| ||||||||||||||||||||||||
Скачать Книга 25: Материалы для строительства железных дорог. Федеральные сметные цены на материалы изделия, конструкции и оборудование, применяемые в строительстве. Федеральный сборник сметных цен на материалы, изделия и конструкции, применяемые в строительствеДата актуализации: 10.08.2017 |
| Статус: | действует |
| Название рус.: | Книга 25: Материалы для строительства железных дорог. Федеральные сметные цены на материалы изделия, конструкции и оборудование, применяемые в строительстве. Федеральный сборник сметных цен на материалы, изделия и конструкции, применяемые в строительстве |
| Дата добавления в базу: | 05.05.2017 |
| Дата актуализации: | 05.05.2017 |
| Дата введения: | 28.04.2017 |
| Область применения: | Государственные сметные нормативы "Федеральные сметные цены на материалы, изделия, конструкции и оборудование, применяемые в строительстве" предназначены для определения сметной стоимости строительства, реконструкции и капитального ремонта объектов капитального строительства. |
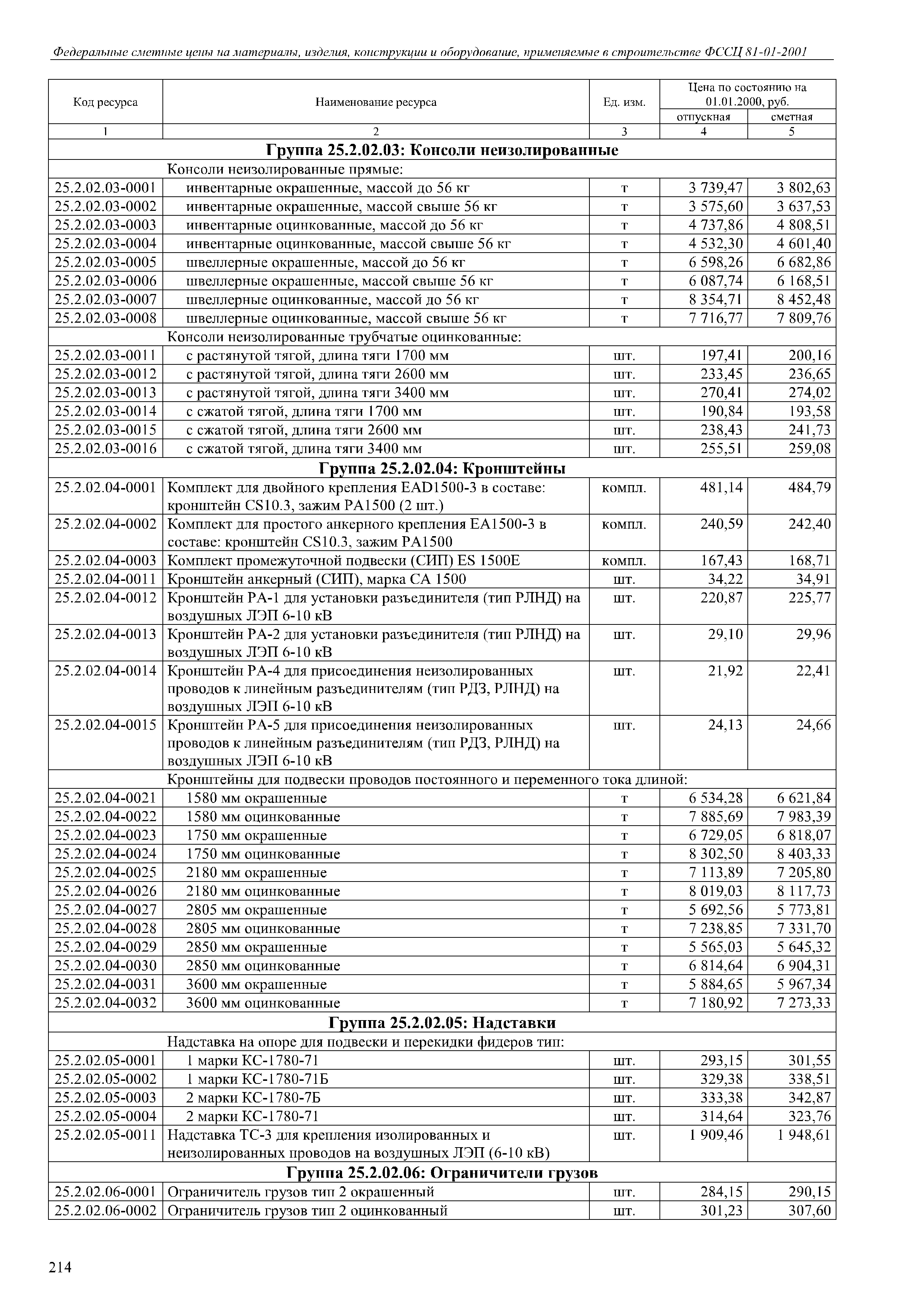
| Оглавление: | Часть 25.1: Материалы верхнего строения пути железных дорог Раздел 25.1.01: Изделия деревянные для железных дорог Раздел 25.1.02: Изделия железобетонные для железных дорог Раздел 25.1.03: Изделия крепежные нерезьбовые для крепления конструкционных элементов железнодорожного пути из черных металлов Раздел 25.1.04: Изделия крепежные резьбовые для крепления конструкционных элементов железнодорожного пути из черных металлов Раздел 25.1.05: Профили рельсовые для железных дорог стальные Раздел 25.1.06: Устройства путевые и их комплектующие (запасные части), не имеющие самостоятельных группировок Часть 25.2: Материалы и изделия для сигнализаций, централизации, автоблокировки и электрификации железных дорог Раздел 25.2.01: Арматура контактных сетей Раздел 25.2.02: Конструкции и детали контактной сети железных дорог стальные |
| Утверждён: | 30.12.2016 Минстрой России (Russian Federation Minstroy 1039/пр) |
| Расположен в: | |
| Нормативные ссылки: |

























