Информационная система
«Ёшкин Кот»

Скачать базу одним архивом
Скачать обновления
История создания базы
Карта сайта

Скачать ГОСТ Р МЭК 60601-2-25-2016 Изделия медицинские электрические. Часть 2-25. Частные требования безопасности с учетом основных функциональных характеристик к электрокардиографам

Дата актуализации: 10.08.2017

ГОСТ Р МЭК 60601-2-25-2016

Изделия медицинские электрические. Часть 2-25. Частные требования безопасности с учетом основных функциональных характеристик к электрокардиографам

Обозначение: ГОСТ Р МЭК 60601-2-25-2016
Обозначение англ: GOST R IEC 60601-2-25-2016
Статус:принят
Название рус.:Изделия медицинские электрические. Часть 2-25. Частные требования безопасности с учетом основных функциональных характеристик к электрокардиографам
Название англ.:Medical electrical equipment. Part 2-25. Particular requirements for the basic safety and essential performance of electrocardiographs
Дата добавления в базу:01.02.2017
Дата актуализации:05.05.2017
Дата введения:28.09.2016
Дата окончания срока действия:01.09.2017
Область применения:Стандарт определяет требования безопасности с учетом основных функциональных характеристик к электрокардиографам согласно определению, предназначенным для формирования ЭКГ отчета в диагностических целях, работающих автономно или в составе МЕ СИСТЕМЫ.
Оглавление:201.1 Область распространения, цель и соответствующие стандарты
201.2 Нормативные ссылки
201.3 Термины и определения
201.4 Общие требования
201.5 Общие требования к испытаниям МЕ ИЗДЕЛИЯ
201.6 Классификация МЕ ИЗДЕЛИЙ и МЕ СИСТЕМ
201.7 Идентификация, маркировка и документация МЕ ИЗДЕЛИЙ
201.8 Защита от ОПАСНОСТЕЙ поражения электрическим током
201.9 Защита от МЕХАНИЧЕСКИХ ОПАСНОСТЕЙ, создаваемых МЕ ИЗДЕЛИЕМ и МЕ СИСТЕМАМИ
201.10 Защита от ОПАСНОСТЕЙ воздействия нежелательного или чрезмерного излучения
201.11 Защита от чрезмерных температур и других ОПАСНОСТЕЙ
201.12 Точность органов управления и измерительных приборов и защита от опасных значений выходных характеристик
201.13 ОПАСНЫЕ СИТУАЦИИ и условия нарушения
201.14 ПРОГРАММИРУЕМЫЕ ЭЛЕКТРИЧЕСКИЕ МЕДИЦИНСКИЕ СИСТЕМЫ (РЕМS)
201.15 Конструкция МЕ ИЗДЕЛИЯ
201.16 МЕ СИСТЕМЫ
201.17 Электромагнитная совместимость МЕ ИЗДЕЛИЙ и МЕ СИСТЕМ
202 Электромагнитная совместимость. Требования и испытания
Приложения
Приложение АА (справочное) Рекомендации и обоснование
Приложение ВВ (справочное) ЭЛЕКТРОДЫ, их положение, обозначение и цветовая кодировка . .
Приложение СС (справочное) ОТВЕДЕНИЯ, их идентификация и цветовая кодировка (кроме указанных в 201.12.4.102)
Приложение DD (справочное) Полярность ПРОВОДОВ ПАЦИЕНТА (кроме указанных в 201.12.4.102)
Приложение ЕЕ (справочное) Дополнительная маркировка ЭЛЕКТРОДОВ
Приложение FF (обязательное) Определения и правила проведения измерений по ЭЛЕКТРОКАРДИОГРАММАМ
Приложение GG (справочное) Наборы калибровочных и испытательных данных
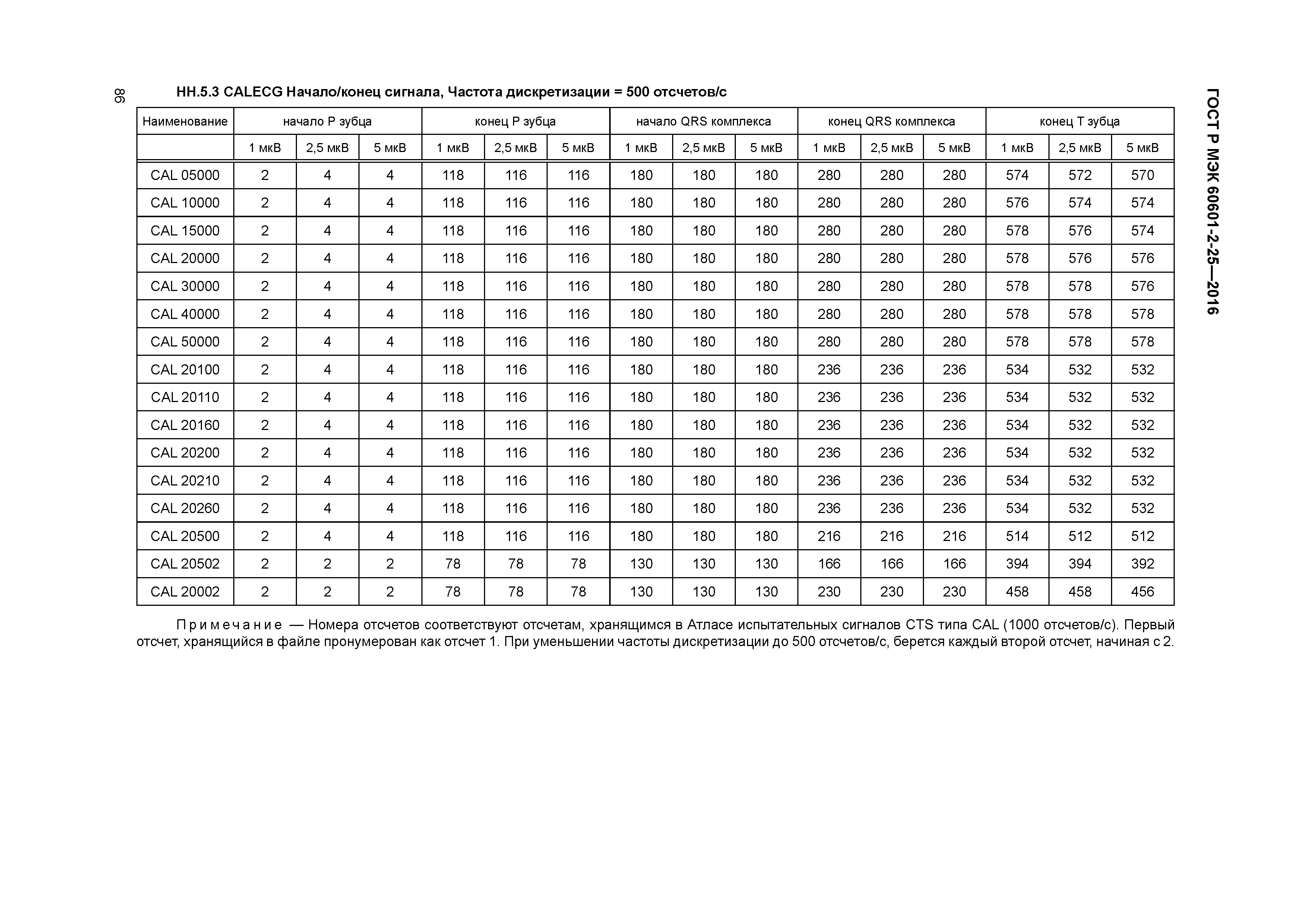
Приложение НН (справочное) Атлас СТЗ испытательных ЭКГ
Приложение ДА (справочное) Сведения о соответствии ссылочных международных стандартов национальным стандартам Российской Федерации
Библиография
Указатель определений терминов, применяемых в настоящем стандарте
Разработан: ООО НТЦ МЕДИТЭКС
Утверждён:28.09.2016 Федеральное агентство по техническому регулированию и метрологии (1243-ст)
Издан: Стандартинформ (2016 г. )
Расположен в:Техническая документация Электроэнергия ЗДРАВООХРАНЕНИЕ Медицинское оборудование Диагностическое оборудование Экология ЗДРАВООХРАНЕНИЕ Медицинское оборудование Диагностическое оборудование
Нормативные ссылки:
ГОСТ Р МЭК 60601-2-25-2016ГОСТ Р МЭК 60601-2-25-2016ГОСТ Р МЭК 60601-2-25-2016ГОСТ Р МЭК 60601-2-25-2016ГОСТ Р МЭК 60601-2-25-2016ГОСТ Р МЭК 60601-2-25-2016ГОСТ Р МЭК 60601-2-25-2016ГОСТ Р МЭК 60601-2-25-2016ГОСТ Р МЭК 60601-2-25-2016ГОСТ Р МЭК 60601-2-25-2016ГОСТ Р МЭК 60601-2-25-2016ГОСТ Р МЭК 60601-2-25-2016ГОСТ Р МЭК 60601-2-25-2016ГОСТ Р МЭК 60601-2-25-2016ГОСТ Р МЭК 60601-2-25-2016ГОСТ Р МЭК 60601-2-25-2016ГОСТ Р МЭК 60601-2-25-2016ГОСТ Р МЭК 60601-2-25-2016ГОСТ Р МЭК 60601-2-25-2016ГОСТ Р МЭК 60601-2-25-2016ГОСТ Р МЭК 60601-2-25-2016ГОСТ Р МЭК 60601-2-25-2016ГОСТ Р МЭК 60601-2-25-2016ГОСТ Р МЭК 60601-2-25-2016ГОСТ Р МЭК 60601-2-25-2016ГОСТ Р МЭК 60601-2-25-2016ГОСТ Р МЭК 60601-2-25-2016ГОСТ Р МЭК 60601-2-25-2016ГОСТ Р МЭК 60601-2-25-2016ГОСТ Р МЭК 60601-2-25-2016ГОСТ Р МЭК 60601-2-25-2016ГОСТ Р МЭК 60601-2-25-2016ГОСТ Р МЭК 60601-2-25-2016ГОСТ Р МЭК 60601-2-25-2016ГОСТ Р МЭК 60601-2-25-2016ГОСТ Р МЭК 60601-2-25-2016ГОСТ Р МЭК 60601-2-25-2016ГОСТ Р МЭК 60601-2-25-2016ГОСТ Р МЭК 60601-2-25-2016ГОСТ Р МЭК 60601-2-25-2016ГОСТ Р МЭК 60601-2-25-2016ГОСТ Р МЭК 60601-2-25-2016ГОСТ Р МЭК 60601-2-25-2016ГОСТ Р МЭК 60601-2-25-2016ГОСТ Р МЭК 60601-2-25-2016ГОСТ Р МЭК 60601-2-25-2016ГОСТ Р МЭК 60601-2-25-2016ГОСТ Р МЭК 60601-2-25-2016ГОСТ Р МЭК 60601-2-25-2016ГОСТ Р МЭК 60601-2-25-2016ГОСТ Р МЭК 60601-2-25-2016ГОСТ Р МЭК 60601-2-25-2016ГОСТ Р МЭК 60601-2-25-2016ГОСТ Р МЭК 60601-2-25-2016ГОСТ Р МЭК 60601-2-25-2016ГОСТ Р МЭК 60601-2-25-2016ГОСТ Р МЭК 60601-2-25-2016ГОСТ Р МЭК 60601-2-25-2016ГОСТ Р МЭК 60601-2-25-2016ГОСТ Р МЭК 60601-2-25-2016ГОСТ Р МЭК 60601-2-25-2016ГОСТ Р МЭК 60601-2-25-2016ГОСТ Р МЭК 60601-2-25-2016ГОСТ Р МЭК 60601-2-25-2016ГОСТ Р МЭК 60601-2-25-2016ГОСТ Р МЭК 60601-2-25-2016ГОСТ Р МЭК 60601-2-25-2016ГОСТ Р МЭК 60601-2-25-2016ГОСТ Р МЭК 60601-2-25-2016ГОСТ Р МЭК 60601-2-25-2016ГОСТ Р МЭК 60601-2-25-2016ГОСТ Р МЭК 60601-2-25-2016ГОСТ Р МЭК 60601-2-25-2016ГОСТ Р МЭК 60601-2-25-2016ГОСТ Р МЭК 60601-2-25-2016ГОСТ Р МЭК 60601-2-25-2016ГОСТ Р МЭК 60601-2-25-2016ГОСТ Р МЭК 60601-2-25-2016ГОСТ Р МЭК 60601-2-25-2016ГОСТ Р МЭК 60601-2-25-2016ГОСТ Р МЭК 60601-2-25-2016ГОСТ Р МЭК 60601-2-25-2016ГОСТ Р МЭК 60601-2-25-2016ГОСТ Р МЭК 60601-2-25-2016ГОСТ Р МЭК 60601-2-25-2016ГОСТ Р МЭК 60601-2-25-2016ГОСТ Р МЭК 60601-2-25-2016ГОСТ Р МЭК 60601-2-25-2016ГОСТ Р МЭК 60601-2-25-2016ГОСТ Р МЭК 60601-2-25-2016ГОСТ Р МЭК 60601-2-25-2016ГОСТ Р МЭК 60601-2-25-2016ГОСТ Р МЭК 60601-2-25-2016ГОСТ Р МЭК 60601-2-25-2016ГОСТ Р МЭК 60601-2-25-2016ГОСТ Р МЭК 60601-2-25-2016ГОСТ Р МЭК 60601-2-25-2016

© 2013 Ёшкин Кот :-) Карта сайта