Информационная система
«Ёшкин Кот»

Скачать базу одним архивом
Скачать обновления
История создания базы
Карта сайта

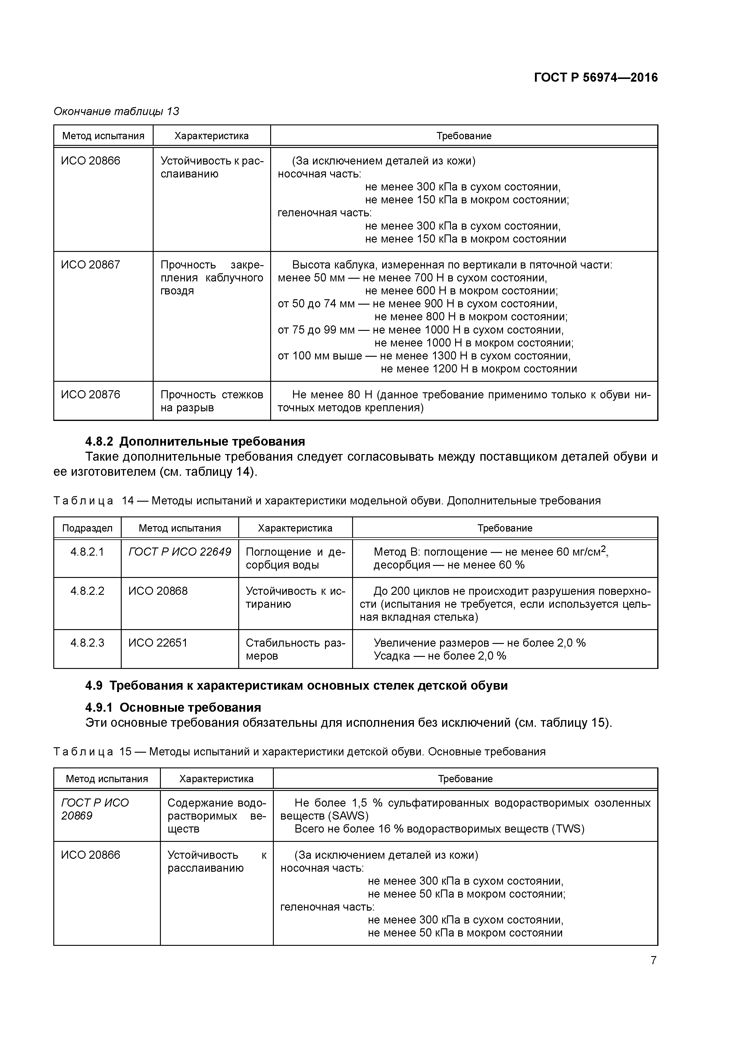
Скачать ГОСТ Р 56974-2016 Обувь. Требования к характеристикам деталей обуви. Основные стельки

Дата актуализации: 10.08.2017

ГОСТ Р 56974-2016

Обувь. Требования к характеристикам деталей обуви. Основные стельки

Обозначение: ГОСТ Р 56974-2016
Обозначение англ: GOST R 56974-2016
Статус:принят
Название рус.:Обувь. Требования к характеристикам деталей обуви. Основные стельки
Название англ.:Footwear. Performance requirements for components for footwear. Insoles
Дата добавления в базу:01.02.2017
Дата актуализации:05.05.2017
Дата введения:20.06.2016
Дата окончания срока действия:01.07.2017
Область применения:Стандарт устанавливает требования к характеристикам деталей обуви - основных стелек (не в готовой обуви), независимо от материала, с целью оценки их пригодности для конечного использования. Стандарт также устанавливает методы, используемые для оценки соответствия предъявленным требованиям. Стандарт применим к основным стелькам обуви всех видов, приведенных в разделе 3. Стандарт предназначен для использования изготовителем и поставщиком обуви в качестве нормативного документа. Стандарт не предназначен для использования в качестве ссылочного нормативного документа для сертификации третьей стороной готовой обуви, поступающей к потребителю.
Оглавление:1 Область применения
2 Нормативные ссылки
3 Термины и определения
4 Требования
5 Маркирование и этикетирование
Приложение ДА (справочное) Сведения о соответствии национальных стандартов Российской Федерации и действующих в этом качестве межгосударственных стандартов международным стандартам, использованным в качестве ссылочных в примененном международном документе
Разработан: ОАО ВНИИС
ТК 412 Текстиль
Утверждён:20.06.2016 Федеральное агентство по техническому регулированию и метрологии (652-ст)
Издан: Стандартинформ (2016 г. )
Расположен в:Техническая документация Электроэнергия ШВЕЙНАЯ ПРОМЫШЛЕННОСТЬ Обувь Экология ШВЕЙНАЯ ПРОМЫШЛЕННОСТЬ Обувь
Нормативные ссылки:
ГОСТ Р 56974-2016ГОСТ Р 56974-2016ГОСТ Р 56974-2016ГОСТ Р 56974-2016ГОСТ Р 56974-2016ГОСТ Р 56974-2016ГОСТ Р 56974-2016ГОСТ Р 56974-2016ГОСТ Р 56974-2016ГОСТ Р 56974-2016ГОСТ Р 56974-2016ГОСТ Р 56974-2016ГОСТ Р 56974-2016ГОСТ Р 56974-2016ГОСТ Р 56974-2016

© 2013 Ёшкин Кот :-) Карта сайта