
СОВЕТ ЭКОНОМИЧЕСКОЙ ВЗАИМОПОМОЩИ
СТАНДАРТ СЭВ
СТ СЭВ 1465-78
ВОЛОКНА ХИМИЧЕСКИЕ
ТЕРМИНЫ И ОПРЕДЕЛЕНИЯ
1980
Постановлением
Государственного комитета СССР по стандартам от 9 августа 1979 г. № 3049 стандарт
Совета Экономической Взаимопомощи СТ СЭВ 1465-78 «Волокна химические. Термины и
определения»
введен в действие непосредственно в качестве
государственного стандарта СССР
в народном хозяйстве с
01.01. 81 г.
в договорно-правовых отношениях по сотрудничеству с 01.01. 81 г.
Настоящий стандарт СЭВ
распространяется на химические волокна и устанавливает для них основные термины
и определения и принцип условного обозначения.
1.
ТЕРМИНЫ И ОПРЕДЕЛЕНИЯ
Термины и определения химических волокон разработаны с
учетом классификации, принятой в Общем классификаторе промышленной и
сельскохозяйственной продукции стран - членов СЭВ (ОКП СЭВ), с последующим
дальнейшим уточнением классификационных признаков, представленных на схемах 1, 2, 3 и 4
информационного приложения.
Индексы терминов химических волокон, применяемых в
настоящем стандарте СЭВ, служат для облегчения поиска терминов и не являются
обязательными.
1.1. Общие термины и определения
Таблица 1
Индекс
|
Термин
|
Определение
|
C
|
Химические волокна
|
Волокна из природных или синтетических веществ
и полимеров (органических или неорганических)
|
C1
|
Органические химические волокна
|
Волокна химические из природных или
синтетических полимеров
|
С2
|
Неорганические химические волокна
|
Волокна химические из неорганических веществ
|
1.2. Термины и определения органических волокон
Таблица 2
Индекс
|
Термин
|
Определение
|
С1.1
|
Карбоцепные волокна
|
Волокна органические, основные цепи
макромолекул которых состоят из атомов углерода
|
С1.1.1
|
Полиановые волокна
|
Волокна карбоцепные, основные цепи
макромолекул которых имеют одинарные химические связи
|
C1.1.1.01
|
Полиолефиновые волокна
|
Волокна полиановые, содержащие в качестве
заместителей у углерода основной цепи макромолекул водород или алкил
|
C1.1.1.01.01.01
|
Полипропиленовые волокна
|
Волокна полиолефиновые, имеющие структурную
формулу элементарного звена
|

|
С1.1.1.01.01.02
|
Полиэтиленовые волокна
|
Волокна
полиолефиновые, имеющие структурную формулу элементарного звена
|

|
С1.1.1.02
|
Полиангалогенсодержащие волокна
|
Волокна
полиановые, содержащие в качестве заместителя у углерода элементарного звена
макромолекулы галоген
|
C1.1.1.02.01
|
Полианхлорсодержащие волокна
|
Волокна полиангалогенсодержащие, содержащие
в качестве заместителя у углерода основной цепи макромолекулы хлор
|
С1.1.1.02.01.01
|
Поливинилиденхлоридные волокна
|
Волокна полианхлорсодержащие со структурной
формулой элементарного звена
|

|
С1.1.1.02.01.02
|
Поливинилхлоридные волокна
|
Волокна полианхлорсодержащие со структурной
формулой элементарного звена
|

|
С1.1.1.02.01.03
|
Поливинилхлоридные хлорированные волокна
|
Волокна поливинилхлоридные дополнительно
хлорированные
|
C1.1.1.02.02
|
Полианфторсодержащие волокна
|
Волокна полиангалогенсодержащие, у которых в
качестве заместителя у углерода основной цепи макромолекулы фтор
|
C1.1.1.02.02.01
|
Поливинилиденфторидные волокна
|
Волокна полианфторсодержащие со структурной
формулой элементарного звена
|

|
С1.1.1.02.02.02
|
Поливинилфторидные волокна
|
Волокна полианфторсодержащие со структурной
формулой элементарного звена
|

|
С1.1.1.02.02.03
|
Политетрафторэтиленовые волокна
|
Волокна полианфторсодержащие со структурной
формулой элементарного звена
|

|
С1.1.1.03
|
Полиангидроксилсодержащие волокна
|
Волокна полиановые, содержащие в качестве
заместителя у углерода элементарного звена макромолекулы гидроксильную группу
(ОН)
|
С1.1.1.03.01.01
|
Поливинилспиртовые волокна
|
Волокна полиангидроксилсодержащие со
структурной формулой элементарного звена
|

|
С1.1.1.04
|
Полианнитрилсодержащие волокна
|
Волокна полиановые, содержащие в качестве
заместителя у углерода элементарного звена макромолекулы нитрильную группу
|
C1.1.1.04.01.01
|
Полиакрилонитрильные волокна
|
Волокна
полианнитрилсвдержащие со структурной формулой элементарного звена
|

|
C1.1.1.04.01.02
|
Полицианидвинилиденовые волокна
|
Волокна
полианнитрилсвдержащие со структурной формулой элементарного звена
|

|
C1.1.1.05
|
Полианарилсодержащие волокна
|
Волокна полиановые, содержащие в качестве
заместителя у углерода элементарного звена макромолекулы ароматические циклы
|
C1.1.1.05.01.01
|
Полистирольные волокна
|
Волокна
полианарилсодержащие со структурной формулой элементарного звена
|

|
C1.1.1.06
|
Полианэфирсодержащие волокна
|
Волокна
полиановые, у которых в качестве заместителя у углерода элементарного звена макромолекулы
эфирные группы
|
C1.1.1.06.01.01
|
Поливинилацетатные волокна
|
Волокна полианэфирсодержащие со структурной
формулой элементарного звена
|

|
C1.2
|
Кислородкарбоцепные волокна
|
Волокна органические, основные цепи макромолекул
которых состоят из атомов углерода и кислорода
|
C1.2.1
|
Полиэфирные
простые волокна
|
Волокна кислородкарбоцепные, основные цепи
макромолекул которых содержат простые эфирные группы
|

|
C1.2.1.01
|
Полиэфирные
простые алифатические волокна
|
Волокна
полиэфирные простые, содержащие в основной цепи макромолекул алифатические
звенья
|
C1.2.1.01.01.01
|
Полиформальдегидные
волокна (полиметиленоксидные)
|
Волокна полиэфирные простые, алифатические со структурной
формулой элементарного звена
|

|
C1.2.2
|
Полиэфирные
сложные волокна
|
Волокна кислородкарбоцепные, основные цепи
макромолекул которых содержат сложные эфирные группы
|

|
С1.2.2.01.
|
Полиэфирные сложные ароматические волокна
|
Волокна полиэфирные сложные, содержащие в
основной цепи макромолекул ароматические звенья
|
C1.2.2.01.01
|
Полиалкиленгликольтерефталатные волокна
|
Волокна полиэфирные сложные ароматические, содержащие
в основной; цепи макромолекул остатки терефталевых кислот,
|
С1.2.2.01.01.01
|
Полиэтилентерефталатные волокна
|
Волокна
полиалкиленгликольтерефталатные, со структурной формулой элементарного звена
|

|
С1.2.2.01.02
|
Поликарбонатные волокна
|
Волокна полиэфирные сложные ароматические,
содержащие остатки угольной кислоты и двухатомных фенолов в основной цепи
макромолекул
|
С1.2.3
|
Кислородкарбоциклоцепные волокна
|
Волокна кислородкарбоцепные, содержащие в основной
цепи макромолекул кислородсодержащие циклы
|
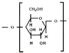
С1.2.3.01
|
Целлюлозные волокна
|
Волокна
кислородкарбоциклоцепные, макромолекулы которых состоят из звеньев
ангидро-Д-глюкопиранозы, соединенных 1,4-глюкозидными связями
|

|
С1.2.3.01.01
|
Гидратцеллюлозные волокна
|
Волокна из регенерированном целлюлозы,
содержащие в основной цепи макромолекулы ангидро-Д-глюкопиранозы, соединенных
1,4-глюкозидными связями
|
С1.2.3.01.01.01
|
Вискозные волокна
|
Волокна гидратцеллюлозные, полученные
вискозным способом
|
С1.2. 3.01.01.02
|
Медно-аммиачные волокна
|
Волокна гидратцеллюлозные, полученные
медно-аммиачным способом
|
С1.2.3.01.02
|
Ацетилцеллюлозные волокна
|
Волокна из сложных уксуснокислых эфиров
целлюлозы
|
C1.2.3.01.02.01
|
Ацетатные волокна
|
Волокна ацетилцеллюлозные с массовой долей
связанной уксусной кислоты в основной цепи макромолекул от 53 до 54,5 %
|
C1.2.3.01.02.02
|
Триацетатные волокна
|
Волокна ацетилцеллюлозные с массовой долей
связанной уксусной кислоты в основной
цепи макромолекул от 59 до 61,2 %
|
С1.2.3.02
|
Альгинатные волокна
|
Волокна
из полиуровых кислот, содержащие в основной цепи макромолекул звенья
|

|
C1.2.3.02.01.01
|
Альгинатные кальциевые волокна
|
Волокна
альгинатные со структурной формулой элементарного звена
|

|
С1.3
|
Азоткарбоцепные волокна
|
Волокна органические, основные цепи
макромолекул которых состоят из атомов углерода и азота
|
С1.3.1
|
Полиамидные волокна
|
Волокна
азоткарбоцепные, содержащие в основной цепи макромолекул амидные группы
|

|
С1.3.1.01
|
Полиамидные алифатические волокна
|
Волокна полиамидные, содержащие в основной
цепи макромолекул алифатические звенья
|
C1.3.1.01.01.01
|
Поли-g-бутироамидные
волокна (полиамид 4)
|
Волокна
полиамидные алифатические, со структурной формулой элементарного звена
|

|
C1.3.1.01.01.02
|
Поли-e-капроамидные
волокна (полиамид 6)
|
Волокна
полиамидные алифатические, со структурной формулой элементарного звена
|

|
C1.3.1.01.01.03
|
Полигексаметиленадипинамидные волокна
|
Волокна
полиамидные алифатические, со структурной формулой элементарного звена
|

|
С1.3.1.01.01.04
|
Полигексаметиленсебацинамидные волокна
(полиамид 6, 10)
|
Волокна
полиамидные алифатические, со структурной формулой элементарного звена
|

|
C1.3.1.01.01.05
|
Полиэнантоамидные волокна (полиамид 7)
|
Волокна
полиамидные алифатические, со структурной формулой элементарного звена
|

|
С1.3.1.01.01.06
|
Поли-ω-ундеканамидные волокна (полиамид
11)
|
Волокна
полиамидные алифатические, со структурной формулой элементарного звена
|

|
С1.3.1.02
|
Полиамидные ароматические волокна
|
Волокна полиамидные, содержащие в основной цепи
макромолекул ароматические звенья
|
С1.3.1.02.01.01
|
Полиарамидные волокла
|
Волокна
полиамидные ароматические, со структурной формулой элементарного звена
|

|
С1.3.1.02.01.02
|
Полисульфоарамидные волокна
|
Волокна
полиамидные ароматические, со структурной формулой элементарного звена
|

|
С1.3.2
|
Азоткарбоциклоцепные волокна
|
Волокна азоткарбоцепные, содержащие в
основной цепи макромолекул азотсодержащие циклы
|
С1.3.2.01
|
Полиимидазольные волокна
|
Волокна
азоткарбоциклоцепные, содержащие в основной цепи макромолекул имидазольные
циклы
|

|
C1.3.2.01.01.01
|
Полибензимидазольные волокна
|
Волокна
полиимидазольные, со структурной формулой
элементарного звена
|

|
С1.3.2.02
|
Полиимидные
волокна
|
Волокна
азоткарбоциклоцепные, содержащие в основной цепи макромолекул имидные циклы
|

|
С1.4
|
Кислородазоткарбоцепные волокна
|
Волокна органические, основные цепи
макромолекул которых состоят из атомов углерода, азота и кислорода
|
С1.4.1
|
Полиуретановые волокна
|
Волокна
кислородазоткарбоцепные, содержащие в основной цепи макромолекул уретановые
звенья
|

|
С1.4.2
|
Кислородазоткарбоциклоцепные волокна
|
Волокна кислородазоткарбоцепные, содержащие в
основной цепи макромолекул кислородазотсодержащие циклы
|
С1.4.2.01
|
Полиоксадиазольные волокна
|
Волокна
кислородазоткарбоциклоцепные, содержащие в основной цепи макромолекул
оксазольные циклы
|

|
С1.4.2.02
|
Полибензоксазольные
волокна
|
Волокна, содержащие в основной цепи
макромолекул бензоксазольные циклы
|

|
С1.4.3
|
Белковые
волокна
|
Волокна кислородазоткарбоциклоцепные,
характеризующиеся наличием в основной цепи макромолекул звеньев a-аминокислот пептидных связей
|

|
С1.4.3.01
|
Белковые
простые волокна
|
Волокна
белковые, характеризующиеся наличием в основной цепи макромолекул
незамещенных a-аминокислот
|
С1.4.3.01.01.01
|
Коллагеновые
волокна
|
Волокна
белковые из коллагена
|
С1.4.3.01.01.02
|
Кератиновые
волокна
|
Волокна
белковые из кератина
|
С1.4.3.01.01.03
|
Зеиновые волокна
|
Волокна белковые из зеины
|
С1.4.3.01.01.04
|
Фиброиновые волокна
|
Волокна белковые из фиброина
|
С1.4.3.01.01.05
|
Арахисовые волокна
|
Волокна белковые из арахиса
|
С1.4.3.01.01.06
|
Соевые волокна
|
Волокна белковые из сои
|
С1.4.3.02
|
Белковые сложные волокна
|
Волокна белковые, характеризующиеся наличием
в основной цепи макромолекул остатками замещенных a-аминокислот
|
С1.4.3.02.01.01
|
Казеиновые волокна
|
Волокна белковые из фосфоропротеина
|
1.3. Термины и определения неорганических волокон
Таблица 3
Индекс
|
Термин
|
Определение
|
С2.1
|
Металлические волокна
|
Волокна неорганические, полученные из
металлических материалов
|
С2.2
|
Неметаллические волокна
|
Волокна неорганические, полученные из
неметаллических материалов
|
C2.2.01
|
Стеклянные волокна
|
Волокна из аморфных тел, получаемых путем
переохлаждения
|
расплава
|
С2.2.02
|
Керамические волокна
|
Волокна из керамического сырья
|
С2.2.03
|
Кремниевые волокна
|
Волокна из карбида кремния
|
С2.2.04
|
Борные волокна
|
Волокна из бора
|
С2.3
|
Минеральные волокна
|
Волокна неорганические, изготовленные из
различных горных пород
|
С2.3.01
|
Шлаковые волокна
|
Волокна минеральные из металлургических
шлаков
|
C2.3.02
|
Базальтовые волокна
|
Волокна минеральные из базальта
|
С2.3.03
|
Волокна из лавы
|
Волокна минеральные из вулканической лавы
|
1.4. Термины и определения форм изготовления химических
волокон
Таблица 4
Индекс
|
Термин
|
Определение
|
С3.1
|
Нить
|
Гибкое протяженное и прочное тело, неограниченной
длины, с малыми поперечными размерами по отношению к длине
|
С3.1.01
|
Элементарная нить
|
Нить, не делящаяся в продольном направлении
без разрушения
|
C3.1.02
|
Мононить
|
Элементарная нить для непосредственного изготовления
текстильных изделий
|
С3.1.03
|
Леска
|
Мононить диаметром более 0,08 мм
|
C3.1.04
|
Щетина
|
Мононить диаметром более 0,08 мм заданной
длины
|
С3.1.05
|
Комплексная нить
|
Нить, состоящая из двух или более элементарных
нитей
|
С3.1.06
|
Трощеная нить
|
Нить, образованная из двух или более нитей,
соединенных вместе, без скручивания
|
С3.1.07
|
Крученая нить
|
Нить, образованная из двух или более нитей,
соединенных вместе посредством скручивания
|
С3.1.08
|
Фибриллированная нить
|
Нить из пленки, подвергнутой фибрилляции
механическим или химико-механическим способом
|
С3.2
|
Волокно
|
Гибкое, протяженное и прочное тело с малыми
поперечными размерами, заданной длины
|
С3.2.01
|
Волос
|
Волокно для непосредственного изготовления
изделий
|
С3.3
|
Жгут
|
Комплекс продольно сложенных элементарных
нитей, предназначенных для разрыва и/или резки
|
С3.3.01
|
Лента конверторная
|
Лента, состоящая из продольно ориентированных
волокон, полученных из жгута путем разрыва и/или резки
|
С3.3.02
|
Жгутик
|
Комплекс продольно расположенных
элементарных нитей, предназначенных для непосредственного получения
текстильных изделий
|
Примечание. Индекс термина в табл. 1, 2, 3 и 4
соответствует индексу термина на схемах 1, 2, 3 и 4.
Для построения условного
обозначения химических волокон необходимо:
- определить форму
изготовления, вид, назначение и тип волокна, вырабатываемого промышленностью;
- подобрать к ним условные
(буквенные) обозначения.
Условное обозначение
химических волокон должно состоять из двух частей - основной и дополнительной,
соединенных между собой знаком «плюс» (+) и выражаться следующей формулой:

где: Основная часть условного обозначения:
А - условное обозначение формы
изготовления химического волокна (табл. 6 информационного приложения);
Е - условное обозначение вида
химического волокна по структуре основной цепи макромолекул (табл. 5
информационного приложения);
К - условное обозначение по
назначению (табл. 7 информационного приложения);
Дополнительная часть условного
обозначения:
Т1, Т2, Т3...Тn
- условное обозначение типов выработки химических волокон (табл. 8
информационного приложения).
Запись условных обозначений
производится в указанной последовательности, в соответствии с формулой, с
применением разделительного знака тире (-) в каждой части.
Основная часть условного
обозначения является обязательной. В дополнительной части набор условных
обозначений по типам выработки является произвольным.
Пример: полиамидная (РА),
белая (ws), матированная (mt), термостойкая (wb) нить
(S) текстильного назначения (ft) должна иметь следующую
запись условного обозначения:

1. ДЕЛЕНИЕ ХИМИЧЕСКИХ ВОЛОКОН ПО КЛАССИФИКАЦИОННОМУ ПРИЗНАКУ - ХИМИЧЕСКОЕ
СТРОЕНИЕ
1.1. Химические волокна последовательно разделяются по следующим
классификационным признакам, связанным с химическим строением основной цепи
макромолекул:
по виду химических элементов
в основной цепи макромолекул - класс
по характеру химических связей
в основной цепи макромолекул - подкласс
по групповому типу
заместителя у элементов основной цепи макромолекул - группа
по конкретному
типу заместителя у элементов основной цепи макромолекул - подгруппа
по структурной формуле
основной цепи макромолекул - вид.
1.2. Индексация химических органических волокон производится прибавлением
пяти знаков к индексу С1, обозначающему делимую совокупность.
Первые два знака определяют
класс, подкласс и состоят каждый соответственно из одной цифры от 0 до 9.
Третий, четвертый и пятый знаки определяют группу, подгруппу и вид и состоят
соответственно из чисел от 00 до 99.
Структура общего индекса
следующая:

Пример:
С1.1.1.01.01.02 - полиэтиленовые.
Деление
химических органических волокон от классов до видов представлено на схеме 2.
1.3. Индексация химических неорганических волокон производится прибавлением
двух знаков к индексу С2, обозначающему делимую совокупность. Первый знак
определяет класс и состоит из одной цифры от 0 до 9, второй знак определяет вид
и состоит из числа - от 00 до 99.
Структура общего индекса
следующая:

Пример: С2.2.01 - волокна
стеклянные.
Деление химических
неорганических волокон по классам и видам представлено на схеме
3.
2. ДЕЛЕНИЕ
ХИМИЧЕСКИХ ВОЛОКОН ПО КЛАССИФИКАЦИОННОМУ ПРИЗНАКУ - ФОРМА ИЗГОТОВЛЕНИЯ
2.1. Индексация химических волокон по классификационному признаку - форма
изготовления - производится прибавлением двух знаков к индексу С3,
обозначающему делимую совокупность.
Первый знак определяет класс
и состоит из одной цифры, от 0 до 9. Второй знак определяет подкласс и состоит
из числа от 00 до 99.
2.2. Структура общего индекса следующая:

Пример: С3.1.01 - нить
элементарная.
2.3. Деление химических волокон по классификационному признаку - форма
изготовления - по классам и подклассам представлено на схеме 4, и в табл. 6.
3. ДЕЛЕНИЕ
ХИМИЧЕСКИХ ВОЛОКОН ПО КЛАССИФИКАЦИОННОМУ ПРИЗНАКУ - НАЗНАЧЕНИЕ
3.1. Индексация химических волокон по классификационному признаку -
назначение - производится прибавлением одного знака к индексу С4, обозначающему
делимую совокупность. Знак определяет класс и состоит из одной цифры от 0 до 9.
3.2. Структура общего индекса следующая:

Пример: С4.2 - химические
волокна технического назначения
3.3. Деление химических волокон по классификационному признаку - назначение
- представлено в табл. 7.
4. ДЕЛЕНИЕ
ХИМИЧЕСКИХ ВОЛОКОН ПО КЛАССИФИКАЦИОННОМУ ПРИЗНАКУ - ТИП ВЫРАБОТКИ
4.1. В основу положен перечень типов химических волокон, вырабатываемых
промышленностью стран - членов СЭВ.
4.2. Индексация химических волокон по классификационному признаку - тип
выработки - производится прибавлением одного знака к индексу С5, обозначающему
делимую совокупность. Знак определяет класс и состоит из одной цифры или числа.
4.3. Структура индекса следующая:

Пример: С5.3 - химическое
волокно шерстяного типа.
4.4. Перечень условных обозначений химических волокон по типам выработки
представлен в табл. 8.
Схема 3
Деление неорганических волокон

Схема 4
Деление химических волокон по классификационному
признаку - форма изготовления

5.
УСЛОВНЫЕ ОБОЗНАЧЕНИЯ ХИМИЧЕСКИХ ВОЛОКОН
5.1. Условные обозначения химических
волокон по строению основной цепи макромолекул*
Таблица 5
Термин
|
Условное обозначение
|
Индекс
|
Азоткарбоцепные волокна
|
-
|
С1.3
|
Азоткарбоциклоцепные волокна
|
-
|
C1.3.2
|
Альгинатные волокна
|
AL
|
С1.2.3.02
|
Альгинатные кальциевые волокна
|
ALCa
|
С1.2.3.02.01.01
|
Арахисовые волокна
|
ВКА
|
C1.4.3.01.05
|
Ацетатные волокна
|
АС
|
С1.2.3.01.02.01
|
Ацетилцеллюлозные волокна
|
PZ
|
С1.2.3.01.02
|
Базальтовые волокна
|
STB
|
С2.3.02
|
Белковые волокна
|
вк
|
C1.4.3
|
Белковые простые волокна
|
-
|
C1.4.3.01
|
Белковые сложные волокна
|
-
|
C1.4.3.02
|
Борные волокна
|
NB
|
C2.2.04
|
Вискозные волокна
|
VJ
|
C1.2.3.01.01.01
|
Гидратцеллюлозные волокна
|
RZ
|
С1.2.3.01.01
|
Зеиновые волокна
|
BKZ
|
C1.4.3.01.03
|
Казеиновые волокна
|
вкк
|
C1.4.3.02.01
|
Карбоцепные волокна
|
-.
|
C1.1
|
Керамические волокна
|
NMKr
|
C2.2.02
|
Кератиновые волокна
|
BKR
|
С1.4.3.01.02
|
Кислородазоткарбоцепные волокна
|
-
|
C1.4
|
Кислородазоткарбоциклоцепные волокна
|
-
|
С1.4.2
|
Кислородкарбоцепные волокна
|
-
|
C1.2
|
Кислородкарбоциклоцепные волокна
|
-
|
С1.2.3
|
Коллагеновые волокна
|
ВKG
|
C1.4.3.01.01
|
Кремниевые волокна
|
NMK
|
C2.2.03
|
Из лавы волокна
|
STL
|
С2.3.03
|
Медно-аммиачные волокна
|
CU
|
С1.2.3.01.01.02
|
Металлические волокна
|
мт
|
C2.1
|
Минеральные волокна
|
ST
|
C2.3
|
Неметаллические волокна
|
NM
|
C2.2
|
Неорганические волокна
|
CG
|
C2
|
Органические волокна
|
со
|
C1
|
Полиакрилонитрильные волокна
|
PAN
|
C1.1.1.04.01.01
|
Полиалкиленгликольфталатные волокна
|
-
|
C1.2.2.01.01
|
Полиамидные волокна
|
PA
|
C1.3.1
|
Полиамидные алифатические волокна
|
PAA
|
С1.3.1.01
|
Полиамидные ароматические волокна
|
PAR
|
C1.3.1.02
|
Полианарилсодержащие волокна
|
-
|
С1.1.1.05
|
Полиангалогенсодержащие волокна
|
-
|
С1.1.1.02
|
Полиангидроксилсодержащие волокна
|
-
|
С1.1.1.03
|
Полианнитрилсодержащие волокна
|
-
|
С1.1.1.04
|
Полиановые волокна
|
-
|
С1.1.1
|
Полианфторсодержащие волокна
|
-
|
C1.1.1.02.02
|
Полианхлорсодержащие волокна
|
-
|
С1.1.1.02.01
|
Полианэфирсодержащие волокна
|
-
|
С1.1.1.06
|
Полиарамидные волокна
|
PAD
|
С1.3.1.02.01.01
|
Полибензимидазольные волокна
|
РВ1
|
С1.3.2.01.01.01
|
Полибензоксазольные волокна
|
-
|
С1.4.2.02
|
Поли-g-бутироамидные
волокна
|
РА-4
|
С1.3.1.01.01.01
|
Поливинилацетатные волокна
|
PVAC
|
С1.1.1.06.01.01
|
Поливинилиденфторидные волокна
|
PVDF
|
С1.1.1.02.02.01
|
Поливинилиденхлоридные волокна
|
PVD
|
С1.1.1.02.01.01
|
Поливинилспиртовые волокна
|
PVA
|
C1.1.1.03.01.01
|
Поливинилфторидные волокна
|
PVF
|
С1.1.1.08.01.01
|
Поливинилхлоридные волокна
|
PVC
|
С1.1.1.02.01.02
|
Поливинилхлоридные хлорированные волокна
|
PVCC
|
С1.1.1.02.01.03
|
Полигексаметиленадипинамидные волокна
|
РА-6,6
|
С1.3.1.01.01.03
|
Полигексаметиленсебацинамидные волокна
|
РА-6,10
|
С1.3.1.01.01.04
|
Полиимидазольные волокна
|
-
|
С1.3.2.01
|
Полиимидные волокна
|
РМ1
|
С1.3.2.02
|
Поли-e-капроамидные
волокна
|
РА-6
|
С1.3.1.01.01.02
|
Поликарбонатные волокна
|
РК
|
С1.2.2.01.02
|
Полиметиленоксидные волокна
|
PFD
|
С1.2.1.01.01.01
|
Полиоксадиазольные волокна
|
-
|
C1.4.2.01
|
Полиолефиновые волокна
|
PO
|
С1.1.1.01
|
Полипропиленовые волокна
|
РР
|
С1.1.1.01.01.01
|
Полистирольные волокна
|
PVB
|
С1.1.1.05.01.01
|
Полисульфоарамидные волокна
|
PAS
|
С1.3.1.02.01.02
|
Политетрафторэтиленовые волокна
|
PTF
|
С1.1.1.02.02.03
|
Поли-ω-ундеканамидные волокна
|
РА-11
|
С1.3.1.01.01.06
|
Полиуретановые волокна
|
PU
|
С1.4.1
|
Полицианилвинилиденовые волокна
|
PAVD
|
C1.1.1.04.01.02
|
Полиэнантоамидные волокна
|
РА-7
|
С1.3.1.01.01.05
|
Полиэтиленовые волокна
|
РТ
|
С1.1.1.01.01.02
|
Полиэтилентерефталатные волокна
|
РТЕ
|
С1.2.2.01.01.01
|
Полиэфирные простые волокна
|
-
|
С1.2.1
|
Полиэфирные простые алифатические волокна
|
-
|
С1.2.1.01
|
Полиэфирные сложные волокна
|
РЕ
|
С1.2.2
|
Полиэфирные сложные ароматические волокна
|
-
|
С1.2.2.01
|
Соевые волокна
|
BKC
|
С1.4.3.01.06
|
Стеклянные волокна
|
GL
|
С2.2.01
|
Триацетатные волокна
|
ТС
|
С1.2.3.01.02.02
|
Фиброиновые волокна
|
BKF
|
С1.4.3.01.04
|
Химические волокна
|
С
|
С
|
Целлюлозные волокна
|
CZ
|
С1.2.3.01
|
Шлаковые волокна
|
SL
|
C2.3.01
|
*Условные обозначения будут установлены или
скорректированы после согласования соответствующих обозначений в документе
ИСО/ТК 38/С18.
5.2. Условные обозначения химических
волокон по формам изготовления
Таблица 6
Термин
|
Условное обозначение
|
Индекс
|
Волокно
|
F
|
C3.2
|
Волос
|
Fb
|
C3.2.01
|
Жгут
|
К
|
C3.3
|
Жгутик
|
Kb
|
C3.3.02
|
Комплексная нить
|
SK
|
с3.1.03
|
Конверторная лента
|
в
|
C3.3.01
|
Леска
|
D
|
С3.1.06
|
Мононить
|
SM
|
C3.1.02
|
Нить
|
s
|
C3.1
|
Трощеная нить
|
ST
|
C3.1.04
|
Фибриллированная нить
|
SF
|
C3.1.05
|
Щетина
|
Bo
|
C3.1.07
|
Элементарная нить
|
f
|
С3.1.01
|
5.3. Условные обозначения химических волокон по назначению
Таблица 7
Термин
|
Условное обозначение
|
Индекс
|
Текстильные
|
ft
|
С4.1
|
Технические
|
gt
|
С4.2
|
Прочие
|
st
|
C4.3
|
5.4. Условные обозначения химических волокон по типам вы работки
Таблица 8
Тип
|
Условное обозначение
|
Индекс
|
Антистатичный
|
ast
|
C5.1
|
Бактерицидный
|
bс
|
C5.2
|
Белый
|
ws
|
C5.3
|
Блестящий
|
gl
|
С5.4
|
Воднообработанный
|
wa
|
C5.5
|
Высокомодульный в мокром состоянии
|
wm
|
C5.6
|
Высокообъемный
|
wo
|
C5.7
|
Высокопрочный
|
hf
|
C5.8
|
Высокопрочный в мокром состоянии
|
hnf
|
С5.9
|
Высокорастяжимый
|
wsr
|
С5.10
|
Высокоусадочный
|
wus
|
C5.11
|
Вытянутый
|
rw
|
C5.12
|
Вытянутый частично
|
tr
|
C5.13
|
Десульфированный
|
ds
|
С5.14
|
Джутовый
|
jt
|
С5.15
|
Жаростойкий
|
zs
|
C5.16
|
Извитый
|
kr
|
C5.17
|
Ковровый
|
tt
|
С5.18
|
Кордный
|
kt
|
C5.19
|
Крашеный
|
fb
|
С5.20
|
Крашенный в массе
|
sfb
|
C5.21
|
Круглый
|
rd
|
С5.22
|
Ленточный
|
ba
|
C5.23
|
Льняной
|
lt
|
С5.24
|
Малорастяжимый
|
mr
|
С5.25
|
Малоусадочный
|
mus
|
С5.26
|
Матированный
|
mt
|
С5.27
|
Меновой
|
pt
|
C5.28
|
Модифицированный
|
md
|
C5.29
|
Наполненный
|
na
|
C5.30
|
Невытянутый
|
ur
|
С5.31
|
Негорючий
|
ng
|
C5.32
|
Неизвитый
|
hkr
|
C5.33
|
Неокрашенный
|
nk
|
C5.34
|
Огнестойкий
|
ogs
|
C5.35
|
Оптически отбеленный
|
oa
|
С5.36
|
Отбеленный
|
bl
|
С5.37
|
Пиллингоустойчивый
|
pu
|
C5.38
|
Плоский
|
fl
|
C5.39
|
Пневмосоединенный
|
pms
|
C5.40
|
Подматированный
|
pm
|
C5.41
|
Подшлихтов энный
|
psl
|
C5.42
|
Полый
|
no
|
C5.43
|
Профилированный
|
pf
|
C5.44
|
Светостойкий
|
lb
|
C5.45
|
С колебанием по толщине
|
fs
|
C5.46
|
Соцолимеры
|
sp
|
С5.47
|
Среднерастяжимый
|
sr
|
C5.48
|
Текстурированный
|
te
|
C5.49
|
Термостабилизированный
|
ts
|
C5.50
|
Термостойкий
|
wb
|
C5.51
|
Усадочный
|
us
|
C5.52
|
Фиксированный
|
fx
|
C5.53
|
Хемосорбционный
|
hs
|
С5.54
|
Хлопковый
|
bt
|
C5.55
|
Шерстяной
|
wt
|
C5.56
|
Шлихтованный
|
sl
|
C5.57
|
Эластамерный
|
el
|
C5.58
|
1. Автор - Институт СЭВ по стандартизации.
2. Тема 36.200.02-77.
3. Стандарт СЭВ утвержден на 44-м заседании ПКС.
4. Сроки начала применения
стандарта СЭВ:
Страны
- члены СЭВ
|
Срок начала применения стандарта СЭВ в договорно-правовых отношениях
по экономическому и научно-техническому сотрудничеству
|
Срок начала применения стандарта СЭВ в народном хозяйстве
|
НРБ
|
Июнь
1981 г.
|
Декабрь
1981 г.
|
ВНР
|
Январь
1981 г.
|
Январь
1983 г.
|
ГДР
|
|
|
Республика
Куба
|
|
|
МНР
|
|
|
ПНР
|
Январь
1981 г.
|
Январь
1982 г.
|
СРР
|
|
|
СССР
|
Январь
1981 г.
|
Январь
1981 г.
|
ЧССР
|
|
|
5. Срок первой проверки - 1985
г., периодичность проверни - 10 лет.
6. Использованные
документы: ИСО 2-1973, ИСО 1139-1973, ИСО 2076-1973.