Информационная система
«Ёшкин Кот»

XXXecatmenu

Руководящий документ отрасли

 

АУДИТ СИСТЕМЫ ТАКТОВОЙ
СЕТЕВОЙ СИНХРОНИЗАЦИИ

Организационное обеспечение.
Методика проведения

 

 

МИНСВЯЗИ РОССИИ

Москва

 

Предисловие

1 РАЗРАБОТАН ГП Центральным научно-исследовательским институтом связи (ГП ЦНИИС)

ВНЕСЕН Департаментом электросвязи Минсвязи России

2 УТВЕРЖДЕН Минсвязи России 28.01.02 г.

3 ВВЕДЕН В ДЕЙСТВИЕ информационным письмом № 448 от 28.01.02 г.

4 ВВЕДЕН ВПЕРВЫЕ

 

СОДЕРЖАНИЕ

1 Область применения. 1

2 Определения, обозначения и сокращения. 2

3 Общие положения. 2

4 Содержание работ по организационному обеспечению аудита сети ТСС.. 3

5 Программа проведения аудита сети ТСС оператора связи. 4

6 Методика проведения измерений. 7

7 Оформление результатов измерений. 9

8 Оценка результатов измерений. 11

9 Результаты аудита системы тактовой сетевой синхронизации. 11

Приложение А. Пример определения стыков синхронизации, подлежащих измерениям.. 11

Приложение Б. Библиография. 12

 

Руководящий документ отрасли

АУДИТ СИСТЕМЫ ТАКТОВОЙ СЕТЕВОЙ СИНХРОНИЗАЦИИ

Организационное обеспечение. Методика проведения

Дата введения 2002-02-01

1 Область применения

Настоящий руководящий документ распространяется на системы тактовой сетевой синхронизации (ТСС) цифровых сетей операторов связи и устанавливает основные положения организационного обеспечения и методику проведения аудита системы ТСС операторов связи на этапах ввода в эксплуатацию, присоединения сети операторов к сети связи общего пользования, присоединения сети ТСС операторов связи к базовой сети ТСС и в период эксплуатации сети ТСС оператора связи.

Требования настоящего РД обязательны для операторов связи, имеющих выход на Взаимоувязанную сеть связи Российской Федерации.

2 Определения, обозначения и сокращения

В настоящем руководящем документе применяются следующие термины с соответствующими определениями, обозначения и сокращения.

Система ТСС - это комплекс технических средств, обеспечивающих сигналами синхронизации все элементы цифровой сети связи.

Сеть ТСС - сетевая структура, строящаяся на базе сети электросвязи и обеспечивающая прохождение (передачу) по этой сети синхросигналов.

Базовая сеть ТСС - сеть ТСС ОАО «Ростелеком», которая в любой точке сети обеспечивает сигналы синхронизации определенного качества, использовать которые могут операторы связи других цифровых сетей. Для этого базовая сеть содержит необходимое количество эталонных источников синхронизации, распределенных по всей сети, надежность которых проверена при вводе базовой системы ТСС в эксплуатацию.

Т1 - синхросигналы, передаваемые в потоке STM- N.

Т2 - входной сигнал 2048 кбит/с, используемый для синхронизации мультиплексора СЦИ. Обычно поступает от коммутационной станции.

Т3 - сигнал 2048 кГц, на входах ВЗГ или мультиплексора СЦИ.

Т4 - сигнал 2048 кГц выхода ВЗГ, блока синхронизации цифровой АТС или мультиплексора СЦИ.

Е1 - сигнал 2048 кбит/с, несущий коммутируемую информацию.

БСС          - блок сетевой синхронизации

ВЗГ          - вторичный задающий генератор

ВСС          - Взаимоувязанная сеть связи Российской Федерации

ДВИ         - девиация временного интервала

ЕИ            - единичный интервал

МОВИ      - максимальная ошибка временного интервала

МСЭ-Т     - Сектор стандартизации электросвязи Международного Союза Электросвязи

ОВИ         - ошибка временного интервала

ПСС         - преобразователь сигнала синхронизации

ПЦИ         - плезиохронная цифровая иерархия

ПЭГ          - первичный эталонный генератор

ПЭИ         - первичный эталонный источник

РТМ         - руководящий технический материал

СП            - система передачи

СЦИ         - синхронная цифровая иерархия

ТСС          - тактовая сетевая синхронизация

ЦСП         - цифровая система передачи

GPS          - глобальная позиционированная система

STM-N     - синхронный транспортный модуль N-порядка

3 Общие положения

3.1 Задачи аудита системы ТСС

Основными задачами аудита системы ТСС оператора связи являются:

- аттестация системы ТСС;

- обеспечение и поддержание параметров, обеспечивающих качество системы ТСС оператора связи, в соответствии с требованиями, изложенными в РТМ по синхронизации [1];

- определение эксплуатационных показателей сети ТСС оператора связи;

- обеспечение постоянной пригодности систем ТСС оператора связи к выполнению своих функций с нормированной для них точностью.

3.2 Типы аудитов, проводимых на сети ТСС оператора связи

3.2.1 Первичный аудит проводится:

- при подключении сети ТСС оператора связи к базовой сети ТСС;

- при подключении сети оператора связи к сети связи общего пользования;

- при кардинальном изменении цифровой сети оператора связи;

- при включении на сети ТСС оператора связи первичного эталонного генератора.

3.2.2 Периодический аудит проводится не реже, чем один раз в три года, для подтверждения эксплуатационных показателей сигналов синхронизации, установленных при проведении первичного аудита.

3.2.3 Внеплановый аудит проводится:

- при поступлении сообщений от вторичной сети об ухудшении качества связи, например, при появлении «проскальзываний» в аппаратуре коммутации;

- при многократном получении аварийных сообщений;

- при определении с помощью внутренних средств измерений несоответствия нормам, установленным для параметров синхросигналов.

3.3 Организационное обеспечение аудита системы ТСС

3.3.1 Организационное обеспечение аудита системы ТСС осуществляют:

-        головные организации по направлениям техники связи:

а) ЦНИИС;

б) ЛОНИИС;

-        организации, эксплуатирующие системы ТСС;

-        специализированные предприятия, имеющие лицензию на проведение измерений параметров сети ТСС:

в) ООО «АЛТО»,

г) ОАО «АЛГОРКОМ»,

д) ЗАО «САЙРУС» и др.

3.3.2 Первичный аудит проводят специализированные организации под руководством головных организаций по направлениям техники связи. Аудит базовой сети ТСС и ее участков проводит ГЦУМС.

3.3.3 Периодический и внеплановый аудиты проводят организации, ответственные за эксплуатацию сети ТСС оператора.

По заявке оператора связи периодический и внеплановый аудиты могут проводиться специализированными организациями.

4 Содержание работ по организационному обеспечению аудита сети ТСС

4.1 Аудит сети ТСС оператора связи проводится по заявке оператора связи, направляемой в головную организацию: ЦНИИС или ЛОНИИС.

4.2 Головные организации поручают специализированным организациям проведение измерительных работ и уведомляют об этом оператора связи.

4.3 Специализированные предприятия по поручению головной организации ЦНИИС или ЛОНИИС проводят измерения параметров, определяющих качество тактовой сетевой синхронизации, в соответствии с методикой проведения аудита, приведенной в разделе 6.

4.4 Протоколы измерений и техническое заключение по результатам аудита специализированные предприятия представляют в головную организацию по направлению техники связи (а для сетей операторов связи, подключаемых к базовой сети ТСС - также и в ГЦУМС) для анализа качества сети оператора.

4.5 На основании результатов аудита головная организация по направлению принимает решение о выдаче оператору связи экспертного заключения о качестве системы ТСС сети оператора связи и, если необходимо, рекомендации по улучшению качества ТСС.

4.6 Работы по п.п. 4.3 - 4.5 проводятся по договору головной и специализированной организаций с оператором связи, которому требуется аудит сети ТСС.

4.7 Экспертное заключение является обязательным документом, представляемым в органы государственного надзора за связью и информатизацией Российской Федерации, для выдачи разрешения на эксплуатацию цифровой сети связи оператора.

4.8 Работы по поддержанию параметров системы ТСС в заданных пределах проводят подразделения эксплуатирующих организаций.

4.9 Внеплановая аттестация системы ТСС осуществляется оператором связи или по его запросу в случаях появления недопустимого ухудшения качества соединений при подозрении на ухудшение параметров системы ТСС.

5 Программа проведения аудита сети ТСС оператора связи

5.1 Программа проведения первичного аудита состоит из двух этапов:

-        на первом этапе:

а) проверяется наличие паспортов на источники синхросигналов, в соответствии с Р45.09-2001 [2] и Р45.12-2001 [3];

б) проверяется составленная схема сети ТСС;

в) определяется качество сигнала синхронизации по устанавливаемому приоритету в соответствии с рисунком А.1 приложения А;

г) определяются стыки синхронизации, на которых измеряются параметры синхросигнала согласно рисунков А.2 и А.3;

д) проверяется функционирование реализованной схемы ТСС посредством измерений параметров синхросигнала;

-        на втором этапе:

е) результаты измерений сравниваются с нормами, указанными в разделе 6;

ж) по результатам сравнения устанавливаются эксплуатационные показатели на измеряемые стыки.

Примечание - Необходимость установки эксплуатационных показателей связана с тем, что приведенные в Рекомендации МСЭ-Т [5] нормы даны только для цепи синхронизации, содержащей максимально допустимое количество элементов, и выполнение этих норм на отдельных участках сети, содержащих меньшее число элементов сети синхронизации, не говорит о нормальной работе элементов сети синхронизации на проверяемом участке.

5.2 Эксплуатационные показатели параметров синхросигнала на стыках сети оператора связи устанавливаются на основании проведенного обследования сети ТСС оператора связи и результатов измерений, полученных при проведении первичного аудита.

Эксплуатационные показатели параметров синхросигнала должны поддерживаться в течении всего времени эксплуатации сети оператора.

Наличие установленных эксплуатационных показателей необходимо также и для оценки качества синхронизации при проведении периодического или внепланового аудита.

5.3 Периодический и внеплановый аудиты проводятся по программе первичного аудита. При этом сравниваются текущие значения параметров синхросигнала с эксплуатационными показателями, установленными по результатам первичного аудита.

Если получены отрицательные результаты измерений (текущие значения превысили эксплуатационные показатели, установленные при первичном аудите), головные организации по направлению связи должны составить новую программу измерений в зависимости от выявленных нарушений на сети оператора, и проводятся дополнительные измерения.

5.4 Поскольку на сети ТСС, как правило, имеется основной и резервный источники синхронизации, то должны проводиться испытания цепей прохождения синхросигнала как от основного источника синхронизации, так и от резервного источника синхронизации.

Программа проведения измерений содержит измерения характеристик сигналов синхронизации на аппаратуре СП СЦИ/СП ПЦИ в начале и конце цепи синхронизации, на оборудовании синхронизации, а также на коммутационном оборудовании, независимо от того, является или нет это оборудование резервным источником синхронизации.

Стыки синхронизации, подлежащие измерению, указаны в таблице 1 и представлены на рисунках 1 - 6.

Каждый стык синхронизации имеет нормированное значение параметров в соответствии с требованиями Рекомендации МСЭ-Т [5].

Таблица 1

Тип источника

Тип стыка

Измеряемые параметры

МОВИ

дви

Df/f

1

2

3

4

5

1 Основной

Стык Т4 на выходе аппаратуры СП СЦИ, получающей основной сигнал синхронизации непосредственно от основного источника согласно рисунка 1

+

+

+*

2 Основной

Стык Т4 или Е1 на выходе аппаратуры СП СЦИ/ПЦИ, на конце цепи прохождения основного сигнала синхронизации согласно рисунка 2

+

+

+

3 Основной

Стык на входе/выходе коммутационного оборудования, получающего синхросигнал согласно рисунка 3

+

+

+

4 Резервный

Стык Т4 на выходе аппаратуры СП СЦИ, получающей резервный синхросигнал от резервного источника непосредственно, согласно рисунка 4

+

+

+*

5 Резервный

Стык Т4 или Е1 на выходе аппаратуры СП СЦИ/ПЦИ, на конце цепи прохождения резервного сигнала синхронизации по рисунку 5

+

+

+

6 Резервный

Стык на выходе коммутационного оборудования, получающего синхросигнал согласно рисунка 6.

+

+

+

Примечания

1 Если при аудите основного/резервного направления синхросигнала основной/резервный источник не является оборудованием ПЭГ, ПЭИ или приемником GPS и данные измерений не имеют эксплуатационного (20 %) запаса по измеряемым параметрам, то для проверки прохождения сигналов синхронизации в качестве источника можно использовать синхросигнал, получаемый от имитатора измерительного прибора, например, ИВО-1М.

2 Переход на резервный источник синхросигнала должен проводиться путем отключения основного источника от проверяемой сети ТСС.

* Измерения не проводятся, когда источником синхросигнала является ПЭГ или ПЭИ

Условные обозначения:

 - направление основного сигнала синхронизации;

 - стык синхронизации, подлежащий измерению;

Рисунок 1

Условные обозначения:

 - направление основного сигнала синхронизации;

 - стык синхронизации, подлежащий измерению.

Рисунок 2

Условные обозначения:

 - направление основного сигнала синхронизации;

   - стык синхронизации, подлежащий измерению.

Рисунок 3

Условные обозначения:

 - направление резервного сигнала синхронизации;

*  - стык синхронизации, подлежащий измерению.

Рисунок 4

Условные обозначения:

 - направление резервного сигнала синхронизации;

   - стык синхронизации, подлежащий измерению.

Рисунок 5

Условные обозначения:

 - направление резервного сигнала синхронизации;

   - стык синхронизации, подлежащий измерению.

Рисунок 6

5.5 По завершении второго этапа первичного аудита головные организации по направлению связи выдают операторам связи заключение о состоянии их сети ТСС и, если необходимо, рекомендации по устранению обнаруженных неисправностей, относящихся к работе сети синхронизации.

При необходимости, выдаются также предложения по реконфигурации сети ТСС, т.е. по изменению приоритетов на элементах сети, по изменению основных и резервных направлений сигналов синхронизации, а также по изменению самой схемы, если в процессе проведения аудита обнаружится, что сеть ТСС имеет неправильное построение (образуются «петли», цепи синхронизации содержат количество сетевых элементов, превышающее допустимое значение и т.п.).

6 Методика проведения измерений

6.1 Методика измерений при выполнении аудита основана на использовании эталонного источника сигнала синхронизации (2048 кГц или 2048 кбит/с) с малым уровнем помех, относительно которого и должны проводиться все необходимые измерения на сети ТСС. Таким источником может служить оборудование ПЭГ или ПЭИ, в качестве которого может выступать ВЗГ с приемником GPS. В том случае, если на обследуемой сети не используется данное оборудование, допустимо для целей измерения в качестве эталонного источника синхронизации применять внутренний генератор сертифицированных измерительных приборов ИВО-1М (ООО АЛТО, Россия) или Sync Tester (Осциллокварц, Швейцария).

6.2 При измерениях по пунктам 1 - 3 таблицы 1 программы измерений синхросигналы на сеть ТСС поступают от основного источника (ПЭГ, ПЭИ или оборудования сети ТСС).

Если на проверяемой сети имеется несколько основных источников получения синхросигналов, то такая сеть распадается на участки и аудит проводится по участкам.

При измерениях по пунктам 4 - 6 таблицы 1 отключается основной источник получения синхросигналов, и проверяемая сеть синхронизируется от резервного источника. В качестве резервного источника может использоваться оборудование синхронизации в режиме запоминания частоты.

Если сигнал синхронизации от источника синхросигналов поступает сразу на системы передачи ПЦИ, или в мультиплексорах СЦИ синхросигнал формируется только из последовательности Т1, а от источника синхросигналов синхронизация поступает на вход Т2 или Т3, то измерения по пунктам 1 и 4 таблицы 1 проводятся непосредственно на выходах источников.

6.3 Если фактические характеристики синхросигналов - МОВИ, ДВИ, Df/f превышают нормы Рекомендации МСЭ-Т [5], то исследуется весь путь передачи синхросигнала с целью выявления слабого звена, которое могло вызвать указанное ухудшение характеристик.

6.4 При измерении характеристик синхросигналов на выходах Т4 мультиплексоров СЦИ измерительный прибор подключается к выходу Т4 мультиплексора. Время измерения должно быть не менее, чем 1200 с. Результаты измерений МОВИ и ДВИ при измерениях по пунктам 1 и 4 таблицы 1 должны укладываться в пределы, указанные в таблицах 2 и 3, согласно [4].

Если результаты измерений не укладываются в данные пределы, то необходимо провести дополнительные измерения при синхронизации от имитатора измерительного прибора. Во всех случаях результаты измерений от реальных источников синхросигналов должны с запасом укладываться в пределы, указанные в таблицах 4 и 5, в соответствии с [5].

При измерениях по пунктам 2 и 5 таблицы 1 результаты МОВИ и ДВИ должны укладываться в пределы, указанные в таблицах 4 и 5.

Таблица 2

МОВИ, нс

Интервал наблюдения t, с

40

0,1 < t £ 1

40t0,1

1 < t £ 100

25t0,2

100 < t £ 1000

Таблица 3

ДВИ, нс

Интервал наблюдения t, с

3,2

0,1 < t £ 25

0,64t0,1

25 < t £ 100

6,4

100 < t £ 1000

6.5 При измерении характеристик выходных синхросигналов Е1 мультиплексоров ПЦИ измерительный прибор подключается на выходной сигнал Е1 мультиплексора ПЦИ. Время измерения должно быть не менее 1200 с. Значения измеренных МОВИ и ДВИ при измерениях по пунктам 1 и 4 таблицы 1 должны ориентироваться на нормы, указанные в таблицах 4 и 5.

Таблица 4

МОВИ, нс

Интервал наблюдения t, с

250

0,1 < t £ 2,5

100t

2,5 < t £ 20

2000

20 < t £ 2000

Таблица 5

ДВИ, нс

Интервал наблюдения t, с

12

0,1 < t £ 17

0,7t

17,14 < t £ 100

58 + 1,2t1/2 + 3 × 10-4t

100 < t £ 1000000

При измерениях по пунктам 2 и 5 таблицы 1 выходные параметры сигналов синхронизации должны удовлетворять требованиям таблиц 6 и 7.

Таблица 6

МОВИ, нс

Интервал наблюдения t (с)

732

0,1 < t £ 7,3

100t

7,3 < t £ 20

2000

20 < t £ 2000

Таблица 7

ДВИ (нс)

Интервал наблюдения t (с)

34

0,1 < t £ 48

0,7t

48 < t £ 100

58 + 1,2t1/2 + 3 × 10-4t

100 < t £ 1000000

6.6 Измерения характеристик ВЗГ и БСС коммутационных станций проводятся в двух режимах - синхронном и в режиме удержания последнего значения относительного отклонения частоты. Время измерения в синхронном режиме не менее четырёх часов, в режиме удержания - в течение » 24 часов.

При измерениях по пункту 3 таблицы 1 характеристики синхросигналов на входе должны соответствовать требованиям, указанным в таблицах 2 и 3, если мультиплексор, выдающий эти сигналы, получает синхронизацию непосредственно от основного источника, или быть не хуже норм, приведенных в таблицах 4, 5 для ЦСП СЦИ и 6, 7 для ЦСП ПЦИ. Выходные характеристики сигналов синхронизации при измерениях по пунктам 3 и 6 таблицы 1 должны удовлетворять требованиям указанным, соответственно, в таблицах 8 и 9, согласно [6] или в таблицах 10, 11, согласно [5].

Таблица 8

МОВИ, нс

Интервал наблюдения t, с

24

0,1 < t £ 9

8t0,5

9 < t £ 400

160

400 < t £ 10000

Таблица 9

ДВИ, нс

Интервал наблюдения t, с

3

0,1 < t £ 25

0,12t

25 < t £ 100

12

100 < t £ 10000

Таблица 10

МОВИ, нс

Интервал наблюдения t, с

25

0,1 < t £ 2,5

10t

2,5 < t £ 200

2000

200 < t £ 2000

Таблица 11

ДВИ, нс

Интервал наблюдения t, с

3

0,1 < t £ 4,3

0,7t

4,3 < t £ 100

58 + 1,2t1/2 + 3 × 10-4t

100 < t

Примечание - при измерениях на выходах коммутационных станции, используемых только для синхронизации СП ПЦИ, результаты могут не укладываться в пределы, указанные в таблицах 10 и 11, [5] но значения МОВИ на всем интервале наблюдения не должны превышать величины 1000 нс.

7 Оформление результатов измерений

Данные, полученные при измерениях для каждого из объектов, должны быть зафиксированы в протоколах измерений согласно рисунков 7 - 9.

Форма 1

Протокол №

сличения генераторов измерительных приборов

Дата: "___"_____________200 г.

Измерительный прибор: ____________________________________________________

Общее время сличения _____________________________________________________

Примечание ______________________________________________________________

Таблица измерений Df/f

Характеристика Df/f, отн. ед.

 

Интервал оценки, с

12000 с

Приложение: распечатка результатов измерений

Заказчик                                                                          Исполнитель

Рисунок 7 - Форма 1. Протокол сличения генераторов измерительных приборов

Форма 2

Протокол №

измерений характеристик сигнала синхронизации при проведении (вид)____ аудита

Дата:

Объект проведения измерений: _____________________________________________

Оборудование: ___________________________________________________________

Измерительный прибор: ___________________________________________________

Общее время измерения: ___________________________________________________

Примечание: _____________________________________________________________

Таблицы измерений МОВИ, ДВИ, Af/f:

Характеристика

МОВИ, нс

Df/f, отн. ед.

Интервал оценки, с

1

10

100

1000

> 1000

 

Результат

 

 

 

 

 

 

Частные эксплуатационные показатели

 

 

 

 

 

 

Нормы по Рекомендации МСЭ-Т

 

 

 

 

 

 

Приложение: распечатка результатов измерений

Характеристика

ДВИ, нс

Df/f, отн. ед.

Интервал оценки, с

1

10

100

1000

> 1000

 

Результат

 

 

 

 

 

 

Частные эксплуатационные показатели

 

 

 

 

 

 

Нормы по Рекомендации МСЭ-Т

 

 

 

 

 

 

Приложение: распечатка результатов измерений

Заказчик Исполнитель

Рисунок 8 - Форма 2. Протокол измерений параметров качества сигнала синхронизации

Форма 3

Журнал результатов измерений при проведении аудитов

Объект:_____________

Характеристика

МОВИ, нс

ДВИ, нс

Df/f, отн. ед.

Интервал наблюдения, с

10

100

1000/2000

10

100

1000/2000

 

Первичный Аудит

 

 

 

 

 

 

 

Результат

 

 

 

 

 

 

 

Норма

 

 

 

 

 

 

 

Периодический аудит

 

 

 

 

 

 

 

Результат

 

 

 

 

 

 

 

Норма

 

 

 

 

 

 

 

Внеплановый Аудит

 

 

 

 

 

 

 

Результат

 

 

 

 

 

 

 

Норма

 

 

 

 

 

 

 

Рисунок 9 - Форма 3. Журнал результатов измерений при проведении аудита

8 Оценка результатов измерений

Если результаты измерений не укладываются в предельные нормы (или подходят вплотную к ним) при измерениях по пунктам 2, 3, 5, 6 таблицы 1, то проводится анализ прохождения синхросигналов. При этом измерения начинаются с последнего элемента цепи, характеристики синхросигнала которого не в норме, и постепенно переходят к началу цепи синхронизации.

Если все результаты измерений укладываются в заданные нормы Рекомендаций МСЭ-Т [4 - 6], то устанавливают частные эксплуатационные показатели для периодических и внеплановых измерений.

Установленные эксплуатационные показатели заносятся в журнал, в который будут записываться результаты периодических и внеплановых измерений в соответствии с рисунком 9.

9 Результаты аудита системы тактовой сетевой синхронизации

По результатам аудита выдается заключение о том что, сеть ТСС спроектирована и построена в соответствии с требованиями ETC 300 462-2 [7], описывающими правила построения и архитектуру сетей ТСС. Значения измеренных параметров сигналов синхронизации соответствуют нормам Рекомендаций МСЭ-Т G.823 [5].

Следовательно, сеть ТСС обеспечивает надежную работу всех сетевых элементов цифровой сети оператора связи и, соответственно, может взаимодействовать с ВСС России. В случае обнаружения неисправностей выдаются рекомендации по их устранению и предложения по проведению повторного аудита.

Приложение А

(справочное)

Пример определения стыков синхронизации, подлежащих измерениям

* направление основного сигнала синхронизации;

 направление резервного сигнала синхронизации;

* сигнал используется первым приоритетом;

* сигнал используется вторым приоритетом;

Рисунок А.1 - Схема участка сети ТСС

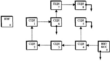
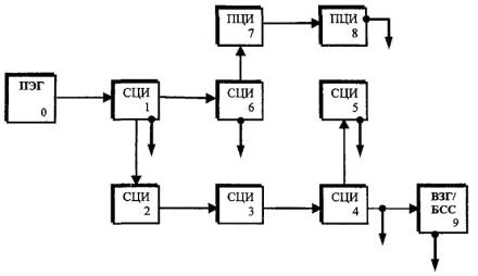
Для удобства определения стыков синхронизации, на которых необходимо провести измерения, составляется граф прохождения основного и резервного сигналов синхронизации.

Рисунок А.2 - Граф прохождения основного синхросигнала

Рисунок А.3 - Граф прохождения резервного синхросигнала

В соответствии с таблицей 1 измерения проводят на выходе следующих элементов цепи согласно рисунка А.2 при синхронизации от основного источника:

- СЦИ 1 - первый элемент цепи (п. 1 таблицы 1);

- СЦИ 5, СЦИ 6 - последние элементы в цепи СЦИ (п. 2 таблицы 1);

- СЦИ 4 - на входе коммутационного оборудования (п. 3 таблицы 1),

- ВЗГ/БСС 9 - на выходе оборудования синхронизации или коммутации (п. 3 таблицы 1),

- ПЦИ 8 - последний элемент ПЦИ в цепи (п. 2 таблицы 1).

При синхронизации от резервного источника в соответствии с рисунком А.3 измерения проводят на выходе следующих элементов цепи:

- ВЗГ/БСС 9 - оборудование синхронизации или коммутации (п. 4 таблицы 1),

- СЦИ 5, СЦИ 6 - последние элементы СЦИ в цепи (п. 5 таблицы 1),

- ПЦИ 8 - последний элемент ПЦИ в цепи (п. 5 таблицы 1).

Приложение Б

(справочное)

Библиография

[1]

РТМ «По построению ТСС на цифровой сети связи Российской Федерации», принято решением ГКЭС России от 01.11.95 г

[2] Р 45.09-2001

Присоединение сетей операторов связи к базовой сети ТСС

[3] Р 45.12-2001

Эксплуатация первичных эталонных генераторов на Взаимоувязанной сети связи Российской федерации

[4] Рекомендация МСЭ-Т G.813

Временные характеристики ведомых генераторов для синхронизации оборудования СЦИ и ПЦИ, 03/98 г.

[5] Рекомендация МСЭ-Т G.823

Управление дрожанием и блужданием фазы на цифровых сетях, базирующихся на 2048 кбит/с, 02/99 г.

[6] Рекомендация МСЭ-Т G.812

Временные характеристики ведомых генераторов, 06/98 г.

[7] ETC 300 462-2

Передача и мультиплексирование (ТМ). Общие требования для сетей синхронизации

 

Ключевые слова: тактовая сетевая синхронизация, аудит, первичный, периодический, внеплановый.

 

 



© 2013 Ёшкин Кот :-)