2) с погрешностью не более 2 % к осциллографу, используемому для измерения параметров ПЭП. С помощью образцового аттенюатора устанавливают амплитуду сигнала на входе осциллографа в пределах от 0,05 до 0,1 В. На осциллографе фиксируют амплитуду сигнала и положение ручек аттенюатора осциллографа, определяющих его чувствительность Косц (В/дел.). Затем между образцовым аттенюатором и осциллографом включают усилители и ограничители приемной части схемы измерений. Образцовым аттенюатором восстанавливают амплитуду сигнала на экране осциллографа до ранее зафиксированного значения. Чувствительность приемной части схемы измерений Кпр определяют по формуле Кпр = Косц / Катт, где Катт - введенное при восстановлении сигнала до ранее зафиксированного уровня значение показаний аттенюатора (в разах).

ПРИЛОЖЕНИЕ 6

Справочное

Ориентировочные значения параметров некоторых ПЭП

Параметр ПЭП (в диапазоне углов призмы от 30 до 50°)

Тип ПЭП

Комплект «Снежинка» fн - 5 МГц

Дефектоскоп ДУК-66 fн = 2,5 МГц

Дефектоскоп УДМ-3 fн = 1,8 МГц

Дефектоскоп ДУК-66П fн = 1,2 МГц

, МГц

3,5 - 4,5

1,9 - 2,5

1,6 - 1,8

1,05 - 1,25

, дб

70 - 90

60 - 80

60 - 80

60 - 80

, дБ

60 - 80

45 - 70

50 - 70

45 - 70

τУ, мкс

0,3 - 0,75

1,5 - 2,5

1,5 - 2,5

2 - 3,5

τрш, мкс

5 - 9

5 - 16

5 - 16

9 - 12

τпр, мкс

3 - 6

8 - 12

10 - 15

20 - 25

Расстояние от передней грани ПЭП до точек О'О" (стрела искателя), мм

7 - 11

-

-

-

Расстояние от риски на боковой грани ПЭП до точек

 

 

 

 

О'О", мм

-

0 ± 2

0 ± 2

0 ± 2

α1 (β = 30°)

37 - 39°

36 - 39°

36 - 39°

38 - 42°

α1 (β = 40°)

44 - 48°

44 - 46°

44 - 48°

46 - 50°

α1 (β = 50°)

62 - 66°

63 - 66°

63 - 66°

60 - 70°

Θ1

6 - 12°

6 - 12°

6 - 12°

14 - 20°

 

СОДЕРЖАНИЕ

1. Основные параметры ПЭП и средства измерений. 2

2. Условия выполнения измерений и подготовка к ним.. 5

3. Выполнение измерений. 5

Приложение 1 Термины и определения, используемые в методических указаниях. 8

Приложение 2 Методика определения параметров генераторной части схемы измерений с использованием генератора биполярных импульсов прямоугольной формы.. 9

Приложение 3 Методика аттестации СО № 3. 9

Приложение 4 Варианты принципиальной электрической схемы измерений. 10

Приложение 5 Методика определения чувствительности приемной части схемы измерений с использованием осциллографа. 13

Приложение 6 Ориентировочные значения параметров некоторых ПЭП.. 14

 

 



© 2013 Ёшкин Кот :-)