Скачать ГОСТ 33917-2016 Патока крахмальная. Общие технические условияДата актуализации: 10.08.2017 ГОСТ 33917-2016
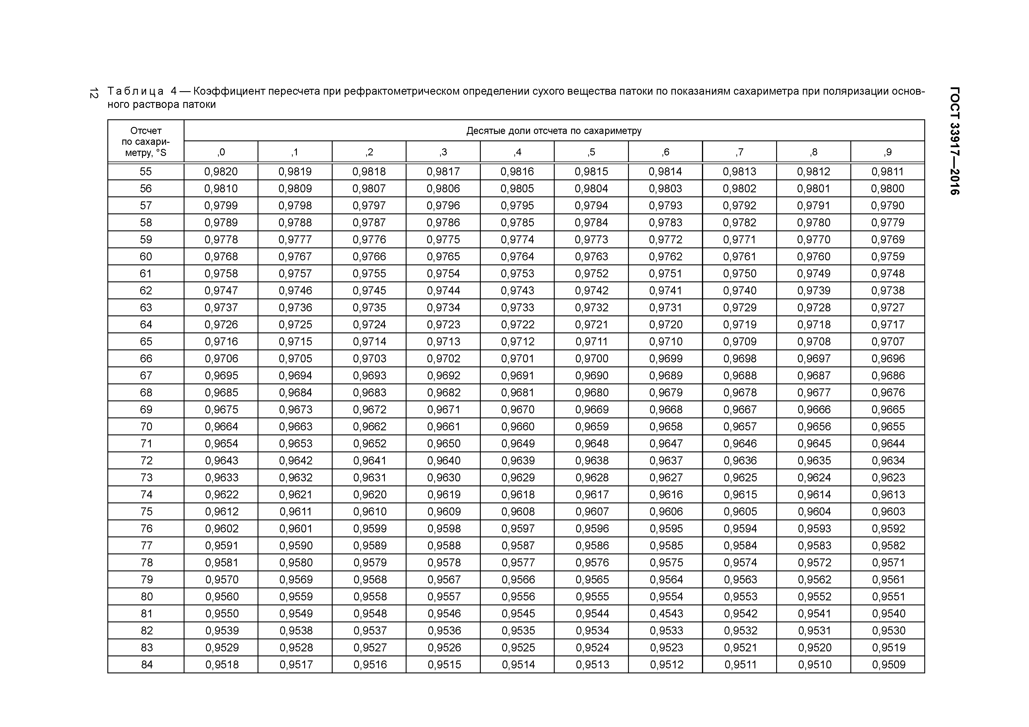
Патока крахмальная. Общие технические условияОбозначение: | ГОСТ 33917-2016 | Обозначение англ: | GOST 33917-2016 | Статус: | принят | Название рус.: | Патока крахмальная. Общие технические условия | Название англ.: | Starch syrup. General specifications | Дата добавления в базу: | 05.05.2017 | Дата актуализации: | 05.05.2017 | Дата введения: | 25.11.2016 | Дата окончания срока действия: | 01.01.2018 | Область применения: | Стандарт распространяется на крахмальную патоку (глюкозный сироп, мальтозный сироп, крахмальный сироп, кукурузный сироп), вырабатываемую путем гидролиза крахмала с применением кислот и/или амилолитических ферментных препаратов. Патока применяется в различных отраслях пищевой промышленности и для технических целей. | Оглавление: | 1 Область применения 2 Нормативные ссылки 3 Термины и определения 4 Общие технические требования 4.1 Классификация 4.2 Требования к сырью и вспомогательным материалам 4.3 Упаковка 4.4 Маркировка 5 Правила приемки 6 Методы контроля 6.1 Требования к условиям измерений 6.2 Отбор и подготовка проб 6.3 Метод определения вкуса и запаха 6.4 Метод определения прозрачности, цвета патоки, наличие видимых посторонних механических примесей 6.5 Метод определения цвета йодной пробы 6.6 Определение массовой доли сухого вещества. Рефрактометрический метод I (для карамельной кислотной и низкоосахаренной патоки) 6.7 Определение массовой доли сухого вещества рефрактометрическим методом II (для всех видов патоки) 6.8 Определение массовой доли редуцирующих веществ. Поляриметрический метод (для карамельной кислотной и низкоосахаренной патоки) 6.9 Определение массовой доли редуцирующих веществ методом Лейна-Эйнона (для всех видов патоки) 6.10 Определение массовой доли редуцирующих веществ. Йодометрический метод (для карамельной патоки) 6.11 Определение массовой доли отдельных углеводов методом высокоэффективной жидкостной хроматографии 6.12 Метод определения массовой доли общей золы 6.13 Метод определения водородного показателя, рН 6.14 Метод определения кислотности 6.15 Методы определения содержания диоксида серы 6.16 Методы определения температуры карамельной пробы 6.17 Методы определения показателей безопасности 7 Транспортирование и хранение Приложение А (справочное) Пищевая ценность 100 г патоки Приложение Б (рекомендуемое) Определение цвета патоки фотометрическим методом I Приложение В (рекомендуемое) Определение цвета патоки фотометрическим методом II Приложение Г (рекомендуемое) Определение цвета и мутности патоки фотометрическим методом III Приложение Д (обязательное) Определение удельной электрической проводимости (УЭП) для деминерализованной патоки Приложение Е (рекомендуемое) Виды упаковки Библиография | Разработан: | ФГБНУ ВНИИ крахмалопродуктов
| Утверждён: | 25.10.2016 Межгосударственный Совет по стандартизации, метрологии и сертификации (Inter-Governmental Council on Standardization, Metrology, and Certification 92-П) 25.11.2016 Федеральное агентство по техническому регулированию и метрологии (1790-ст)
| Издан: | Стандартинформ (2017 г. )
| Расположен в: |
| Нормативные ссылки: |  ГОСТ 4680-49 «Методы пересчета массы гигроскопических материалов и продуктов при отклонении их влажности от нормированной»  ГОСТ Р 51232-98 «Вода питьевая. Общие требования к организации и методам контроля качества»  ГОСТ 28498-90 «Термометры жидкостные стеклянные. Общие технические требования. Методы испытаний»  ГОСТ 2874-82 «Вода питьевая. Гигиенические требования и контроль за качеством»  ГОСТ 30566-98 «Порошок перлитовый фильтровальный. Технические условия»  ГОСТ 2263-79 «Натр едкий технический. Технические условия»  ГОСТ 6709-72 «Вода дистиллированная. Технические условия» ГОСТ 10163-76 «Реактивы. Крахмал растворимый. Технические условия» ГОСТ 10444.12-88 «Продукты пищевые. Метод определения дрожжей и плесневых грибов» ГОСТ 10444.15-94 «Продукты пищевые. Методы определения количества мезофильных аэробных и факультативно-анаэробных микроорганизмов» ГОСТ 10929-76 «Реактивы. Водорода пероксид. Технические условия» ГОСТ 11683-76 «Пиросульфит натрия технический. Технические условия»  ГОСТ 12026-76 «Бумага фильтровальная лабораторная. Технические условия» ГОСТ 1381-73 «Уротропин технический. Технические условия»  ГОСТ 13950-91 «Бочки стальные сварные и закатные с гофрами на корпусе. Технические условия» ГОСТ 14919-83 «Электроплиты, электроплитки и жарочные электрошкафы бытовые. Общие технические условия» ГОСТ 17065-94 «Барабаны картонные навивные. Технические условия» ГОСТ 1770-74 «Посуда мерная лабораторная стеклянная. Цилиндры, мензурки, колбы, пробирки. Общие технические условия» ГОСТ 18300-87 «Спирт этиловый ректификованный технический. Технические условия» ГОСТ 18481-81 «Ареометры и цилиндры стеклянные. Общие технические условия» ГОСТ 19908-90 «Тигли, чаши, стаканы, колбы, воронки, пробирки и наконечники из прозрачного кварцевого стекла. Общие технические условия» ГОСТ 24363-80 «Реактивы. Калия гидроокись. Технические условия» ГОСТ 246-76 «Гидросульфит натрия технический. Технические условия» ГОСТ 25336-82 «Посуда и оборудование лабораторные стеклянные. Типы, основные параметры и размеры»  ГОСТ 25794.1-83 «Реактивы. Методы приготовления титрованных растворов для кислотно-основного титрования» ГОСТ 25794.2-83 «Реактивы. Методы приготовления титрованных растворов для окислительно-восстановительного титрования» ГОСТ 26669-85 «Продукты пищевые и вкусовые. Подготовка проб для микробиологических анализов» ГОСТ 26670-91 «Продукты пищевые. Методы культивирования микроорганизмов» ГОСТ 26927-86 «Сырье и продукты пищевые. Методы определения ртути» ГОСТ 26929-94 «Сырье и продукты пищевые. Подготовка проб. Минерализация для определения содержания токсичных элементов» ГОСТ 26930-86 «Сырье и продукты пищевые. Метод определения мышьяка» ГОСТ 26932-86 «Сырье и продукты пищевые. Методы определения свинца» ГОСТ 26933-86 «Сырье и продукты пищевые. Методы определения кадмия» ГОСТ 27068-86 «Реактивы. Натрий серноватистокислый (натрия тиосульфат) 5-водный. Технические условия» ГОСТ 27752-88 «Часы электронно-механические кварцевые настольные, настенные и часы-будильники. Общие технические условия» ГОСТ 29169-91 «Посуда лабораторная стеклянная. Пипетки с одной отметкой» ГОСТ 29227-91 «Посуда лабораторная стеклянная. Пипетки градуированные. Часть 1. Общие требования» ГОСТ 29251-91 «Посуда лабораторная стеклянная. Бюретки. Часть 1. Общие требования» ГОСТ 30178-96 «Сырье и продукты пищевые. Атомно-абсорбционный метод определения токсичных элементов» ГОСТ 30349-96 «Плоды, овощи и продукты их переработки. Методы определения остаточных количеств хлорорганических пестицидов» ГОСТ 332-91 «Ткани хлопчатобумажные и смешанные суровые фильтровальные. Технические условия» ГОСТ 4159-79 «Реактивы. Йод. Технические условия» ГОСТ 4165-78 «Реактивы. Медь II сернокислая 5-водная. Технические условия» ГОСТ 4204-77 «Реактивы. Кислота серная. Технические условия»  ГОСТ 4232-74 «Реактивы. Калий йодистый. Технические условия» ГОСТ 4328-77 «Реактивы. Натрия гидроокись. Технические условия» ГОСТ 4453-74 «Уголь активный осветляющий древесный порошкообразный. Технические условия»  ГОСТ 4517-87 «Реактивы. Методы приготовления вспомогательных реактивов и растворов, применяемых при анализе»  ГОСТ 4919.1-77 «Реактивы и особо чистые вещества. Методы приготовления растворов индикаторов»  ГОСТ 4919.2-77 «Реактивы и особо чистые вещества. Методы приготовления буферных растворов» ГОСТ 5037-97 «Фляги металлические для молока и молочных продуктов. Технические условия» ГОСТ 5100-85 «Сода кальцинированная техническая. Технические условия» ГОСТ 5841-74 «Реактивы. Гидразин сернокислый» ГОСТ 5845-79 «Реактивы. Калий-натрий виннокислый 4-водный. Технические условия» ГОСТ 6038-79 «Реактивы. D-глюкоза. Технические условия»  ГОСТ 7699-78 «Крахмал картофельный. Технические условия»  ГОСТ 857-95 «Кислота соляная синтетическая техническая. Технические условия» ГОСТ 902-76 «Натрия бисульфит технический (водный раствор). Технические условия»  ГОСТ 9147-80 «Посуда и оборудование лабораторные фарфоровые. Технические условия» ГОСТ 9218-86 «Цистерны для пищевых жидкостей, устанавливаемые на автотранспортные средства. Общие технические условия» ГОСТ 975-88 «Глюкоза кристаллическая гидратная. Технические условия»  ГОСТ 15846-2002 «Продукция, отправляемая в районы Крайнего Севера и приравненные к ним местности. Упаковка, маркировка, транспортирование и хранение» ГОСТ 8808-2000 «Масло кукурузное. Технические условия» ГОСТ 30710-2001 «Плоды, овощи и продукты их переработки. Методы определения остаточных количеств фосфорорганических пестицидов»  ГОСТ 8.579-2002 «Государственная система обеспечения единства измерений. Требования к количеству фасованных товаров в упаковках любого вида при их производстве, расфасовке, продаже и импорте»  ГОСТ 8.135-2004 «Государственная система обеспечения единства измерений. Стандарт-титры для приготовления буферных растворов - рабочих эталонов рН 2-го и 3-го разрядов. Технические и метрологические характеристики. Методы их определения» ГОСТ Р 53876-2010 «Крахмал картофельный. Технические условия» Технический регламент Таможенного союза 005/2011 «О безопасности упаковки» Технический регламент Таможенного союза 021/2011 «О безопасности пищевой продукции» Технический регламент Таможенного союза 022/2011 «Пищевая продукция в части ее маркировки» ГОСТ 31659-2012 «Продукты пищевые. Метод выявления бактерий рода Salmonella» ГОСТ 31747-2012 «Продукты пищевые. Методы выявления и определения количества бактерий группы кишечных палочек (колиформных бактерий)» ГОСТ OIML R 76-1-2011 «Государственная система обеспечения единства измерений. Весы неавтоматического действия. Часть 1. Метрологические и технические требования. Испытания» ГОСТ 31904-2012 «Продукты пищевые. Методы отбора проб для микробиологических испытаний» ГОСТ 32159-2013 «Крахмал кукурузный. Общие технические условия» ГОСТ 1129-2013 «Масло подсолнечное. Технические условия» ГОСТ Р 55878-2013 «Спирт этиловый технический гидролизный ректификованный. Технические условия» ГОСТ 32902-2014 «Крахмал и крахмалопродукты. Термины и определения» ГОСТ 33222-2015 «Сахар белый. Технические условия»
|
                                                  
|