Информационная система
«Ёшкин Кот»

Скачать базу одним архивом
Скачать обновления
История создания базы
Карта сайта

Скачать Временная методика определения границ селективной и валовой выемки угля на сложноструктурных месторождениях

Дата актуализации: 10.08.2017

Временная методика определения границ селективной и валовой выемки угля на сложноструктурных месторождениях

Статус:cправочные материалы, мп, тпр
Название рус.:Временная методика определения границ селективной и валовой выемки угля на сложноструктурных месторождениях
Дата добавления в базу:01.02.2017
Дата актуализации:05.05.2017
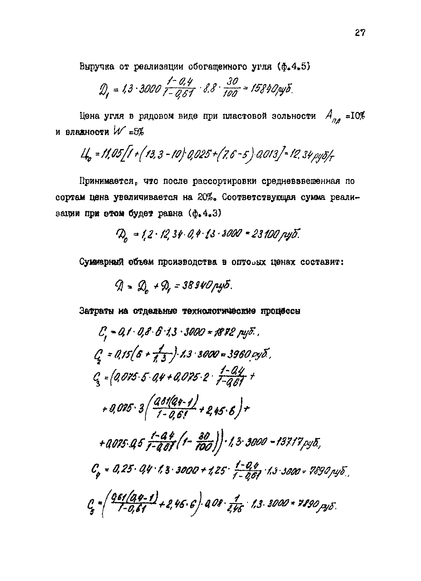
Область применения:Методика содержит общие принципы оценки эффективности вариантов и примеры укрупненных экономических расчетов при выборе технологических решений
Оглавление:1 Общие показатели
2 Показатель экономической эффективности способов и технологических вариантов выемки пластов
3 Структура затрат на добычу и переработку угля
4 Определение прибыли по технологической схеме
5 Определение количества добываемого по способам выемки угля
6 Выбор способов выемки с учетом требований к качеству угля и при ограниченных мощностях по обогащению
Список литературы
Приложение 1. Примеры расчетов при выборе способов и технологических вариантов выемки
Приложение 2. Пример выбора способов выемки пластов с учетом ограничений
Разработан: НИИОГР
Утверждён:25.04.1985 Главный инженер производственно-технологического Управления по открытому способу добычи Минуглепрома СССР
Издан: НИИОГР (1985 г. )
Расположен в:Техническая документация Экология ГОРНОЕ ДЕЛО И ПОЛЕЗНЫЕ ИСКОПАЕМЫЕ Горное дело и открытые горные работы

© 2013 Ёшкин Кот :-) Карта сайта