Информационная система
«Ёшкин Кот»

Скачать базу одним архивом
Скачать обновления
История создания базы
Карта сайта

Скачать ГОСТ ISO 18650-2-2016 Машины и оборудование строительные. Бетоносмесители. Часть 2. Методика проверки эффективности смешивания

Дата актуализации: 10.08.2017

ГОСТ ISO 18650-2-2016

Машины и оборудование строительные. Бетоносмесители. Часть 2. Методика проверки эффективности смешивания

Обозначение: ГОСТ ISO 18650-2-2016
Обозначение англ: 18650-2-2016
Статус:принят
Название рус.:Машины и оборудование строительные. Бетоносмесители. Часть 2. Методика проверки эффективности смешивания
Название англ.:Building construction machinery and equipment. Concrete mixers. Part 2. Procedure for examination of mixing efficiency
Дата добавления в базу:01.02.2017
Дата актуализации:05.05.2017
Дата введения:30.09.2016
Дата окончания срока действия:01.07.2018
Область применения:Стандарт определяет порядок и методы испытаний эффективности перемешивания бетоносмесителей периодического и непрерывного действия в соответствии с ISO 18650-1. Стандарт распространяется на бетоносмесители периодического действия производительностью равной или более 70 м3/ч и бетоносмесителей непрерывного действия - 50 м3/ч.
Оглавление:1 Область применения
2 Нормативные ссылки
3 Термины и определения
4 Требования для определения типа бетоносмесителя
5 Определение производительности бетоносмесителя
   5.1 Основные характеристики
   5.2 Требования к бетонной смеси
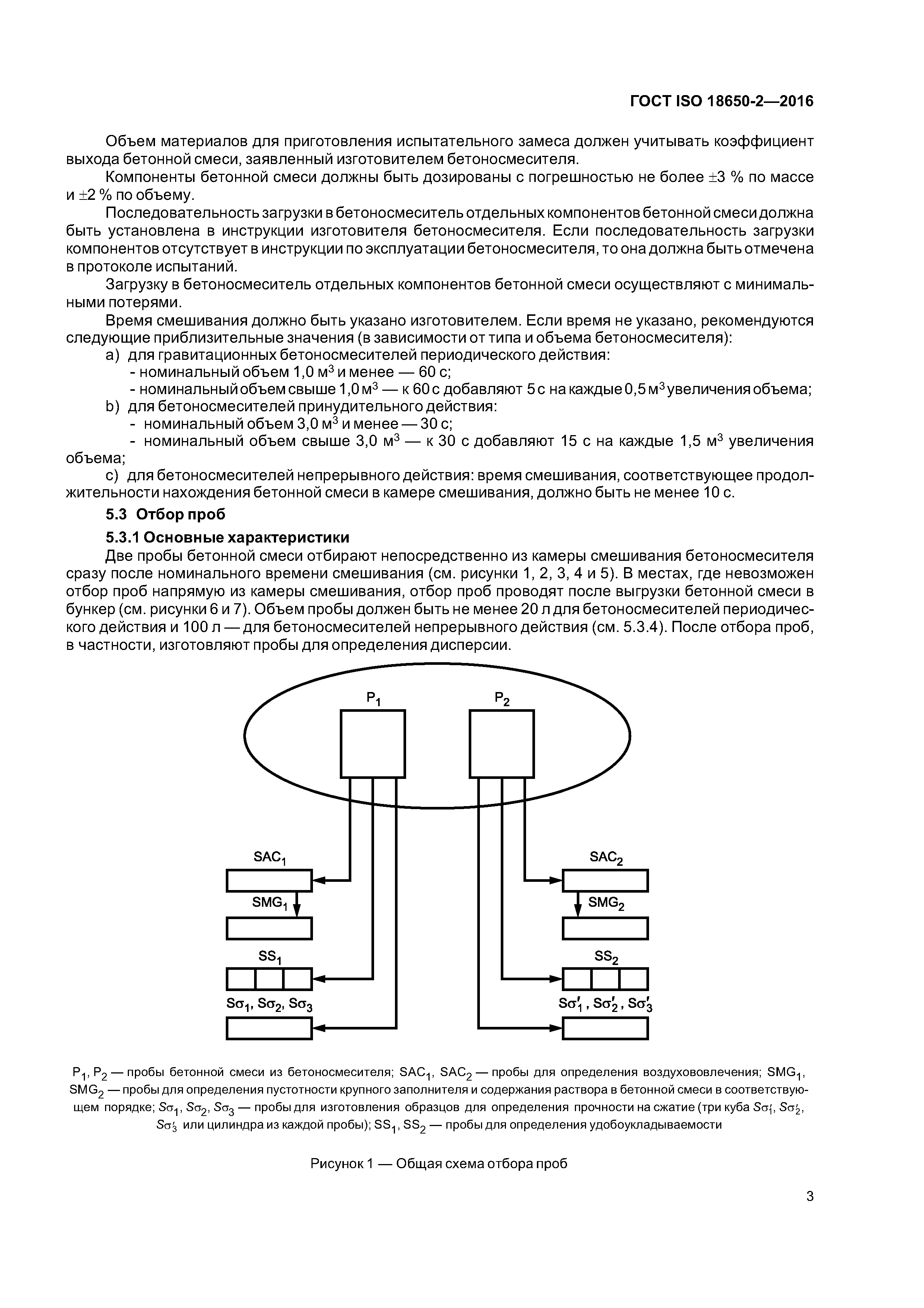
   5.3 Отбор проб
   5.4 Определение дисперсии
6 Результаты испытаний
7 Протокол испытаний
8 Заключение
   8.1 Коэффициент заполнения тестируемого бетоносмесителя
   8.2 Длительность смешивания
Приложение ДА (справочное) Сведения о соответствии межгосударственных стандартов ссылочным международным стандартам
Библиография
Разработан: ООО ИЦ ЦНИП СДМ
Утверждён:29.02.2016 Межгосударственный Совет по стандартизации, метрологии и сертификации (Inter-Governmental Council on Standardization, Metrology, and Certification 85-П)
30.09.2016 Федеральное агентство по техническому регулированию и метрологии (1259-ст)
Издан: Стандартинформ (2016 г. )
Расположен в:Техническая документация Электроэнергия СТРОИТЕЛЬНЫЕ МАТЕРИАЛЫ И СТРОИТЕЛЬСТВО Строительное оборудование Экология СТРОИТЕЛЬНЫЕ МАТЕРИАЛЫ И СТРОИТЕЛЬСТВО Строительное оборудование Строительство Стандарты Другие государственные стандарты, применяемые в строительстве Строительные материалы и строительство
Нормативные ссылки:
ГОСТ ISO 18650-2-2016ГОСТ ISO 18650-2-2016ГОСТ ISO 18650-2-2016ГОСТ ISO 18650-2-2016ГОСТ ISO 18650-2-2016ГОСТ ISO 18650-2-2016ГОСТ ISO 18650-2-2016ГОСТ ISO 18650-2-2016ГОСТ ISO 18650-2-2016ГОСТ ISO 18650-2-2016ГОСТ ISO 18650-2-2016ГОСТ ISO 18650-2-2016ГОСТ ISO 18650-2-2016ГОСТ ISO 18650-2-2016ГОСТ ISO 18650-2-2016ГОСТ ISO 18650-2-2016ГОСТ ISO 18650-2-2016ГОСТ ISO 18650-2-2016ГОСТ ISO 18650-2-2016ГОСТ ISO 18650-2-2016

© 2013 Ёшкин Кот :-) Карта сайта