Скачать НД 2-090601-005 Правила по нефтегазовому оборудованию морских плавучих нефтегазодобывающих комплексов, плавучих буровых установок и морских стационарных платформДата актуализации: 10.08.2017 НД 2-090601-005
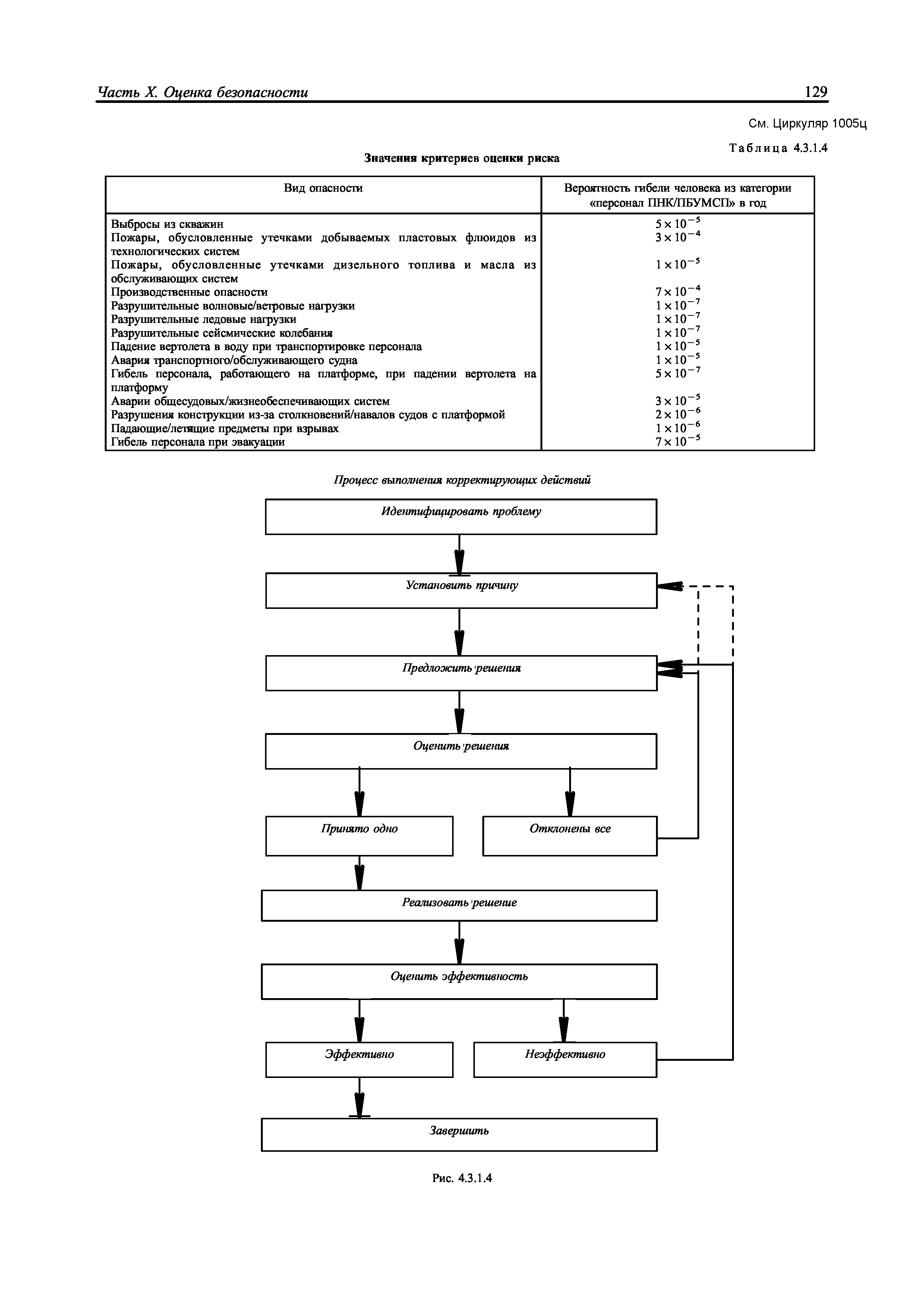
Правила по нефтегазовому оборудованию морских плавучих нефтегазодобывающих комплексов, плавучих буровых установок и морских стационарных платформОбозначение: | НД 2-090601-005 | Обозначение англ: | ND 2-090601-005 | Статус: | действует | Название рус.: | Правила по нефтегазовому оборудованию морских плавучих нефтегазодобывающих комплексов, плавучих буровых установок и морских стационарных платформ | Дата добавления в базу: | 01.02.2017 | Дата актуализации: | 05.05.2017 | Дата введения: | 01.01.2017 | Область применения: | В документе откорректированы, конкретизированы и дополнены требования к нефтегазовому оборудованию морских плавучих нефтегазодобывающих комплексов, плавучих буровых установок и морских стационарных платформ на основе национальных и международных нормативно-технических документов, вступивших в силу к моменту издания Правил НГО | Оглавление: | Часть 1. Общие положения по техническому наблюдению 1 Определения и сокращения 1.1 Термины и определения 1.2 Сокращения 2 Область распространения 2.1 Общие положения 2.2 Требования национальных надзорных органов 3 Техническое наблюдение 3.1 Общие требования 3.2 Услуги, оказываемые при техническом наблюдении 4 Заявки и договоры о техническом наблюдении 5 Техническая документация 5.1 Общие требования 5.2 Техническая документация нефтегазового оборудования ПНК/ПБУ/МСП 6 Классификация и словесная характеристика в символе класса ПНК/ПБУ/МСП 7 Номенклатура объектов технического наблюдения Регистра за нефтегазовым оборудованием 8 Техническое наблюдение при изготовлении материалов и изделий на предприятиях 8.1 Общие положения 8.2 Одобрение типовых материалов, изделий и технологических процессов 8.3 Признание предприятий (изготовителей) 8.4 Признание лабораторий 9 Техническое наблюдение за нефтегазовым оборудованием при постройке ПНК/ПБУ/МСП 9.1 Общие положения 9.2 Требования к испытаниям 9.3 Документы, оформляемые по результатам технического наблюдения 10 Техническое наблюдение за нефтегазовым оборудованием в эксплуатации 10.1 Общие положения 10.2 Виды и периодичность освидетельствований 11 Общие требования к проектированию нефтегазового оборудования ПНК/ПБУ/МСП 12 Общие требования к блочно-модульному оборудованию Часть II Системы и оборудование бурового комплекса 1 Общие положения 1.1 Область распространения 1.2 Общие требования 1.3 Условия эксплуатации 1.4 Требования к размещению оборудования 2 Требования к оборудованию и системам бурового комплекса 2.1 Буровая вышка и ее оборудование 2.2 Подвышечное основание 2.3 Система управления процессом бурения. 2.4 Оборудование для спуско-подъемных операций 2.5 Системы натяжения колонн райзеров и компенсация перемещений 2.6 Механизмы для вращения колонны бурильных труб 2.7 Система приема, хранения и подачи сыпучих материалов 2.8 Система бурового раствора 2.9 Циркуляционная система 2.10 Противовыбросовое оборудование. Система контроля и управления скважиной 2.11 Буровые райзеры 2.12 Оборудование и система манипулирования трубами 2.13 Вспомогательные системы и оборудование Часть III. Системы для добычи, подготовки, сбора и отгрузки продукции 1 Общие положения 1.1 Область распространения 1.2 Общие требования 1.3 Требования к размещению оборудования 2 Требования к системам комплекса добычи, подготовки, сбора и отгрузки продукции 2.1 Система сбора скважинной продукции 2.2 Система контроля и управления добычными скважинами 2.3 Система добычных райзеров 2.4 Система подготовки продукции скважин 2.5 Факельная система и система отвода газов 2.6 Системы сброса давления и отвода газов 2.7 Система подготовки, сбора и утилизации отходов производства, в том числе и попутно добываемых вод 2.8 Система осушки газа 2.9 Система компримирования газа 2.10 Системы нагнетания воды, газа и система газлифта 2.11 Система хранения продукции 2.12 Система отгрузки продукции 2.13 Система технологического нагрева и охлаждения Часть IV. Механические установки и механизмы 1 Общие положения 1.1 Область распространения 1.2 Объем технического наблюдения 2 Требования к механическим установкам и механизмам 2.1 Общие требования 2.2 Перекачивающие агрегаты 2.3 Буровые лебедки 2.4 Буровой ротор 2.5 Силовой верхний привод 2.6 Гидросистемы и гидроприводы Часть V. Системы и трубопроводы 1 Общие положения 1.1 Область распространения 1.2 Объем технического наблюдения 1.3 Защита и изоляция трубопроводов 2 Общие требования к системам и трубопроводам 2.1 Требования к проектированию трубопроводных систем 2.2 Металлические трубопроводы 2.3 Механические и гибкие соединения, компенсаторы и шланги 2.4 Арматура 2.5 Прокладка трубопроводов 2.6 Освидетельствование систем трубопроводов при постройке ПНК/ПБУ/МСП 2.7 Освидетельствование систем трубопроводов ПНК/ПБУ/МСП в эксплуатации 3 Требования к системам и трубопроводам специального назначения 3.1 Система сбора скважинной продукции 3.2 Системы подготовки продукции 3.3 Система отвода газов 3.4 Системы отгрузки продукции Часть VI. Грузоподъемные устройства 1 Общие положения 1.1 Область распространения 1.2 Общие положения 2 Требования к грузовым кранам специального назначения 3 Требования к грузоподъёмным устройствам специального назначения 3.1 Талевая система 3.2 Крюкоблок и вертлюги 3.3 Лебедки Часть VII. Теплообменные аппараты и сосуды под давлением 1 Область распространения 2 Общие положения 3 Общие требования к теплообменным аппаратам и сосудам под давлением. 3.1 Материалы 3.2 Освидетельствование теплообменных аппаратов и сосудов под давлением при их изготовлении 3.3 Освидетельствование теплообменных аппаратов и сосудов под давлением при постройке ПНК/ПБУ/МСП 3.4 Освидетельствование теплообменных аппаратов и сосудов под давлением ПНК/ПБУ/МСП в эксплуатации Часть VIII. Материалы и сварка 1 Общие положения 1.1 Область распространения 1.2 Общие требования 2 Требования к материалам и сварке для нефтегазового оборудования 2.1 Требования к материалам, контактирующим с коррозионно-агрессивными средами. . . 2.2 Требования к контролю материалов и изделий 2.3 Требования к материалам систем трубопроводов 2.4 Требования к материалам теплообменных аппаратов и сосудов под давлением Часть IX. Специальные требования к обеспечению взрывопожаробезопасности 1 Электрическое оборудование 1.1 Общие положения 1.2 Взрывоопасные зоны ПНК/ПБУ/МСП 1.3 Классификация взрывозащищенного оборудования 1.4 Расположение механизмов и электрооборудования в производственных помещениях 1.5 Молниезащита и защита от статического электричества 1.6 Зануление и защитное заземление 2 Автоматизация 2.1 Общие положения 2.2 Объем технического наблюдения 2.3 Автоматизированная система контроля, управления и аварийной защиты 2.4 Контрольно-измерительные приборы и средства автоматизации 2.5 Автоматическая система противоаварийной защиты (ПАЗ) 2.6 Частичные отключения технологических процессов 2.7 Полное отключение технологического оборудования и всех производственных процессов 2.8 Рекомендованная последовательность отключения 2.9 Посты управления 2.10 Центральный пост управления 2.11 Главный пост управления 2.12 Помещение пульта управления (кабина) бурильщика 2.13 Офис бурового мастера 2.14 Станция геолого-технологического контроля 2.15 Местные посты управления 2.16 Контроль и управление техническими средствами комплекса обеспечения взрывопожаробезопасности 2.17 Аварийное отключение вентиляции 2.18 Аварийное отключение топливных и масляных насосов 2.19 Аварийное отключение сварочного оборудования 2.20 Системы автоматизации бурового и технологического комплексов 2.21 Автоматические установки пожаротушения Часть Х. Оценка безопасности 1Термины и определения 1.1 Определения 2 Анализ и оценка рисков 2.1 Общие положения 2.2 Анализ риска аварийных ситуаций 2.3 Критерии вероятностного подхода к обеспечению безопасности 2.4 Идентификация опасностей для конструктивной прочности корпусов ПНК/ПБУ/МСП 2.5 Специфические аварийные ситуации 2.6 Методы анализа рисков 2.7 Методы количественных оценок рисков (КОР) 2.8 Оценка индивидуальных и социальных рисков 2.9 Методы экспертных оценок 3 Выбор варианта контроля и управления рисками при внешних воздействиях 3.1 Общие положения 3.2 Анализ потенциальных аварийных ситуаций при открытом фонтанировании скважин и выбросах 3.3 Анализ потенциальных аварийных ситуаций при пожарах во время эксплуатации ситуаций при открытом фонтанировании скважин и выбросах 3.4 Мероприятия по управлению рисками, связанными со взрывами, падающими и летящими предметами 4 Менеджмент риска 4.1 Рекомендации по снижению рисков выбросов и пожаров 4.2 Рекомендации для принятия решений по снижению риска аварии (ALART) 4.3 Принцип минимального практически приемлемого (достижимого) уровня риска (ALART) 5 Обоснование и оценка экономической эффективности решений по снижению риска 6 Требования к оформлению отчетов о результатах анализа рисков Приложение 1. Сокращения, встречающиеся в международной практике Приложение 2. Типовая схема размещения нефтегазового оборудования на ПНК Приложение 3. Перечень признанных нормативно-технических документов Приложение 4. Статистические данные по утечкам углеводородов | Разработан: | Российский морской регистр судоходства
| Утверждён: | 07.12.2016 Российский морской регистр судоходства
| Издан: | Российский морской регистр судоходства (2017 г. (сайт))
| Расположен в: |
| Список изменений: | |
                                                                                                                                                         
Текстовое изменение 392-01-1005ц от 07.04.2017
   
|