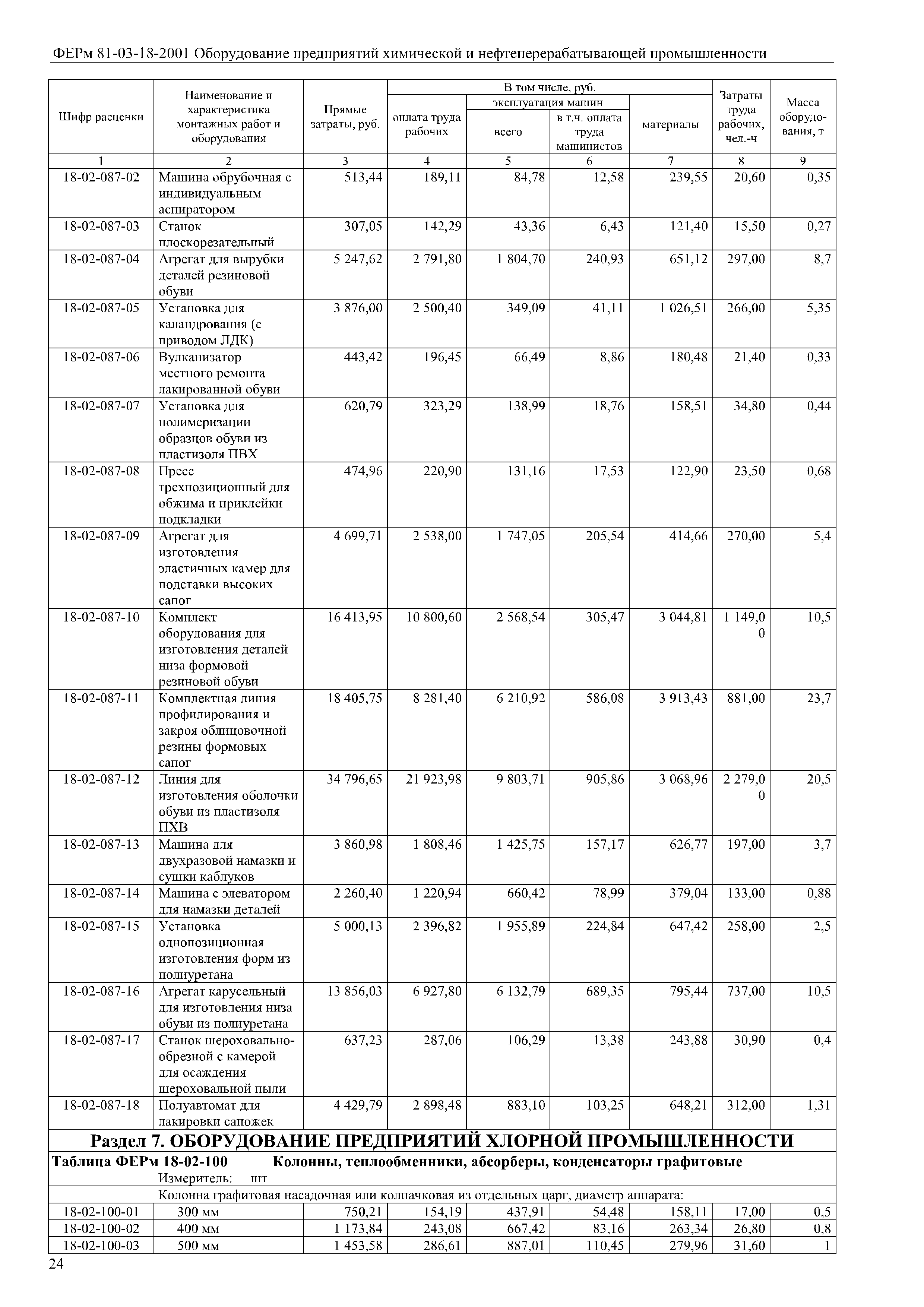
| ||||||||||||||||||||||||||||
Скачать ФЕРм 81-03-18-2001 Сборник 18. Оборудование предприятий химической и нефтеперерабатывающей промышленности (редакция 2017 г.). Оборудование предприятий химической и нефтеперерабатывающей промышленности. Федеральные единичные расценки на монтаж оборудованияДата актуализации: 10.08.2017
|
| Обозначение: | ФЕРм 81-03-18-2001 |
| Обозначение англ: | FERm 81-03-18-2001 |
| Статус: | действует |
| Название рус.: | Сборник 18. Оборудование предприятий химической и нефтеперерабатывающей промышленности (редакция 2017 г.). Оборудование предприятий химической и нефтеперерабатывающей промышленности. Федеральные единичные расценки на монтаж оборудования |
| Дата добавления в базу: | 05.05.2017 |
| Дата актуализации: | 05.05.2017 |
| Дата введения: | 28.04.2017 |
| Область применения: | Сборник предназначен для определения затрат на выполнение комплекса монтажных работ, определенного на основе соответствующих технических условий или инструкций на монтаж оборудования |
| Оглавление: | Отдел 1. Оборудование общего назначения Раздел 1. Оборудование поступающее в собранном виде Раздел 2. Оборудование, поступающее укрупненными блоками Раздел 3. Насадки Раздел 4. Разные работы Раздел 5. Воздухоохладители аммиачные и рассольные, постаментные и навесные Раздел 6. Стеклянная аппаратура Отдел 2. Оборудование отдельных производств химической промышленности Раздел 1. Оборудование предприятий азотной промышленности и продуктов органического синтеза Раздел 2. Оборудование производства аммиака Раздел 3. Оборудование предприятии по производству кислот, солеи и минеральных удобрений Раздел 4. Оборудование предприятии содовой промышленности Раздел 5. Оборудование предприятии промышленности синтетического каучука и синтетического спирта Раздел 6. Оборудование предприятии резиновой промышленности Раздел 7. Оборудование предприятии хлорной промышленности Раздел 8. Оборудование предприятий промышленности пластических масс Раздел 9. Оборудование предприятий лакокрасочной промышленности Раздел 10. Оборудование предприятии горно-химической промышленности Отдел 3. Оборудование предприятии кислородной промышленности Раздел 1. Оборудование предприятий кислородной промышленности Раздел 2. Оборудование криогенных установок Раздел 3. Оборудование для производства аргона Раздел 4. Оборудование ацетиленовых установок Отдел 4. Оборудование химических цехов коксохимических заводов Отдел 5. Оборудование лесохимической промышленности Отдел 6. Оборудование для производства химических волокон Отдел 7. Оборудование предприятии микробиологической промышленности Раздел 1. Оборудование предприятий белкововитаминных концентратов, лизина и ферментов Отдел 8. Оборудование химико-фотографической промышленности Отдел 9. Оборудование автоматического химического пожаротушения Приложения |
| Утверждён: | 30.12.2016 Минстрой России (Russian Federation Minstroy 1039/пр) |
| Расположен в: | |
| Заменяет собой: |






































