Информационная система
«Ёшкин Кот»

Скачать базу одним архивом
Скачать обновления
История создания базы
Карта сайта

Скачать ТУ 1256-75 Технические условия на метод определения сероводорода в воздухе

Дата актуализации: 10.08.2017

ТУ 1256-75

Технические условия на метод определения сероводорода в воздухе

Обозначение: ТУ 1256-75
Обозначение англ: TU 1256-75
Статус:cправочные материалы, мп, тпр
Название рус.:Технические условия на метод определения сероводорода в воздухе
Дата добавления в базу:01.02.2017
Дата актуализации:05.05.2017
Область применения:Технические условия распространяются на метод определения содержания сероводорода в воздухе промышленных помещений при санитарном контроле.
Оглавление:I. Общая часть
II. Реактивы и аппаратура
III. Отбор проб воздуха
IV. Описание определения
Приложение 1. Приведение объема воздуха к нормальным условиям
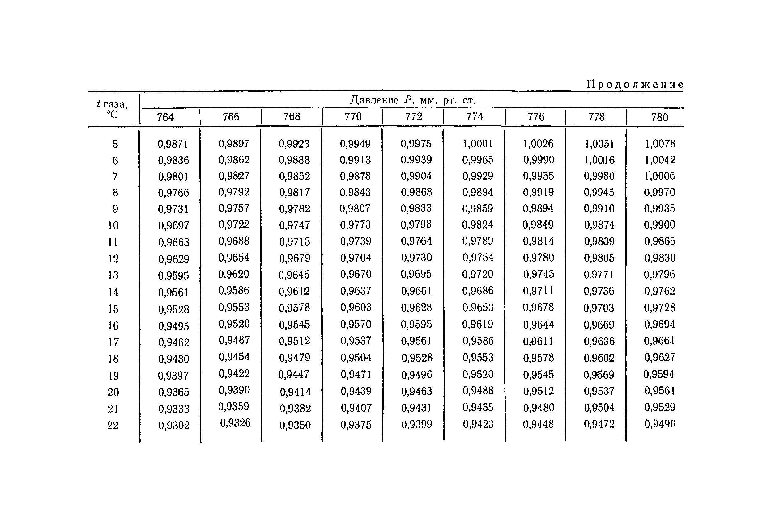
Приложение 2. Таблица коэффициентов для различных температур и давления, на которые надо умножить для приведения объема воздуха к нормальным условиям
Приложение 3. Список веществ, определяемых по утвержденным и опубликованным Техническим условиям
Приложение 4. Список институтов, представивших Технические условия
Разработан: НИИ гигиены водного транспорта
Утверждён:20.03.1975 Заместитель Главного государственного санитарного врача CCCР
Издан: Рекламинформбюро ММФ (1976 г. )
Расположен в:Техническая документация Экология ОХРАНА ОКРУЖАЮЩЕЙ СРЕДЫ, ЗАЩИТА ЧЕЛОВЕКА ОТ ВОЗДЕЙСТВИЯ ОКРУЖАЮЩЕЙ СРЕДЫ. БЕЗОПАСНОСТЬ Качество воздуха Качество воздуха в целом
ТУ 1256-75ТУ 1256-75ТУ 1256-75ТУ 1256-75ТУ 1256-75ТУ 1256-75ТУ 1256-75ТУ 1256-75ТУ 1256-75ТУ 1256-75ТУ 1256-75ТУ 1256-75ТУ 1256-75ТУ 1256-75ТУ 1256-75ТУ 1256-75ТУ 1256-75ТУ 1256-75ТУ 1256-75ТУ 1256-75ТУ 1256-75

© 2013 Ёшкин Кот :-) Карта сайта