Информационная система
«Ёшкин Кот»

Скачать базу одним архивом
Скачать обновления
История создания базы
Карта сайта

Скачать ГОСТ ISO 8178-11-2015 Двигатели внутреннего сгорания поршневые. Измерение выброса продуктов сгорания. Часть 11. Стендовые измерения выбросов газов и частиц из двигателей внедорожных транспортных средств на переходных режимах

Дата актуализации: 10.08.2017

ГОСТ ISO 8178-11-2015

Двигатели внутреннего сгорания поршневые. Измерение выброса продуктов сгорания. Часть 11. Стендовые измерения выбросов газов и частиц из двигателей внедорожных транспортных средств на переходных режимах

Обозначение: ГОСТ ISO 8178-11-2015
Обозначение англ: 8178-11-2015
Статус:введен впервые
Название рус.:Двигатели внутреннего сгорания поршневые. Измерение выброса продуктов сгорания. Часть 11. Стендовые измерения выбросов газов и частиц из двигателей внедорожных транспортных средств на переходных режимах
Название англ.:Reciprocating internal combustion engines. Exhaust emission measurement. Part 11. Testbed measurement of gaseous and particulate exhaust emissions from engines used in nonroad mobile machinery under transient test conditions
Дата добавления в базу:01.02.2017
Дата актуализации:05.05.2017
Дата введения:01.04.2017
Область применения:Стандарт распространяется на поршневые двигатели внутреннего сгорания с самовоспламенением от сжатия и устанавливает методы измерения и оценки содержания газообразных вредных веществ и частиц в отработавших газах при стендовых испытаниях на переходных режимах. Специальный цикл переменного нагружения, регламентируемый настоящим стандартом, распространяется на двигатели с самовоспламенением от сжатия мощностью от 37 до 560 кВт за исключением двигателей, используемых на дорожных транспортных средствах. Положения стандарта могут применяться к двигателям внедорожных транспортных средств и промышленного оборудования, согласно 8.3.1.3 ISO 8178-4. К их числу относятся, в частности, двигатели строительных машин, включая автопогрузчики, бульдозеры и гусеничные тракторы, а также двигатели гусеничных и колесных погрузчиков, грузовиков высокой проходимости, гидравлических экскаваторов, сельскохозяйственного оборудования, самодвижущихся сельскохозяйственных машин (в том числе тракторов), лесозаготовительного оборудования, вилочных погрузчиков, дорожных машин и мобильных кранов.
Оглавление:1 Область применения
2 Нормативные ссылки
3 Термины и определения
4 Обозначения и сокращения
   4.1 Общие обозначения
   4.2 Обозначения и сокращения для состава топлива
   4.3 Обозначения и сокращения для химических веществ
   4.4 Сокращения
5 Условия проведения испытаний
   5.1 Условия испытаний двигателей
   5.2 двигатели с охлаждением наддувочного воздуха
   5.3 Мощность
   5.4 Система впуска
   5.5 Система выпуска
   5.6 Система охлаждения
   5.7 Смазочное масло
   5.8 Топливо для испытаний
6 Испытательный цикл
   6.1 Общие положения
   6.2 Общая последовательность испытаний
   6.3 Процедура построения исходной характеристики двигателя
   6.4 Построение эталонного испытательного цикла
   6.5 динамометр
   6.6 Проверка корректности испытаний
7 Проведение испытаний
   7.1 Общие положения
   7.2 Подготовка фильтров для пробоотбора
   7.3 Установка измерительного оборудования
   7.4 Пуск двигателя и подготовка системы разбавления
   7.5 Пуск системы пробоотбора частиц
   7.6 Регулировка степени разбавления
   7.7 Проверка анализаторов
   7.8 Пуск двигателя
   7.9 Испытательный цикл
8 Принципы измерения выбросов
   8.1 Общие положения
   8.2 Эквивалентность
   8.3 Точность
9 Определение содержания газообразных продуктов в неразбавленных отработавших газах и определение содержания частиц с помощью частичнопоточной системы разбавления
   9.1 Общие положения
   9.2 Определение массового расхода отработавших газов
   9.3 Определение содержания газообразных продуктов
   9.4 Определение содержания частиц
10 Определение выбросов газообразных продуктов и частиц с помощью полнопоточной системы разбавления
   10.1 Общие положения
   10.2 Определение расхода разбавленных отработавших газов
   10.3 Определение содержания газообразных выбросов
   10.4 Определение содержания частиц
11 Аппаратура для измерения содержания газообразных продуктов
   11.1 Общие требования к анализаторам
   11.2 Газоанализаторы
   11.3 Калибровка
   11.4 Аналитическая система
12 Оборудование для измерения содержания частиц
   12.1 Общие требования
   12.2 Система разбавления и пробоотбора
   12.3 Калибровка
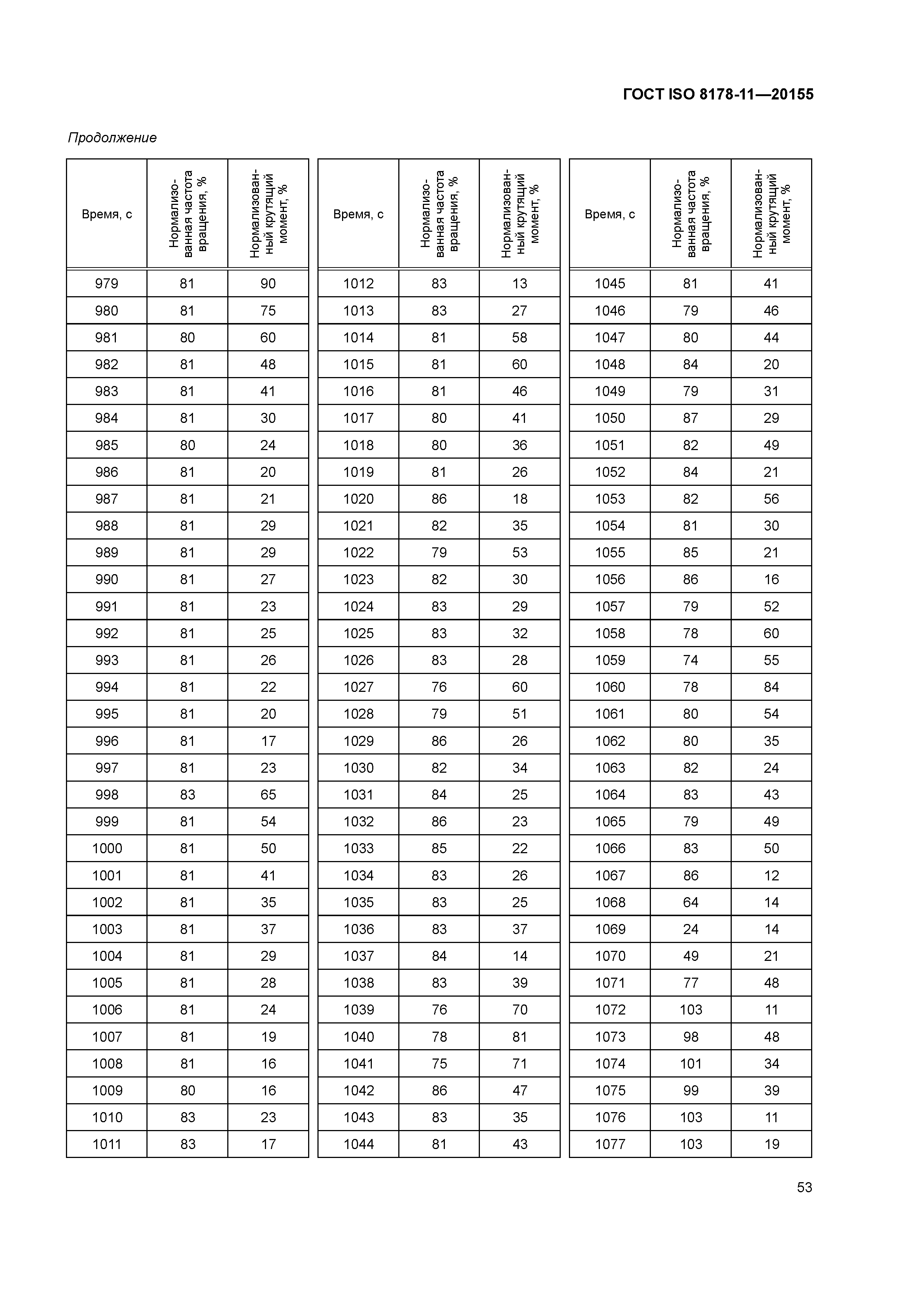
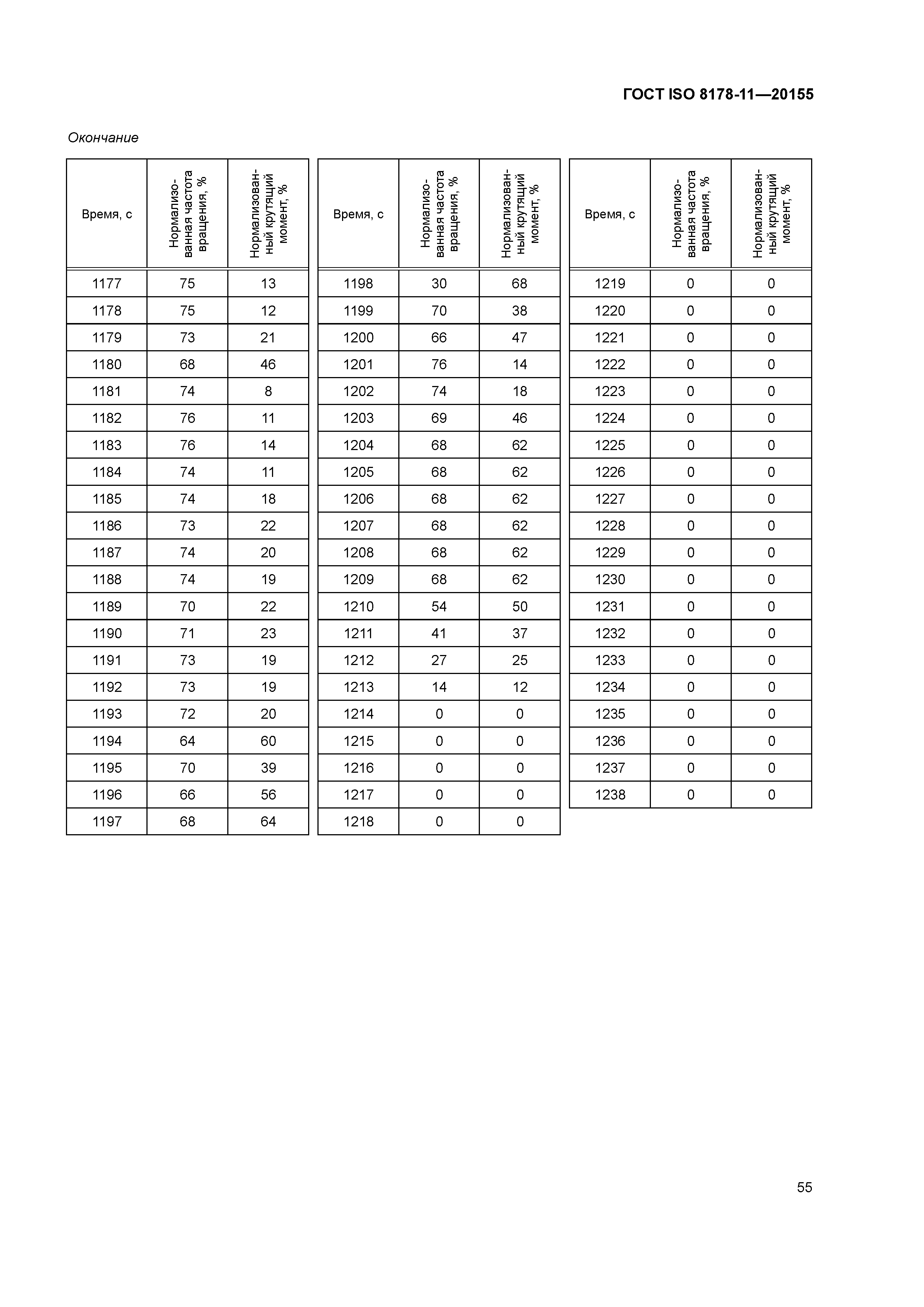
Приложение А (обязательное) Испытательный нагрузочный цикл NRTC
Приложение В (обязательное) Определение эквивалентности системы
Приложение С (обязательное) Определение ошибки пробоотбора в системе
Приложение D (обязательное) Проверка по расходу углерода
Приложение Е (справочное) Пример расчета (для частичнопоточной системы разбавления)
Приложение F (справочное) Цикл с переменным темпом изменения нагрузки (Ramped modal cycle-RMC)
Приложение G (обязательное) Статистические уравнения
Приложение ДА (справочное) Сведения о соответствии ссылочных международных стандартов межгосударственным стандартам
Разработан: ООО ЦНИДИ
Утверждён:12.11.2015 Межгосударственный Совет по стандартизации, метрологии и сертификации (Inter-Governmental Council on Standardization, Metrology, and Certification 82-П)
23.06.2016 Федеральное агентство по техническому регулированию и метрологии (672-ст)
Издан: Стандартинформ (2016 г. )
Расположен в:Техническая документация Электроэнергия ЭНЕРГЕТИКА И ТЕПЛОТЕХНИКА Двигатели внутреннего сгорания Экология ЭНЕРГЕТИКА И ТЕПЛОТЕХНИКА Двигатели внутреннего сгорания
Нормативные ссылки:
ГОСТ ISO 8178-11-2015ГОСТ ISO 8178-11-2015ГОСТ ISO 8178-11-2015ГОСТ ISO 8178-11-2015ГОСТ ISO 8178-11-2015ГОСТ ISO 8178-11-2015ГОСТ ISO 8178-11-2015ГОСТ ISO 8178-11-2015ГОСТ ISO 8178-11-2015ГОСТ ISO 8178-11-2015ГОСТ ISO 8178-11-2015ГОСТ ISO 8178-11-2015ГОСТ ISO 8178-11-2015ГОСТ ISO 8178-11-2015ГОСТ ISO 8178-11-2015ГОСТ ISO 8178-11-2015ГОСТ ISO 8178-11-2015ГОСТ ISO 8178-11-2015ГОСТ ISO 8178-11-2015ГОСТ ISO 8178-11-2015ГОСТ ISO 8178-11-2015ГОСТ ISO 8178-11-2015ГОСТ ISO 8178-11-2015ГОСТ ISO 8178-11-2015ГОСТ ISO 8178-11-2015ГОСТ ISO 8178-11-2015ГОСТ ISO 8178-11-2015ГОСТ ISO 8178-11-2015ГОСТ ISO 8178-11-2015ГОСТ ISO 8178-11-2015ГОСТ ISO 8178-11-2015ГОСТ ISO 8178-11-2015ГОСТ ISO 8178-11-2015ГОСТ ISO 8178-11-2015ГОСТ ISO 8178-11-2015ГОСТ ISO 8178-11-2015ГОСТ ISO 8178-11-2015ГОСТ ISO 8178-11-2015ГОСТ ISO 8178-11-2015ГОСТ ISO 8178-11-2015ГОСТ ISO 8178-11-2015ГОСТ ISO 8178-11-2015ГОСТ ISO 8178-11-2015ГОСТ ISO 8178-11-2015ГОСТ ISO 8178-11-2015ГОСТ ISO 8178-11-2015ГОСТ ISO 8178-11-2015ГОСТ ISO 8178-11-2015ГОСТ ISO 8178-11-2015ГОСТ ISO 8178-11-2015ГОСТ ISO 8178-11-2015ГОСТ ISO 8178-11-2015ГОСТ ISO 8178-11-2015ГОСТ ISO 8178-11-2015ГОСТ ISO 8178-11-2015ГОСТ ISO 8178-11-2015ГОСТ ISO 8178-11-2015ГОСТ ISO 8178-11-2015ГОСТ ISO 8178-11-2015ГОСТ ISO 8178-11-2015ГОСТ ISO 8178-11-2015ГОСТ ISO 8178-11-2015ГОСТ ISO 8178-11-2015ГОСТ ISO 8178-11-2015ГОСТ ISO 8178-11-2015ГОСТ ISO 8178-11-2015ГОСТ ISO 8178-11-2015ГОСТ ISO 8178-11-2015ГОСТ ISO 8178-11-2015ГОСТ ISO 8178-11-2015ГОСТ ISO 8178-11-2015ГОСТ ISO 8178-11-2015

© 2013 Ёшкин Кот :-) Карта сайта