| ||||||||||||||||||||||||||||||||
Скачать МРР 4.4-16 Мостовые сооруженияДата актуализации: 10.08.2017
|
| Обозначение: | МРР 4.4-16 |
| Обозначение англ: | MRR 4.4-16 |
| Статус: | взамен |
| Название рус.: | Мостовые сооружения |
| Дата добавления в базу: | 01.02.2017 |
| Дата актуализации: | 05.05.2017 |
| Дата введения: | 09.01.2017 |
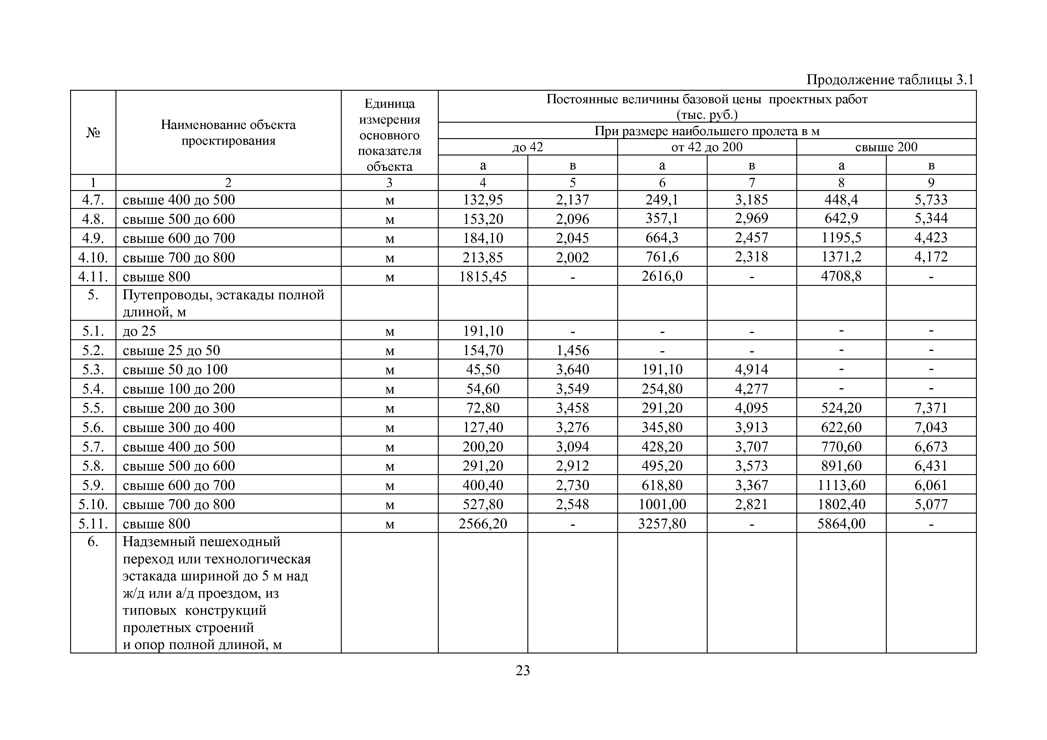
| Область применения: | Сборник предназначен для применения государственными заказчиками, проектными и другими заинтересованными организациями при расчете начальных (максимальных) цен контрактов и определении стоимости проектных работ по новому строительству, реконструкции и капитальному ремонту городских мостов, путепроводов и эстакад, осуществляемых с привлечением средств бюджета города Москвы. |
| Оглавление: | Введение 1 Общие положения 2 Методика определения стоимости основных проектных работ 3 Базовые цены на основные проектные работы 4 Рекомендуемое распределение относительной стоимости основных проектных работ по разделам проектной и рабочей документации Приложение. Примеры расчета |
| Разработан: | ОАО Институт Гипростроймост ГАУ НИАЦ |
| Утверждён: | 29.12.2016 Комитет города Москвы по ценовой политике в строительстве и государственной экспертизе проектов (МКЭ-ОД/16-75) |
| Расположен в: | |
| Заменяет собой: | |
| Нормативные ссылки: |
|














































