Unified system for technological documentation. Rules of making documents on technological processes (operations) collection and delivery of technological waste 

Информационная система
«Ёшкин Кот»

XXXecatmenu

ГОСТ 3.1603-91

МЕЖГОСУДАРСТВЕННЫЙ СТАНДАРТ

 

ЕДИНАЯ СИСТЕМА ТЕХНОЛОГИЧЕСКОЙ ДОКУМЕНТАЦИИ

ПРАВИЛА ОФОРМЛЕНИЯ ДОКУМЕНТОВ
НА ТЕХНОЛОГИЧЕСКИЕ ПРОЦЕССЫ
(ОПЕРАЦИИ) СБОРА И СДАЧИ
ТЕХНОЛОГИЧЕСКИХ ОТХОДОВ

 

 

 

 

КОМИТЕТ СТАНДАРТИЗАЦИИ И МЕТРОЛОГИИ СССР

Москва

 

 

 

МЕЖГОСУДАРСТВЕННЫЙ СТАНДАРТ

Единая система технологической документации

ПРАВИЛА ОФОРМЛЕНИЯ ДОКУМЕНТОВ НА ТЕХНОЛОГИЧЕСКИЕ
ПРОЦЕССЫ (ОПЕРАЦИИ)
СБОРА И СДАЧИ ТЕХНОЛОГИЧЕСКИХ
ОТХОДОВ

Unified system for technological documentation. Rules of making documents
on technological processes (operations) of collection and
delivery of technological waste

ГОСТ
3.1603-91

Дата введения 01.07.92

Настоящий стандарт устанавливает правила по оформлению технологических документов (далее - документов), применяемых при различных методах проектирования технологических процессов (операций) сбора и сдачи отходов производства и потребления, образовавшихся при производстве (ремонте) продукции машиностроения и приборостроения, пригодных для использования как внутри, так и вне предприятия (организации) - изготовителя или не пригодных для использования и предназначенных для захоронения или уничтожения. Требования настоящего стандарта являются рекомендуемыми.

1. ОБЩИЕ ПОЛОЖЕНИЯ

1.1. Сбор и сдача отходов производства и потребления (далее - сбор отходов), образовавшихся при производстве (ремонте) продукции, является неотъемлемой частью действий всех предприятий и организаций машиностроения и приборостроения.

1.2. Под сбором отходов следует понимать определенные действия исполнителей, регламентированные документами (комплектами документов) и обеспечивающие соблюдение соответствующих требований по охране труда и сохранению экологии окружающей среды, связанных с удалением отходов из мест образования и накопление их с целью последующего использования или уничтожения (захоронения).

1.3. Перед выполнением действий исполнителями по сбору отходов следует провести подготовительную работу, которая заключается в следующем:

классификации отходов;

разработке документов.

1.3.1. Классификацию отходов следует проводить на основе классификатора отходов (КОП), который может быть выполнен на отраслевом уровне или уровне предприятия (организации).

КОП должны комплексно отражать вопросы не только группирования отходов по специфическим признакам, но и отражать их вредность, влияние на экологию окружающей среды и безопасность труда исполнителей.

КОП также должны обеспечивать возможность группирования отходов, подлежащих для реализации населению через магазины, предназначенных для регенерации и т.п.

1.3.2. В целях четкой организации работ по сбору и сдаче отходов производства и потребления необходимо разрабатывать соответствующие документы в виде технологических процессов, типовых операций и технологических инструкций.

1.3.3. Указанные документы должны отражать последовательность выполняемых действий, применяемые средства технологического оснащения, данные по технологическим режимам, трудовым нормативам, а также содержать соответствующие требования и правила по охране труда исполнителей и влиянию на экологию окружающей среды.

1.3.4. Документы, относящиеся к непосредственной сдаче отходов производства и потребления (далее - отходов) и раскрывающие марку материала, массу (количество), данные по исполнителям (кто сдал; кто принял и т.п.), отношения к технологическим документам не имеют и данным стандартом не рассматриваются.

Состав и правила оформления таких документов определяются по усмотрению организаций и предприятий в соответствии с действующими положениями и инструкциями.

1.3.5. Информационная модель выполняемых этапов работ по сбору отходов приведена в приложении 1.

1.4. Общие требования по комплектности и оформлению: единичных технологических процессов (ЕТП) - по ГОСТ 3.1119;

типовых и групповых технологических процессов (ТТП, ГТП) или операций (ТО; ГО) - по ГОСТ 3.1121.

1.5. Общие требования к формам и бланкам документов - по ГОСТ 3.1129 и ГОСТ 3.1130.

1.6. Общие требования по отражению и оформлению требований безопасности труда в технологических документах - по ГОСТ 3.1120.

2. ПРАВИЛА ОФОРМЛЕНИЯ ДОКУМЕНТОВ НА ПРОЦЕССЫ И ОПЕРАЦИИ СБОРА ОТХОДОВ

2.1. Для выполнения действий, связанных со сбором отходов, следует применять следующие комплекты и виды документов:

комплекты документов на единичные технологические процессы (ЕТП);

комплекты документов на типовые (групповые) технологические процессы (ТТП, ГТП);

документы на типовые (групповые) технологические операции (ТО и ГО);

технологические инструкции (ТИ).

К составу указанных документов следует разрабатывать и соответствующие инструкции по охране труда (ИОТ) и охране экологии окружающей среды.

2.1.1. Комплектность и выбор документов в каждом случае устанавливает разработчик документов согласно принятой форме организации производства по сбору отходов.

2.1.2. Виды документов, рекомендуемые для описания действий, связанные со сбором отходов, их условные обозначения и указания по применению приведены в приложении 2.

2.2. В зависимости от применяемых действий по сбору и сдаче отходов их можно расклассифицировать условно по трем следующим категориям:

неопасные;

опасные;

особо опасные.

2.2.1. Указанные, выше уровни зависят от действий исполнителей, связанных с выполнением соответствующих процессов и операций, или же от состояния отходов на предмет выделения токсичных веществ, пожароопасности, взрывоопасности, радиоактивности и т.п.

2.2.2. Разработку соответствующих документов на неопасные технологические процессы и операции следует выполнять в соответствии с требованиями настоящего стандарта.

2.2.3. Разработку документов на опасные и особо опасные технологические процессы и операции следует выполнять в соответствии с требованиями настоящего стандарта и действующих соответствующих инструкций и других НТД, находящихся на предприятии (в организации) или в отрасли.

2.3. Заполнение граф основной надписи следует выполнять по ГОСТ 3.1103 с учетом следующих дополнений, приведенных в табл. 1.

2.4. При разработке ТТП (ГТП) и ТО (ГО) данные по отходам (при невозможности их записи в графе 2 и в основных надписях по ГОСТ 3.1103) следует указывать после заполнения основной надписи документа (расположенной в верхней части документа) с «привязкой» к служебному символу «М», с указанием соответствующих наименований и их классификационных обозначений по КОП или НТД предприятия (организации), отрасли. В этом случае в графе 2 и 6 следует проставить символ - *.

Таблица 1

Обозначение граф по ГОСТ 3.1103

Заполнение граф при разработке ЕТП и ТТП (ГТП) или ТО (ГО)

2

При разработке ЕТП обозначение отхода в соответствии с КОП или других НТД предприятия (организации) или отрасли. При разработке ТТП (ГТП) или ТО (ГО) обозначение группы технологических отходов в соответствии с КОП или других НТД предприятия (организации) или отрасли. Допускается графу не заполнять

3

Графа заполнению не подлежит и в ней необходимо сделать прочерк, длиной 3 - 4 мм в середине графы

4

Обозначение технологического документа (комплекта документов) по ГОСТ 3.1201 (табл. 1 и 2).

При выборе кода вида технологического метода (предусмотренного табл. 3) следует применять соответствующий код по Классификатору технологических операций машиностроения и приборостроения (КТО):

для сбора технологических отходов - 0121;

для сдачи технологических отходов - 0122.

При условии разработки одного комплексного комплекта документа на процесс сбора и сдачи отходов этому документу следует присваивать общий код как для сбора технологических отходов, например АБВГ. 022021.00015.

5

Наименование процесса или операции, например «Сбор отходов смесей от изготовления стержней», «Сбор и сдача магниевой стружки» или «Прессование стружки»; «Засыпка отходов смесей» и т.п.

Примечание. В связи с отсутствием типовых правил по записи наименований операций сбора и сдачи отходов разработчик документов должен использовать имеющиеся наименования операций из КТО, с добавлением при необходимости соответствующей информации, комплексно раскрывающей выполняемые действия

2.4.1. В целях выделения групп технологических отходов допускается в начале строки (перед записью наименований) указывать арабскими цифрами их позиции, например:

* 1. Стружка латунная ХХХХХХ.ХХХХ.

2. Стружка бронзовая ХХХХХХ.ХХХХ.

3. Стружка алюминиевая ХХХХХХ.ХХХХ.

2.4.2. При применении форм МК по ГОСТ 3.1118 графы 33; 4; 6; 34 и 7 допускается не заполнять.

2.4.3. При применении ведомостей деталей (сборочных единиц) к типовому (групповому) технологическому процессу или к типовой (групповой) операции (МК/ВТП; МК/ВТО) для указания переменной информации к ТТП (ГТП) и ТО (ГО) необходимые данные по отходам следует записывать также перед указанием переменной информации вначале по одному виду отходов, а затем - по второму и т.д. в последовательности выполняемых операций.

2.4.4. При применении карты технологического процесса (КТО) указание соответствующих данных по отходам следует выполнять в графах основной надписи в соответствии с требованиями п. 2.3 настоящего стандарта.

2.5. Общие технологические требования к технологическому процессу (операции) следует указывать перед описанием операций (операции).

К указанным требованиям также следует отнести требования по охране труда, пожарной безопасности и т.п. при условии их неотражения в соответствующих инструкциях. В противоположном случае ссылки на обозначения действующих инструкций следует выполнять к каждой операции всего технологического процесса.

2.6. Запись наименований операций следует выполнять в соответствии с Классификатором технологических операций машиностроения и приборостроения 1 85 151, а запись переходов - с Классификатором технологических переходов машиностроения и приборостроения 1 89 187.

2.7. При применении специальных видов оборудования описание действий, связанных с их наладкой и эксплуатацией, следует выполнять в отдельных ТИ или в документах, где описывается весь процесс, перед содержанием соответствующей операции, в которой применяется указанное оборудование.

Допускается применять ТИ для разработки технологических процессов. С целью нормирования труда исполнителей, участвующих в сборе и сдаче отходов в состав ТИ следует включать МК формы 2 и 16 или 4 и 36 по ГОСТ 3.1118. Указанные формы документов должны располагаться после титульного листа (ТЛ) ТИ.

2.8. При внесении информации в соответствующие графы по трудозатратам допускается незаполнение отдельных граф.

2.9. Указание данных по технологическим режимам, связанных с применением соответствующих видов оборудования, следует проставлять в конце текста содержания перехода или с новой строки, после текста содержания перехода, с привязкой к служебному символу «Р» (при условии применения форм МК) с обязательным указанием условных обозначений данных по режимам и вносимых в них соответствующих им параметров, например:

1. Брикетировать стружку, выдерживая Р = 2 кг/см2, Vпрес = 2 брикета/мин.

2.10. Подписание и согласование документов на процессы и операции сбора и сдачи отходов следует выполнять в соответствии с действующими процедурами и утвержденными НТД предприятия (организации) отрасли.

2.11. Термины, используемые в настоящем стандарте, их пояснения - по ГОСТ 25916.

2.12. Примеры оформления документов даны в приложениях 3 - 5.



ПРИЛОЖЕНИЕ 2

Рекомендуемое

ВИДЫ ДОКУМЕНТОВ, РЕКОМЕНДУЕМЫЕ ДЛЯ ОПИСАНИЯ ДЕЙСТВИЙ, СВЯЗАННЫХ СО СБОРОМ ОТХОДОВ

Таблица 2

Наименование вида документа и обозначение формы документа

Условное обозначение вида документа, функции которого выполняет документ

Указания по применению

Маршрутная карта по ГОСТ 3.1118 формы 2, 1б, 4, 3б, 5 и 5а (МК)

ктп

Для описания операций сбора, сдачи отходов в технологической последовательности выполняемых действий

То же

кттп

Для описания постоянной (общей) части информации в операциях сбора и сдачи отходов в технологической последовательности выполняемых действий при разработке документов типового (группового) технологического процесса (ТТП, ГТП)

»

втп

Для указания переменной информации, относящейся к технологическим отходам, собираемым по ТТП или ГТП в последовательности их включения в документ

«

ок

Для описания операций сбора и сдачи отходов с указанием режимов

»

кто

Для описания типовой или групповой операции (ТО, ГО) с указанием постоянной информации

»

ВТО

Для указания переменной информации по отходам, собираемым по ТО или ГО

»

кти

Для указания переменной информации по одному отходу, собираемому по ТТП или ГТП

Карта типового технологического процесса по ГОСТ 3.1121 формы 1 и 1а

кттп

Для описания операций сбора и сдачи отходов в технологической последовательности выполняемых операций при разработке документов типового технологического процесса (ТТП)

Технологическая инструкция по ГОСТ 3.1105 формы 5 и 5а

ти

Для описания процессов сбора и сдачи отходов, а также указания типовых правил по наладке (настройке) средств технологического оснащения

Карта эскизов по ГОСТ 3.1105 формы 6 и 6а; 7 и 7а; 8 и 8а

кэ

Для указания графических иллюстраций к процессу, операции или к документу

Примечания:

1. Применение документов других видов по ГОСТ 3.1102 устанавливается предприятием (организацией).

2. При применении форм МК, выполняющих функции других видов документов, их следует оформлять в соответствии с правилами, предусмотренными соответствующими стандартами ЕСТД, приведенными в таблице. При этом в графе 28 блока Б6 основной надписи по ГОСТ 3.1103 следует проставлять через дробь условное обозначение соответствующего вида документа, функции которого выполняет МК, например: МК/КТТП; МК/КТП; МК/ОК и т.д.



ПРИЛОЖЕНИЕ 4

Рекомендуемое

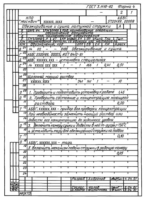
ПРИМЕР ОФОРМЛЕНИЯ МК/КТО

ПРИЛОЖЕНИЕ 5

Рекомендуемое

ПРИМЕР ОФОРМЛЕНИЯ ТИ

ИНФОРМАЦИОННЫЕ ДАННЫЕ

1. РАЗРАБОТАН И ВНЕСЕН Государственным комитетом СССР по управлению качеством продукции и стандартам

2. УТВЕРЖДЕН И ВВЕДЕН В ДЕЙСТВИЕ Постановлением Комитета стандартизации и метрологии СССР от 06.09.91 № 1428

3. ВВЕДЕН ВПЕРВЫЕ

4. ССЫЛОЧНЫЕ НОРМАТИВНО-ТЕХНИЧЕСКИЕ ДОКУМЕНТЫ

Обозначение НТД, на который дана ссылки

Номер пункта, приложения

ГОСТ 3.1102-81

Приложение 2

ГОСТ 3.1103-82

2.3, 2.4, приложение 2

ГОСТ 3.1105-84

Приложения 2, 5

ГОСТ 3.1118-82

2.4, 2, 2.7, приложения 2, 3, 4

ГОСТ 3.1119-83

1.4

ГОСТ 3.1120-83

1.6

ГОСТ 3.1121-84

1.4, приложение 2

ГОСТ 3.1129-93

1.5

ГОСТ 3.1130-93

1.5

ГОСТ 3.1201-85

2.3

ГОСТ 25916-83

2.11

Классификатор 1 85 151

2.6

Классификатор 1 89 187

2.6

5. ПЕРЕИЗДАНИЕ. Апрель 2003 г.

СОДЕРЖАНИЕ

 

 



© 2013 Ёшкин Кот :-)