Скачать ИТС 13-2016 Производство свинца, цинка и кадмияДата актуализации: 10.08.2017 ИТС 13-2016
Производство свинца, цинка и кадмияОбозначение: | ИТС 13-2016 | Обозначение англ: | 13-2016 | Статус: | принят | Название рус.: | Производство свинца, цинка и кадмия | Название англ.: | Production of lead, zinc and cadmium | Дата добавления в базу: | 01.02.2017 | Дата актуализации: | 05.05.2017 | Дата введения: | 15.12.2016 | Дата окончания срока действия: | 01.07.2017 | Область применения: | Справочник НДТ распространяется на следующие основные виды деятельности:
- процессы производства первичных и вторичных цинка, свинца и олова;
- процессы рафинирования свинца;
- процессы переплавки, легирования цинка и свинца с получением товарного продукта (цинк, свинец и сплавы на их основе в слитках);
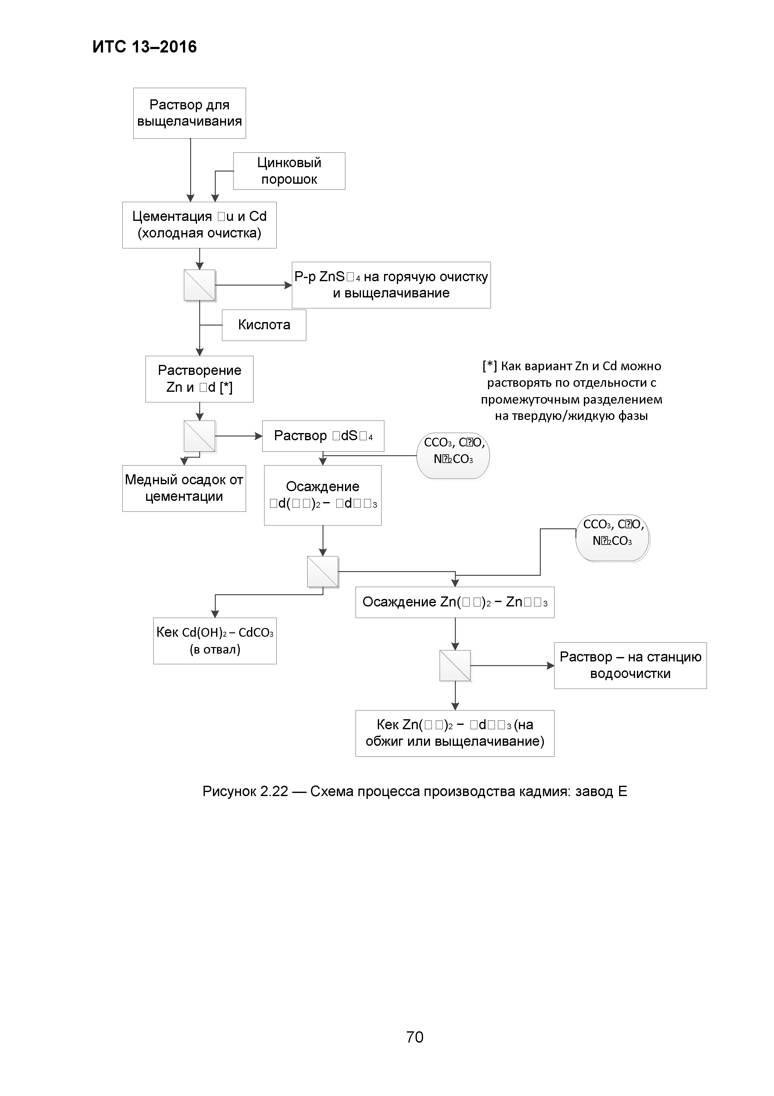
- процессы производства кадмия.
Справочник НДТ распространяется на методы производства как первичных, так и вторичных цинка, свинца, олова и кадмия. Справочник НДТ также распространяется на процессы, связанные с основными видами деятельности, которые могут оказать влияние на объемы эмиссий и (или) масштабы загрязнения окружающей среды:
- хранение и подготовка сырья;
- хранение и подготовка топлива;
- производственные процессы (пирометаллургические, гидрометаллургические и электролитические);
- методы предотвращения и сокращения эмиссий и образования отходов;
- хранение и подготовка продукции;
- производство серной кислоты из отходящих газов цинкового производства.
Справочник НДТ не распространяется на:
- добычу и обогащение цинковых, свинцовых и полиметаллических руд на место рождениях
- вопросы, которые касаются исключительно обеспечения промышленной безопасности или охраны труда. | Оглавление: | Введение Краткое содержание справочника Предисловие Область применения Раздел 1. Общая информация о рассматриваемой отрасли промышленности 1.1 Цинк 1.1.1 Общая информация 1.1.2 Производство цинка 1.1.3 Потребление цинка 1.1.4 Основные экологические проблемы 1.2 Кадмий 1.2.1 Общая информация 1.2.2 Производство 1.2.3 Потребление 1.2.4 Основные экологические проблемы 1.3 Свинец и олово 1.3.1 Общая информация 1.3.2 Основные экологические проблемы отрасли Раздел 2. Процессы производства цинка, свинца и кадмия 2.1 Общие производственные процессы 2.1.1 Системы менеджмента 2.1.2 Энергетический менеджмент и энергоэффективность 2.1.3 Предварительная обработка, подготовка и транспортировка сырья 2.1.4 Размораживание 2.1.5 Сушка 2.1.6 Дробление, измельчение и грохочение 2.1.7 Приготовление шихты 2.1.8 Брикетирование, гранулирование, окатывание и другие методы компактирования 2.1.9 Снятие покрытий и обезжиривание 2.1.10 Методы сепарации 2.1.11 Системы транспортировки и загрузки 2.2 Производство цинка и кадмия 2.2.1 Производство первичного цинка 2.2.2 Гидрометаллургический способ получения цинка Прямое выщелачивание 2.2.3 Производство вторичного цинка 2.2.4 Процессы плавления, легирования и литья цинка 2.3 Кадмий 2.3.1 Получение кадмия в рамках процессов производства первичного цинка 2.3.2 Производство вторичного кадмия, в основном извлеченного из аккумуляторных батарей 2.4 Производство свинца и олова 2.4.1 Применяемые процессы и методы 2.4.2 Плавка первичного свинца 2.4.3 Спекание/плавка в шахтной Imperial Smelting печах 2.4.4 Прямая плавка Ausmelt/ISASMELT Электроплавка 2.4.5 Первичное олово 2.4.6 Производство вторичного свинца и олова Переработка в шахтной печи Механические процессы разделки аккумуляторных батарей для последующей плавки 2.4.7 Рафинирование первичного и вторичного свинца и олова 2.4.8 Плавление и производство свинцовых сплавов 2.5 Производство других металлов (In, Ge, Ga) Раздел 3. Существующие уровни потребления ресурсов и эмиссий в окружающую среду 3.1 Производство цинка и кадмия 3.1.1 Расход материальных ресурсов 3.1.2 Расход энергии 3.1.3 Выбросы в атмосферу 3.1.4 Сбросы в водные объекты 3.1.5 Остаточные продукты технологических процессов 3.2 Производство свинца и олова 3.2.1 Энергия 3.2.2 Выбросы в атмосферу 3.2.3 Диоксид серы и другие соединения серы 3.2.4 Оксиды азота 3.2.5 Пыль и металлы 3.2.6 Органические соединения (VOC5, PCDD/F) и CO 3.2.7 Сбросы в воду 3.2.8 Сточные воды от газоочистки 3.2.9 Сточные воды от восстановления аккумуляторных батарей 3.2.10 Промежуточные продукты 3.2.11 Пирометаллургические шлаки и отходы 3.2.12 Пластмассы от обработки аккумуляторных батарей Раздел 4. Определение наилучших доступных технологий Раздел 5. Наилучшие доступные технологии Раздел 6. Экономические аспекты применения наилучших доступных технологий 6.1 Факторы, влияющие на данные по затратам при производстве свинца, олова, цинка и кадмия 6.2 Примеры инвестиционных затрат по заводам по производству цинка 6.3 Примеры инвестиционных затрат по заводам по производству свинца 6.4 Данные о затратах на природоохранные мероприятия Раздел 7. Перспективные технологии 7.1 Производство цинка 7.2 Производство свинца Процесс QSL Kaldo-процесс Пирометаллургические процессы в стадии разработки КЭПАЛ-ЖВ и КЭПАЛ процессы Низкотемпературные процессы Щелочная плавка металлической фракции от разделки аккумуляторных батарей Переработка оксисульфатной фракции в содово-солевом расплаве Электротермическая плавка в расплаве карбонатов Заключительные положения и рекомендации Приложение А (обязательное) Сфера распространения настоящего справочника НДТ Приложение Б (обязательное) Перечень маркерных веществ и технологических показателей Приложение В (обязательное) Перечень НДТ Приложение Г Энергоэффективность Библиография | Разработан: | ФГУП ВНИИ СМТ ОАО Уралэлектромедь ООО УГМК-Холдинг ЗАО Русская Медная Компания АО НИИ Атмосфера Минпромторг России ФГБУ ВНИИ Экология ЗАО Карабашмедь ЗАО Новгородский металлургический завод ЗАО Кыштымский медеэлектролитный завод ОАО Институт Гинцветмет ООО Фрегат ООО Электроцинк ООО Курский аккумуляторный завод ООО ИСТОК+ ООО Новоангарский обогатительный комбинат АО МЕТКОМ Групп ОАО Электроцинк ЗАО КПВР Сплав ПАО Челябинский цинковый завод ЗАО ЭКАТ ЗАО Агроприбор ТРГ 13 Производство свинца, цинка и кадмия
| Утверждён: | 15.12.2016 Федеральное агентство по техническому регулированию и метрологии (1889)
| Издан: | Официальный сайт Федерального агентства по техническому регулированию и метрологии в сети Интернет (www.gost.ru) (2016 г. )
| Расположен в: |
| Нормативные ссылки: | |
                                                                                                                                                                                                                                                                     
|