Скачать ТУ 1235-75 Технические условия на метод определения вторичных и первичных аминов (пиперидин, гексаметиленимин, морфолин, диаллиламин, пирролидин, дизопропиламин, дипропиламин, моноизопропиламин, моноаллиламин) в воздухеДата актуализации: 10.08.2017 ТУ 1235-75
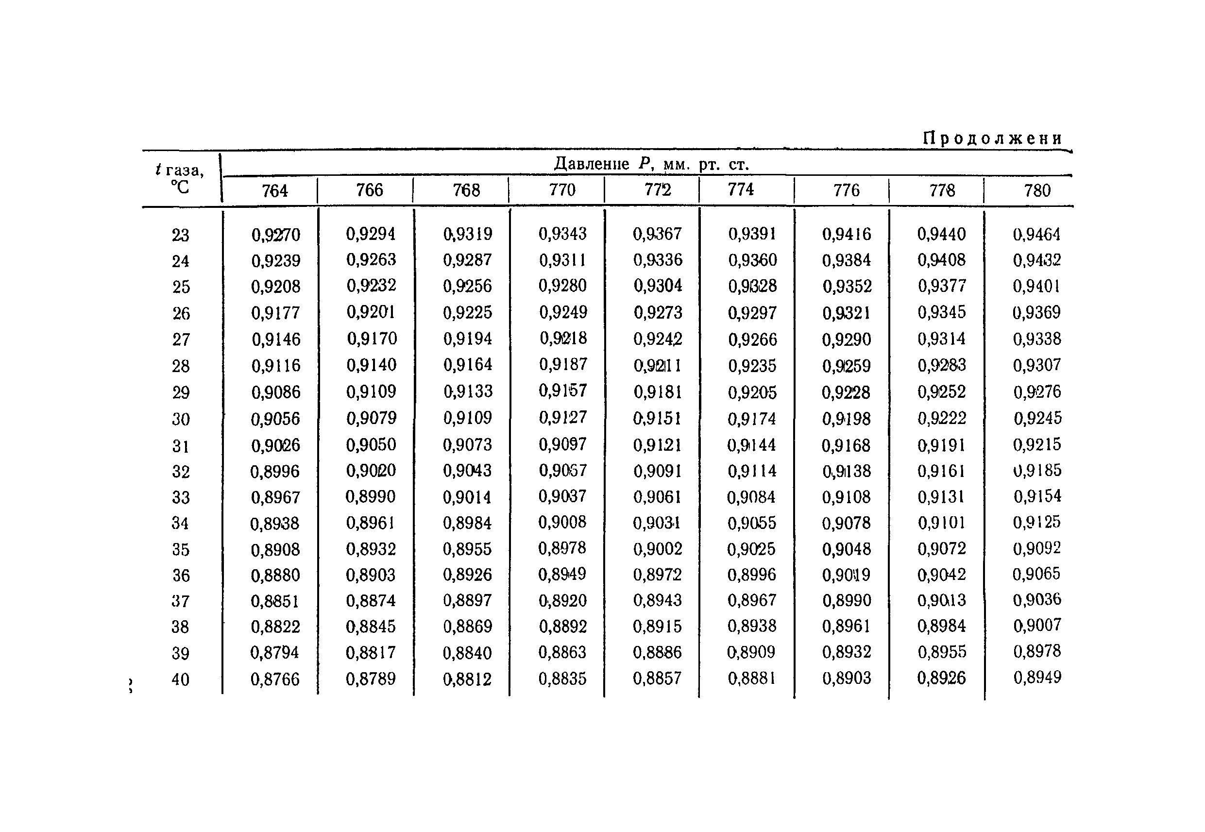
Технические условия на метод определения вторичных и первичных аминов (пиперидин, гексаметиленимин, морфолин, диаллиламин, пирролидин, дизопропиламин, дипропиламин, моноизопропиламин, моноаллиламин) в воздухеОбозначение: | ТУ 1235-75 | Обозначение англ: | TU 1235-75 | Статус: | cправочные материалы, мп, тпр | Название рус.: | Технические условия на метод определения вторичных и первичных аминов (пиперидин, гексаметиленимин, морфолин, диаллиламин, пирролидин, дизопропиламин, дипропиламин, моноизопропиламин, моноаллиламин) в воздухе | Дата добавления в базу: | 01.02.2017 | Дата актуализации: | 05.05.2017 | Область применения: | Технические условия распространяются на метод определения содержания вторичных и первичных аминов в воздухе промышленных помещений при санитарном контроле. | Оглавление: | I. Общая часть II. Реактивы и аппаратура III. Отбор проб воздуха IV. Описание определения Приложение 1. Приведение объема воздуха к нормальным условиям Приложение 2. Таблица коэффициентов для различных температур и давления, на которые надо умножить для приведения объема воздуха к нормальным условиям Приложение 3. Список веществ, определяемых по утвержденным и опубликованным Техническим условиям Приложение 4. Список институтов, представивших Технические условия | Разработан: | НИИ гигиены водного транспорта
| Утверждён: | 20.03.1975 Заместитель Главного государственного санитарного врача CCCР
| Издан: | Рекламинформбюро ММФ (1976 г. )
| Расположен в: |
| Нормативные ссылки: | |
                    
|