Скачать МУ 1397-75 Методические указания на хроматографическое определение 4-хлорбутин-2-ил-N-3-хлорфенилкарбамата (карбин), изопропил-N-фенилкарбамата (ИФК) и изопропил-N-3-хлорфенилкарбамата (хлор-ИФК) в воздухеДата актуализации: 10.08.2017 МУ 1397-75
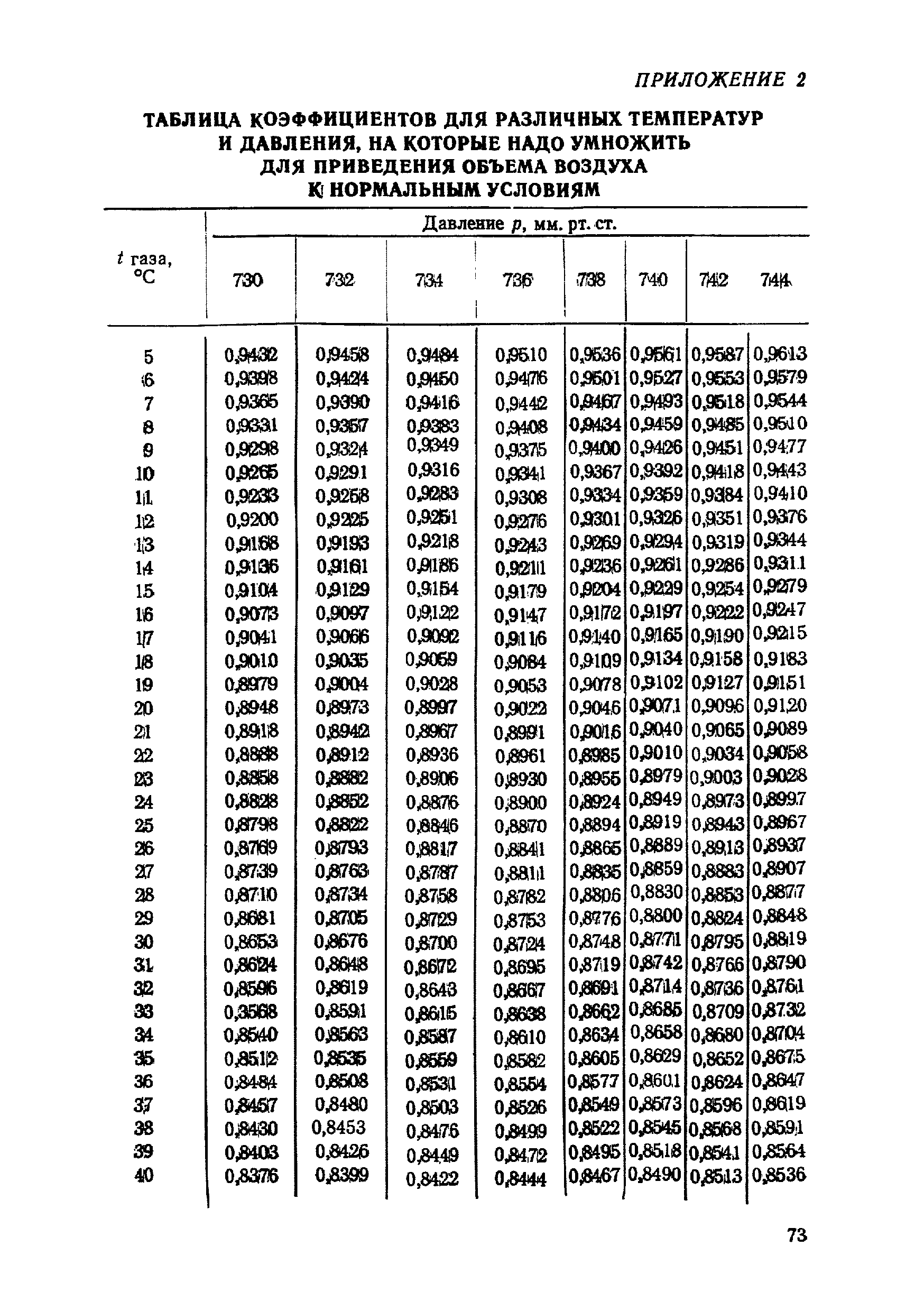
Методические указания на хроматографическое определение 4-хлорбутин-2-ил-N-3-хлорфенилкарбамата (карбин), изопропил-N-фенилкарбамата (ИФК) и изопропил-N-3-хлорфенилкарбамата (хлор-ИФК) в воздухеОбозначение: | МУ 1397-75 | Обозначение англ: | MU 1397-75 | Статус: | действует | Название рус.: | Методические указания на хроматографическое определение 4-хлорбутин-2-ил-N-3-хлорфенилкарбамата (карбин), изопропил-N-фенилкарбамата (ИФК) и изопропил-N-3-хлорфенилкарбамата (хлор-ИФК) в воздухе | Дата добавления в базу: | 01.02.2017 | Дата актуализации: | 05.05.2017 | Область применения: | Указания предназначены для химиков научно-исследовательских институтов, санитарно-эпидемиологических станций, промышленных лабораторий заводов и медико-санитарных частей, а также для промышленно-санитарных врачей | Оглавление: | I Общая часть II Реактивы и аппаратура III Отбор пробы воздуха IV Описание определения Приложения | Утверждён: | 30.12.1975 Заместитель Главного государственного санитарного врача СССР
| Издан: | Рекламинформбюро ММФ (1977 г. )
| Расположен в: |
| Нормативные ссылки: | |
            
|