| ||||||||||||||||||||||||||||
Скачать ФЕР 81-02-02-2001 Сборник 2. Горновскрышные работы (редакция 2017 г.). Горновскрышные работы. Федеральные единичные расценки на строительные работыДата актуализации: 10.08.2017
|
| Обозначение: | ФЕР 81-02-02-2001 |
| Обозначение англ: | FER 81-02-02-2001 |
| Статус: | действует |
| Название рус.: | Сборник 2. Горновскрышные работы (редакция 2017 г.). Горновскрышные работы. Федеральные единичные расценки на строительные работы |
| Дата добавления в базу: | 05.05.2017 |
| Дата актуализации: | 05.05.2017 |
| Дата введения: | 28.04.2017 |
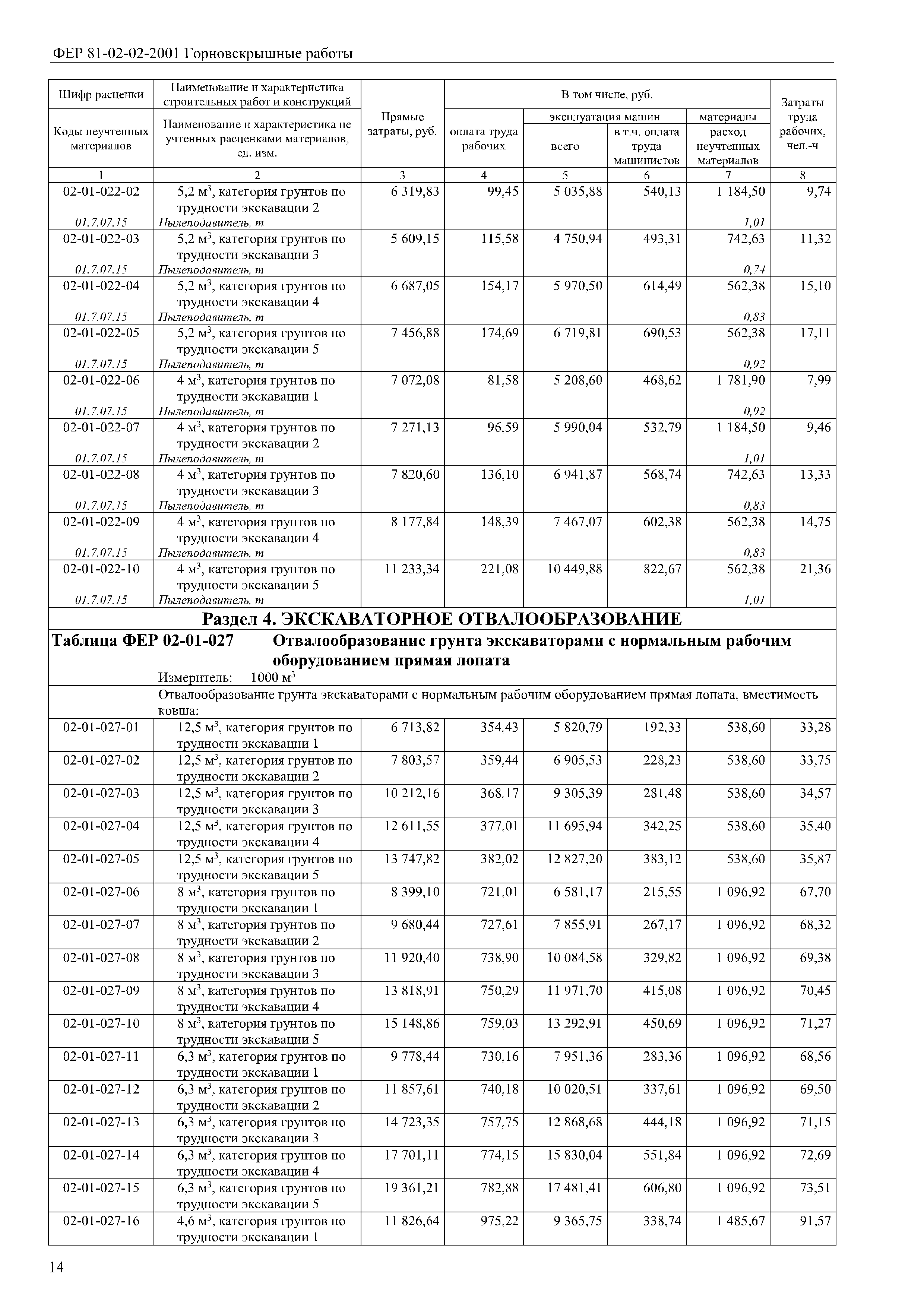
| Область применения: | В сборнике содержатся ФЕР на выполнение горно-вскрышных работ, осуществляемых при строительстве разрезов по добыче угля и сланца, карьеров по разработке руд черных и цветных металлов, химического сырья и нерудных строительных материалов, а также при реконструкции действующих разрезов (карьеров) или вскрытии нижних горизонтов, в том числе сооружение железнодорожных путей и автомобильных дорог в пределах забоя и на отвале. |
| Оглавление: | I. Общие положения II. Исчисление объемов работ III. Федеральные единичные расценки на строительные и специальные строительные работы Отдел 1. Разработка грунта одноковшовыми экскаваторами Раздел 1. Разработка грунта экскаваторами с укладкой на борт траншеи или в выработанное пространство Раздел 2. Разработка и погрузка грунта экскаваторами в железнодорожный транспорт Раздел 3. Разработка и погрузка грунта экскаваторами в автомобили-самосвалы Раздел 4. Экскаваторное отвалообразование Раздел 5. Бульдозерное отвалообразование Отдел 2. Разработка грунта скреперами IV. Приложения |
| Утверждён: | 30.12.2016 Минстрой России (Russian Federation Minstroy 1039/пр) |
| Расположен в: | |
| Заменяет собой: |






















