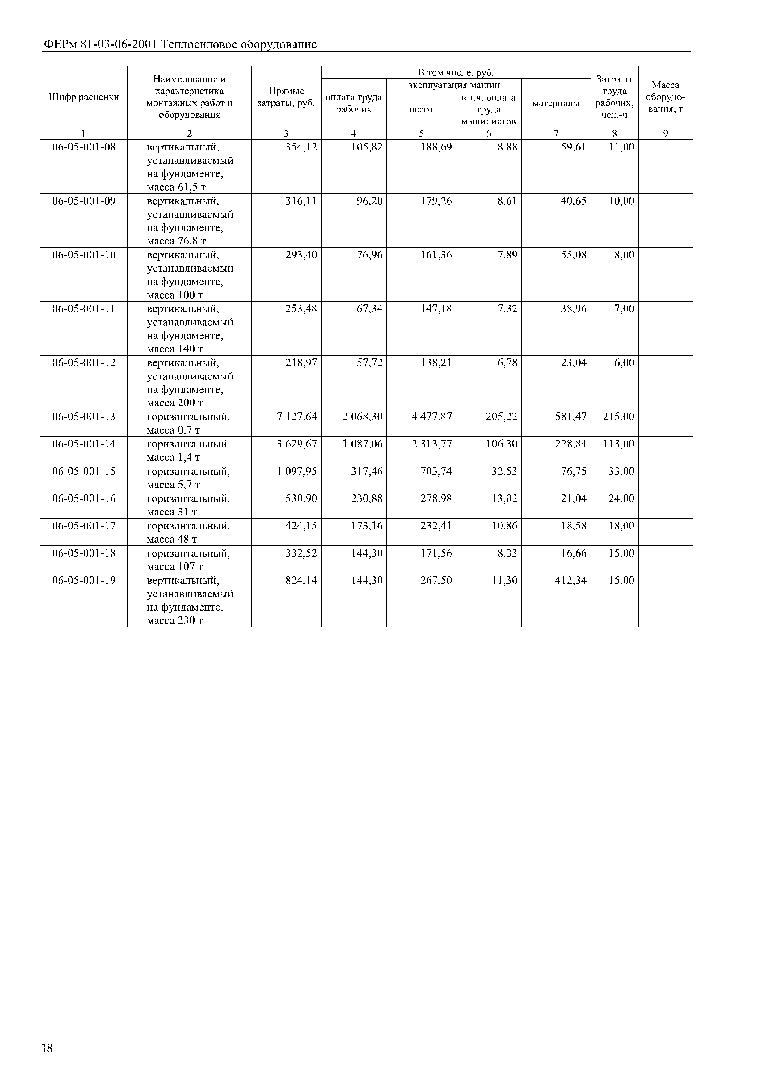
| ||||||||||||||||||||||||||||
Скачать ФЕРм 81-03-06-2001 Сборник 6. Теплосиловое оборудование (редакция 2017 г.). Теплосиловое оборудование. Федеральные единичные расценки на монтаж оборудованияДата актуализации: 10.08.2017
|
| Обозначение: | ФЕРм 81-03-06-2001 |
| Обозначение англ: | FERm 81-03-06-2001 |
| Статус: | действует |
| Название рус.: | Сборник 6. Теплосиловое оборудование (редакция 2017 г.). Теплосиловое оборудование. Федеральные единичные расценки на монтаж оборудования |
| Дата добавления в базу: | 05.05.2017 |
| Дата актуализации: | 05.05.2017 |
| Дата введения: | 28.04.2017 |
| Область применения: | Сборник предназначен для определения затрат на монтаж паровых и водогрейных стационарных котлов, котельно-вспомогательного оборудования, оборудования водоподготовки, паро- и газотурбинных агрегатов, турбинно-вспомогательного оборудования тепловых электрических станций, промышленных и отопительных котельных. |
| Оглавление: | Отдел 1. Паровые и водогрейные стационарные котлы Раздел 1. Элементы паровых стационарных котлов Раздел 2. Котлы паровые автоматизированные Раздел 3. Элементы водогрейных котлов Отдел 2. Котельно-вспомогательное оборудование Раздел 1. Топочные устройства Раздел 2. Оборудование пылеприготовления Отдел 3. Оборудование водоподготовки Раздел 1. Аппаратура для химической очистки воды Раздел 2. Аппаратура для термической обработки воды Раздел 3. Станционные баки Раздел 4. Установки для преобразования пара Отдел 4. Агрегаты паротурбинные и газотурбинные Раздел 1. Турбины паровые стационарные и установки газотурбинные стационарные Раздел 2. Конденсаторы Раздел 3. Турбогенераторы Отдел 5. Турбинное вспомогательное оборудование Приложения |
| Утверждён: | 30.12.2016 Минстрой России (Russian Federation Minstroy 1039/пр) |
| Расположен в: | |
| Заменяет собой: |
















































