| ||||||||||||||||||||||||||||
Скачать ФЕРм 81-03-35-2001 Сборник 35. Оборудование сельскохозяйственных производств (редакция 2017 г.). Оборудование сельскохозяйственных производств. Федеральные единичные расценки на монтаж оборудованияДата актуализации: 10.08.2017
|
| Обозначение: | ФЕРм 81-03-35-2001 |
| Обозначение англ: | FERm 81-03-35-2001 |
| Статус: | действует |
| Название рус.: | Сборник 35. Оборудование сельскохозяйственных производств (редакция 2017 г.). Оборудование сельскохозяйственных производств. Федеральные единичные расценки на монтаж оборудования |
| Дата добавления в базу: | 05.05.2017 |
| Дата актуализации: | 05.05.2017 |
| Дата введения: | 28.04.2017 |
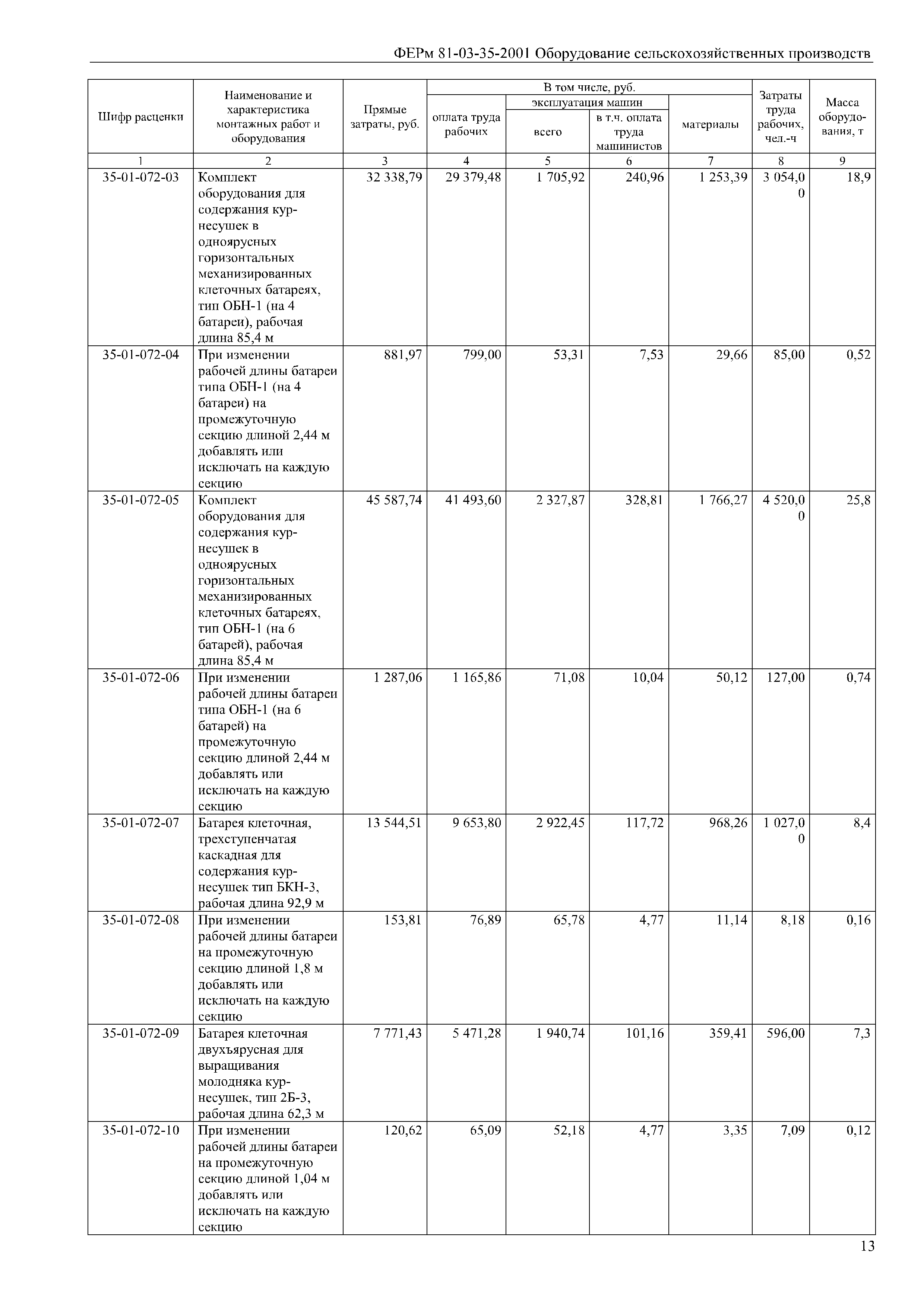
| Область применения: | Сборник предназначен для определения затрат на монтаж оборудования сельскохозяйственных производств, а также машин и оборудования мелиоративных и водохозяйственных объектов. |
| Оглавление: | Отдел 1. Оборудование сельскохозяйственных производств Раздел 1. Оборудование ферм для содержания крупного рогатого скота Раздел 2. Оборудование ферм для содержания свиней Раздел 3. Оборудование кормоцехов Раздел 4. Оборудование ферм для содержания птиц Раздел 5. Оборудование пунктов для стрижки овец Раздел 6. Оборудование водоподъемное Раздел 7. Оборудование ферм для содержания кроликов Отдел 2. Машины и оборудование мелиоративных и водохозяйственных объектов Раздел 1. Дождевальные машины фронтального действия Раздел 2. Дождевальные машины кругового действия Раздел 3. Дождевальные агрегаты, комплекты, шлейфы Раздел 4. Мелиоративное оборудование Приложения |
| Утверждён: | 30.12.2016 Минстрой России (Russian Federation Minstroy 1039/пр) |
| Расположен в: | |
| Заменяет собой: |

















