Скачать ГОСТ Р МЭК 61784-3-3-2016 Промышленные сети. Профили. Часть 3-3. Функциональная безопасность полевых шин. Дополнительные спецификации для CPF 3Дата актуализации: 10.08.2017 ГОСТ Р МЭК 61784-3-3-2016
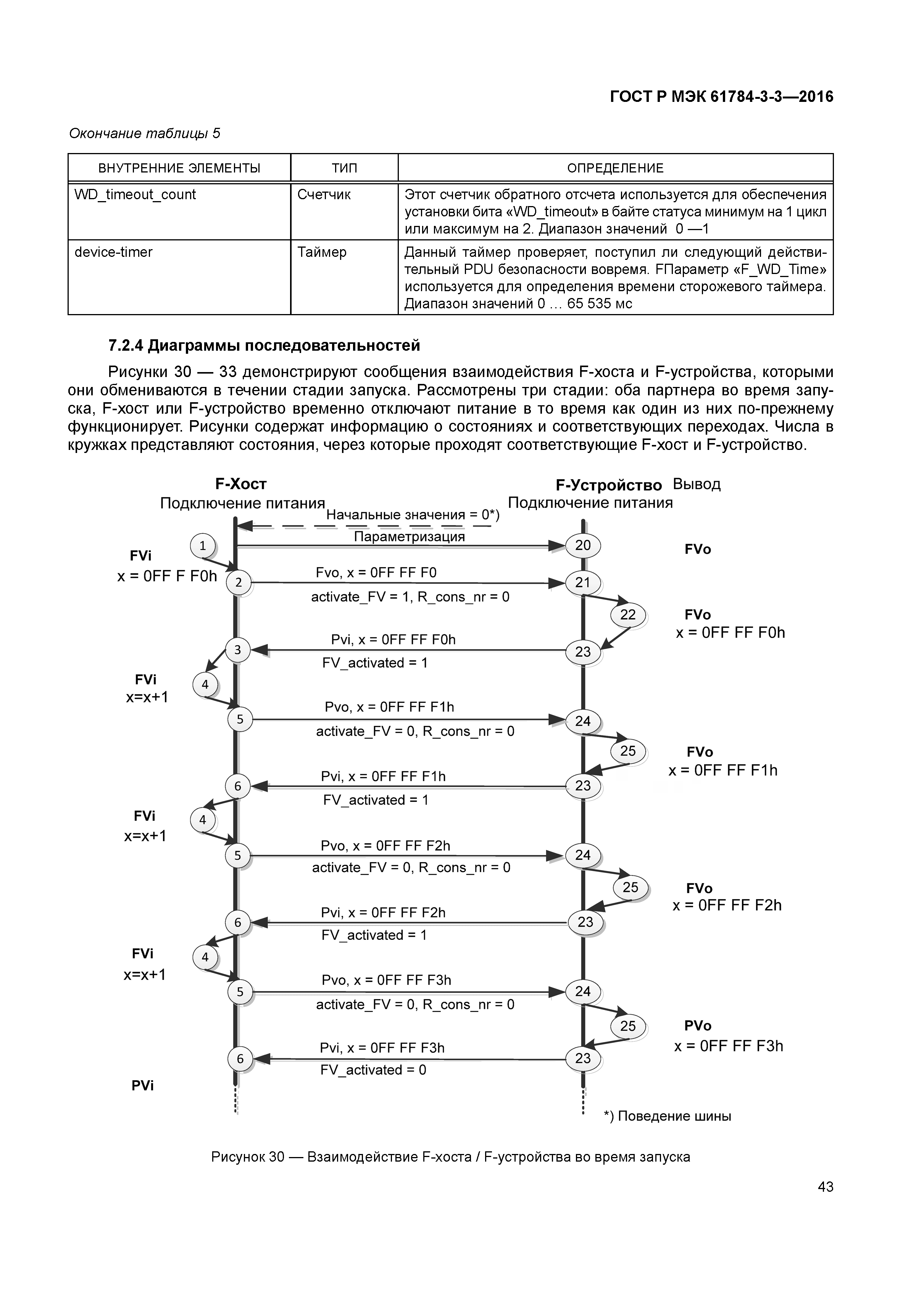
Промышленные сети. Профили. Часть 3-3. Функциональная безопасность полевых шин. Дополнительные спецификации для CPF 3Обозначение: | ГОСТ Р МЭК 61784-3-3-2016 | Обозначение англ: | GOST R IEC 61784-3-3-2016 | Статус: | принят | Название рус.: | Промышленные сети. Профили. Часть 3-3. Функциональная безопасность полевых шин. Дополнительные спецификации для CPF 3 | Название англ.: | Industrial communications networks. Profiles. Part 3-3. Functional safety fieldbuses. Additional specifications for CPF 3 | Дата добавления в базу: | 05.05.2017 | Дата актуализации: | 05.05.2017 | Дата введения: | 30.11.2016 | Дата окончания срока действия: | 01.01.2018 | Область применения: | Стандарт описывает коммуникационный уровень безопасности (услуги и протокол) на основе CPF 3, представленного в МЭК 61784-1, МЭК 61784-2 (CP 3/1, CP 3/2, CP 3/4, CP 3/5 и CP 3/6) и МЭК 61158, Типы 3 и 10. Стандарт идентифицирует принципы для осуществления коммуникаций, удовлетворяющих требованиям функциональной безопасности, определенным в МЭК 61784-3, и имеющих важное значение для данного коммуникационного уровня безопасности. | Оглавление: | 1 Область применения 2 Нормативные ссылки 3 Термины, определения, сокращения и условные обозначения 3.1 Термины и определения 3.2 Обозначения и сокращения 3.3 Условные обозначения 4 Обзор FSCP 3/1 (PROFIsafe™) 5 Общие положения 5.1 Внешние документы, предоставляющие спецификации для профиля 5.2 Функциональные требования безопасности 5.3 Меры безопасности 5.4 Структура коммуникационного уровня безопасности 5.5 Связи с FAL (и DLL, PhL) 6 Услуги коммуникационного уровня безопасности 6.1 Услуги F-хоста 6.2 Услуги F-устройств 6.3 Диагностика 7 Протокол коммуникационного уровня безопасности 7.1 Формат PDU безопасности 7.2 Поведение FSCP 3/1 7.3 Реакция в случае неисправности 7.4 Запуск и координация изменений 8 Управление коммуникационным уровнем безопасности 8.1 F-Параметр 8.2 iПараметр и iPar_CRC 8.3 Параметризация безопасности 8.4 Конфигурация безопасности 8.5 Использование информации типов данных 8.6 Механизмы назначения параметров безопасности 9 Системные требования 9.1 Индикаторы и коммутаторы 9.2 Руководство по установке 9.3 Время реакции функции безопасности 9.4 Длительность запросов на обслуживание 9.5 Ограничения для вычисления системных характеристик 9.6 Техническое обслуживание 9.7 Руководство по безопасности 9.8 Беспроводные каналы передачи данных 9.9 Классы соответствия 10 Оценка 10.1 Политика безопасности 10.2 Обязательства Приложение А (справочное) Дополнительная информация для профиля коммуникаций функциональной безопасности CPF 3 Приложение В (справочное) Информация для оценки профилей коммуникаций функциональной безопасности CPF 3 Приложение ДА (справочное) Сведения о соответствии ссылочных международных стандартов национальным и межгосударственным стандартам Библиография | Разработан: | ООО Корпоративные электронные системы
| Утверждён: | 30.11.2016 Федеральное агентство по техническому регулированию и метрологии (1884-ст)
| Издан: | Стандартинформ (2017 г. )
| Расположен в: |
| Нормативные ссылки: |   ГОСТ Р ИСО 13849-1-2003 «Безопасность оборудования. Элементы систем управления, связанные с безопасностью. Часть 1. Общие принципы конструирования»  ГОСТ Р 51317.6.2-2007 «Совместимость технических средств электромагнитная. Устойчивость к электромагнитным помехам технических средств, применяемых в промышленных зонах. Требования и методы испытаний» ГОСТ Р МЭК 60204-1-2007 «Безопасность машин. Электрооборудование машин и механизмов. Часть 1. Общие требования» ГОСТ Р МЭК 61511-1-2011 «Безопасность функциональная. Системы безопасности приборные для промышленных процессов. Часть 1. Термины, определения и технические требования» ГОСТ Р ИСО 15745-3-2010 «Системы промышленной автоматизации и интеграция. Прикладная интеграционная среда открытых систем. Часть 3. Эталонное описание систем управления на основе стандарта МЭК 61158» ГОСТ Р МЭК 61508-2-2012 «Функциональная безопасность систем электрических, электронных, программируемых электронных, связанных с безопасностью. Часть 2. Требования к системам» ГОСТ Р МЭК 61508-3-2012 «Функциональная безопасность систем электрических, электронных, программируемых электронных, связанных с безопасностью. Часть 3. Требования к программному обеспечению» ГОСТ Р МЭК 61508-4-2012 «Функциональная безопасность систем электрических, электронных, программируемых электронных связанных с безопасностью. Часть 4. Термины и определения» ГОСТ IEC 61131-2-2012 «Контроллеры программируемые. Часть 2. Требования к оборудованию и испытания» ГОСТ 12.2.091-2012 «Безопасность электрического оборудования для измерения, управления и лабораторного применения. Часть 1. Общие требования» ГОСТ Р МЭК 61508-1-2012 «Функциональная безопасность систем электрических, электронных, программируемых электронных, связанных с безопасностью. Часть 1. Общие требования» ГОСТ Р МЭК 61508-5-2012 «Функциональная безопасность систем электрических, электронных, программируемых электронных, связанных с безопасностью. Часть 5. Рекомендации по применению методов определения уровней полноты безопасности» ГОСТ Р МЭК 61508-6-2012 «Функциональная безопасность систем электрических, электронных, программируемых электронных, связанных с безопасностью. Часть 6. Руководство по применению ГОСТ Р МЭК 61508-2 и ГОСТ Р МЭК 61508-3» ГОСТ Р МЭК 61508-7-2012 «Функциональная безопасность систем электрических, электронных, программируемых электронных, связанных с безопасностью. Часть 7. Методы и средства» ГОСТ Р МЭК 62061-2013 «Безопасность оборудования. Функциональная безопасность систем управления электрических, электронных и программируемых электронных, связанных с безопасностью»
|
                                                                                                                       
|