| ||||||||||||||||||||||||
Скачать Книга 65: Оборудование, устройства и аппаратура для водоснабжения и канализации. Федеральные сметные цены на материалы изделия, конструкции и оборудование, применяемые в строительстве. Федеральный сборник сметных цен на материалы, изделия и конструкции, применяемые в строительствеДата актуализации: 10.08.2017 |
| Статус: | действует |
| Название рус.: | Книга 65: Оборудование, устройства и аппаратура для водоснабжения и канализации. Федеральные сметные цены на материалы изделия, конструкции и оборудование, применяемые в строительстве. Федеральный сборник сметных цен на материалы, изделия и конструкции, применяемые в строительстве |
| Дата добавления в базу: | 05.05.2017 |
| Дата актуализации: | 05.05.2017 |
| Дата введения: | 28.04.2017 |
| Область применения: | Государственные сметные нормативы "Федеральные сметные цены на материалы, изделия, конструкции и оборудование, применяемые в строительстве" предназначены для определения сметной стоимости строительства, реконструкции и капитального ремонта объектов капитального строительства. |
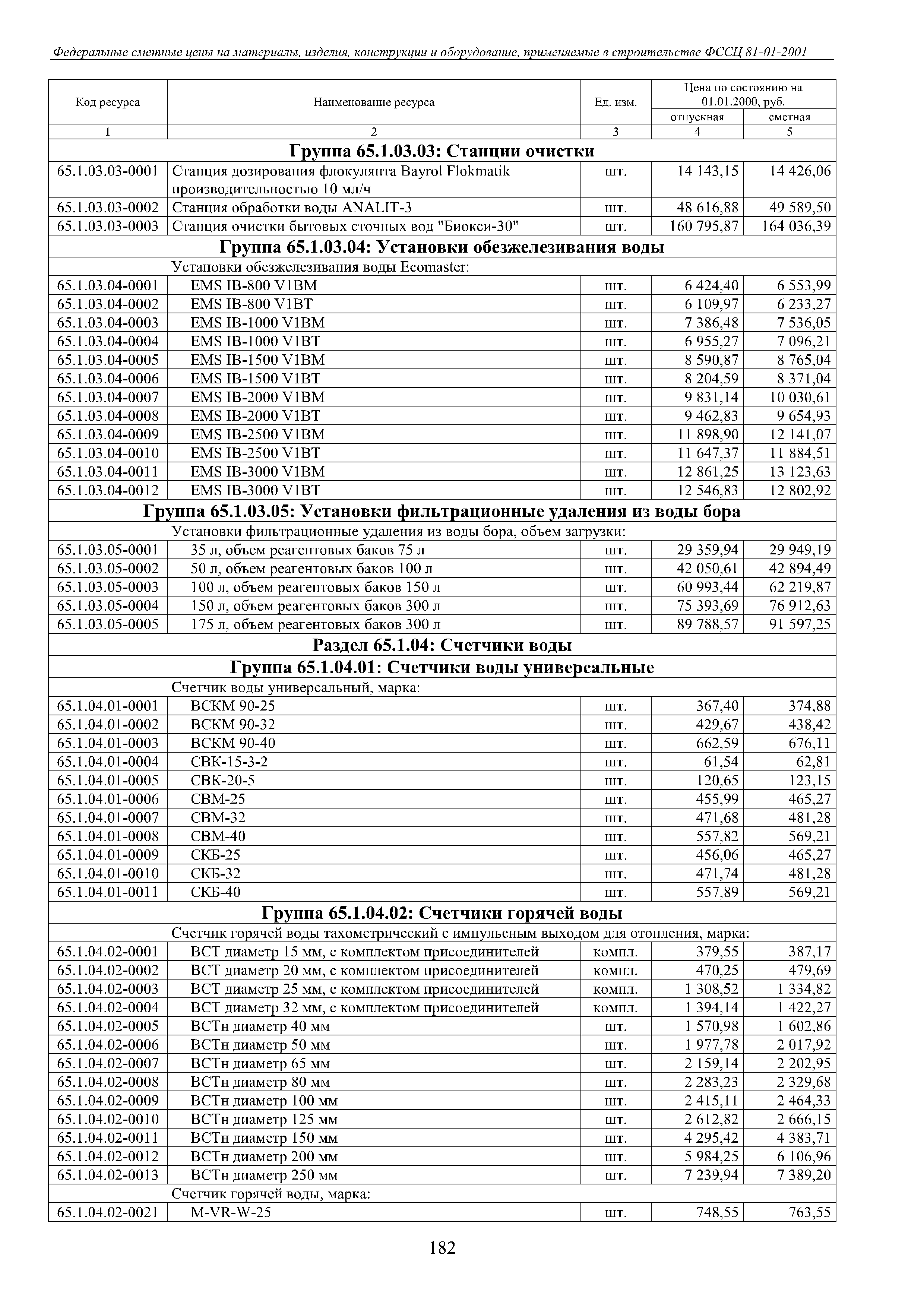
| Оглавление: | Часть 65.1: Приборы и установки Раздел 65.1.0 1: Водомеры (счетчики) Раздел 65.1.02: Приборы управления Раздел 65.1.03: Сооружения и установки очистные Раздел 65.1.04: Счетчики воды |
| Утверждён: | 30.12.2016 Минстрой России (Russian Federation Minstroy 1039/пр) |
| Расположен в: | |
| Нормативные ссылки: |





