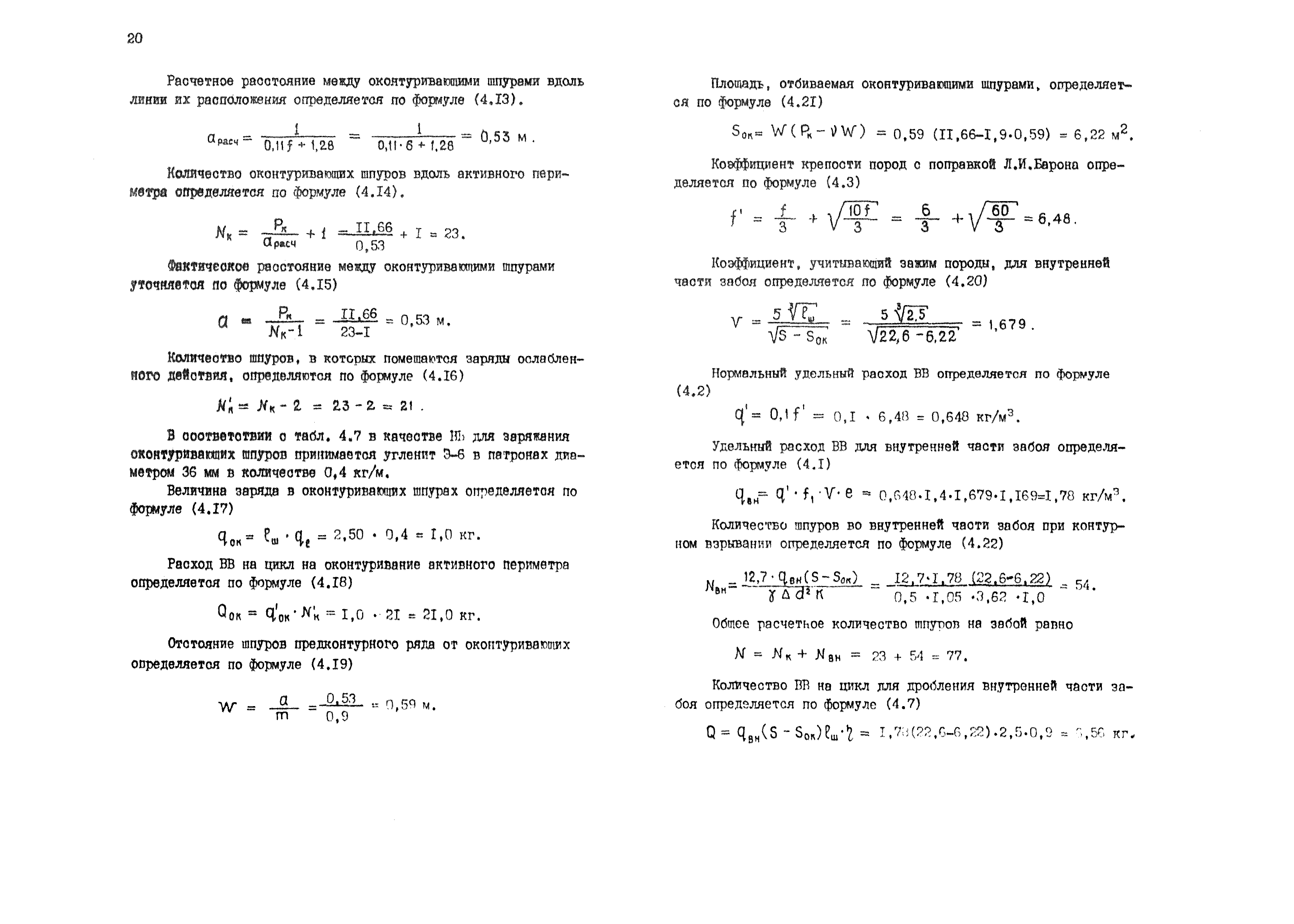
Скачать Технологические схемы проведения горизонтальных протяженных горных выработок сечением в проходке 18 - 20 м2 и наклонных стволовДата актуализации: 10.08.2017
Технологические схемы проведения горизонтальных протяженных горных выработок сечением в проходке 18 - 20 м2 и наклонных стволовСтатус: | cправочные материалы, мп, тпр | Название рус.: | Технологические схемы проведения горизонтальных протяженных горных выработок сечением в проходке 18 - 20 м2 и наклонных стволов | Дата добавления в базу: | 01.02.2017 | Дата актуализации: | 05.05.2017 | Область применения: | Технологические схемы являются пособием для инженерно-технических работников, связанных с ведением и проектированием горнопроходческих работ при строительстве и реконструкции шахт. | Оглавление: | Введение 1 Основные положения 2 Методические указания по разработке технологических схем 3 Выбор горнопроходческих машин, определение эксплуатационной производительности проходческой техники 4 Определение параметров буровзрывных работ 5 Расчет параметров проходческого цикла. . 6 Порядок применения технологических схем 7 Пример расчета параметров проходческого цикла. 8 Расчет проветривания, электроснабжения, сжатого воздуха, водоотлива, пожарно—оросительной системы и транспорта горной массы, техника безопасности Технологические схемы проведения горизонтальных протяженных горных выработок сечением в проходке более 18 - 20 м2 Технологические схемы проведения наклонных стволов Приложение 1. Расчет проветривания выработок и выбор вентиляционного оборудования. Приложение 2. Расчет электроснабжения Приложение 3. Схема расположения оборудования на поверхности при проведении наклонных стволов (вариант со скиповым подъемом) Приложение 4. Схема расположения оборудования на поверхности при проведении наклонных стволов (вариант с конвейерной доставкой) Приложение 5. Проходческие машины и оборудование, их технические характеристики Приложение 6. Гладкостенная тюбинговая крепь (ГТК). Выдвижная консольная предохранительная крепь, железобетонная рудничная шпала Приложение 7. Оборудование пакетно—конвейерной доставки грузов (системы "Пакод") в шахту | Разработан: | КузНИИшахтострой
| Утверждён: | 28.02.1979 Министерство угольной промышленности СССР (USSR Ministry of the Coal Industry )
| Принят: | 27.02.1979 ВО Союзшахтострой
| Расположен в: |
|
                                                                                                                                                                                               
|