Информационная система
«Ёшкин Кот»

Скачать базу одним архивом
Скачать обновления
История создания базы
Карта сайта

Скачать ТУ 122-1/12 Технические условия на метод определения содержания метилового эфира акриловой кислоты в воздухе

Дата актуализации: 10.08.2017

ТУ 122-1/12

Технические условия на метод определения содержания метилового эфира акриловой кислоты в воздухе

Обозначение: ТУ 122-1/12
Обозначение англ: TU 122-1/12
Статус:cправочные материалы, мп, тпр
Название рус.:Технические условия на метод определения содержания метилового эфира акриловой кислоты в воздухе
Дата добавления в базу:01.02.2017
Дата актуализации:05.05.2017
Область применения:Технические условия распространяются на метод определения содержания метивого эфира акриловой кислоты в воздухе промышленных помещений при санитарном контроле.
Оглавление:I. Общая часть
II. Реактивы и аппаратура
III. Отбор пробы воздуха
IV. Описание определения
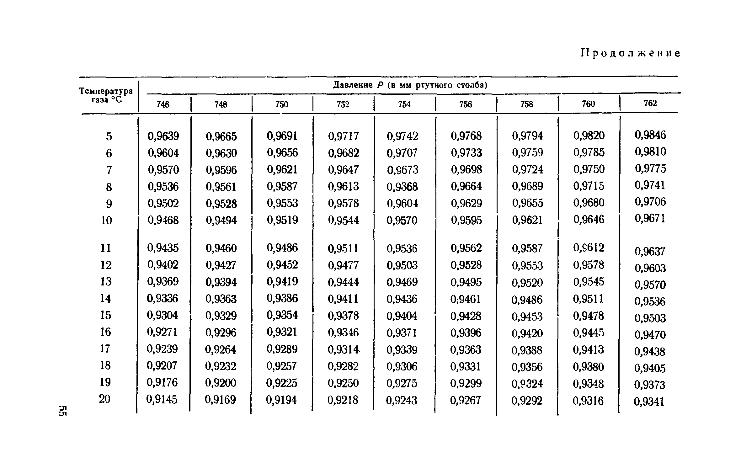
Приложение. Таблица коэффициентов для различных температур и давлений
Утверждён:19.03.1962 Заместитель Главного государственного санитарного врача CCCР
Издан: Государственное издательство медицинской литературы (1962 г. )
Расположен в:Техническая документация Экология ОХРАНА ОКРУЖАЮЩЕЙ СРЕДЫ, ЗАЩИТА ЧЕЛОВЕКА ОТ ВОЗДЕЙСТВИЯ ОКРУЖАЮЩЕЙ СРЕДЫ. БЕЗОПАСНОСТЬ Качество воздуха Качество воздуха в целом
ТУ 122-1/12ТУ 122-1/12ТУ 122-1/12ТУ 122-1/12ТУ 122-1/12ТУ 122-1/12ТУ 122-1/12ТУ 122-1/12ТУ 122-1/12ТУ 122-1/12ТУ 122-1/12ТУ 122-1/12ТУ 122-1/12ТУ 122-1/12ТУ 122-1/12

© 2013 Ёшкин Кот :-) Карта сайта