Скачать ГОСТ Р 56947-2016 Информационные технологии. Интерфейс интеллектуального преобразователя для датчиков и исполнительных устройств. Общие функции, протоколы взаимодействия и форматы электронной таблицы данных преобразователя (ЭТДП)Дата актуализации: 10.08.2017 ГОСТ Р 56947-2016
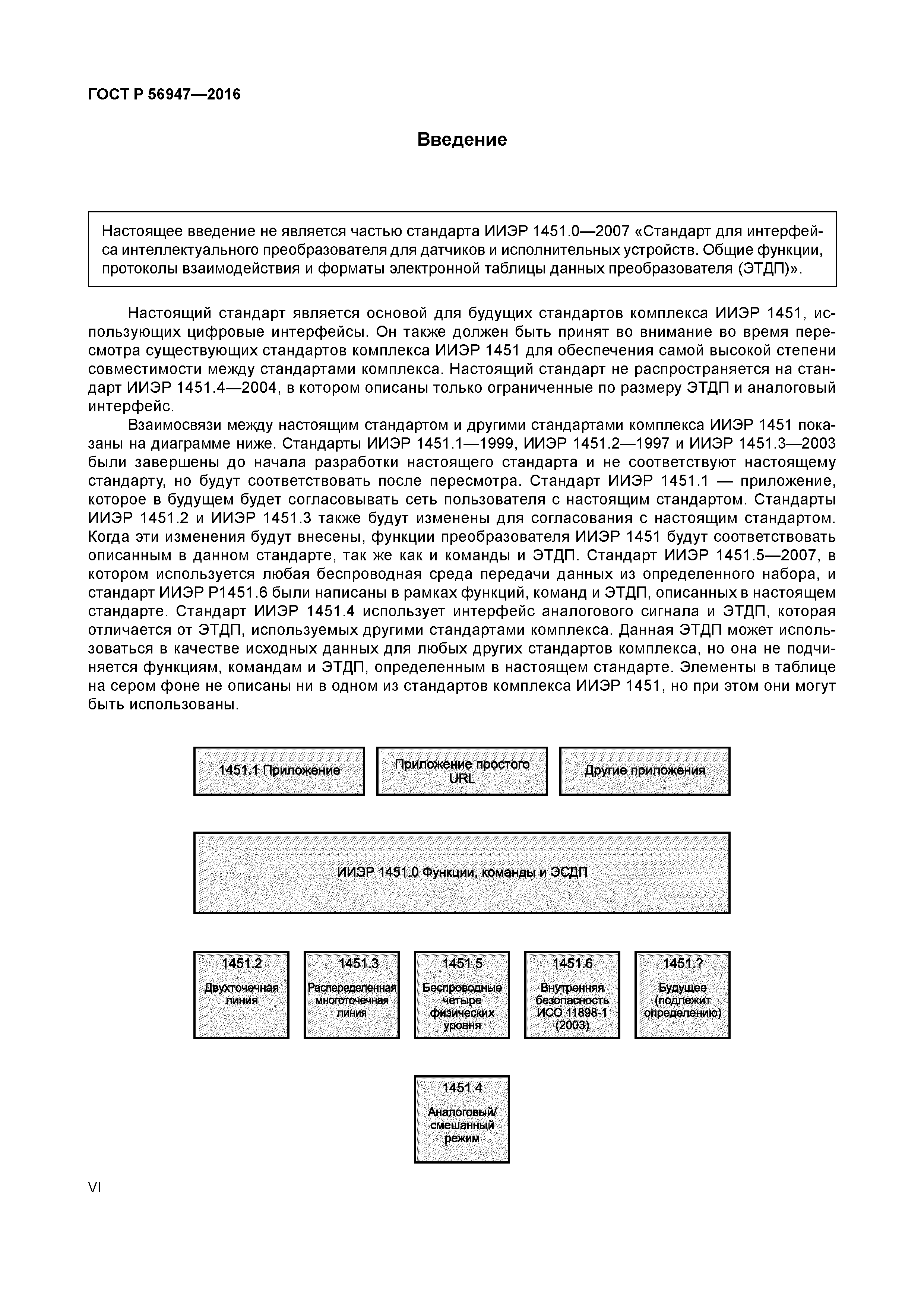
Информационные технологии. Интерфейс интеллектуального преобразователя для датчиков и исполнительных устройств. Общие функции, протоколы взаимодействия и форматы электронной таблицы данных преобразователя (ЭТДП)Обозначение: | ГОСТ Р 56947-2016 | Обозначение англ: | GOST R 56947-2016 | Статус: | принят | Название рус.: | Информационные технологии. Интерфейс интеллектуального преобразователя для датчиков и исполнительных устройств. Общие функции, протоколы взаимодействия и форматы электронной таблицы данных преобразователя (ЭТДП) | Название англ.: | Information technologies. Smart transducer interface for sensors and actuators. Common functions, communication protocols, and transducer electronic data Sheet (TEDS) formats | Дата добавления в базу: | 01.02.2017 | Дата актуализации: | 05.05.2017 | Дата введения: | 07.06.2016 | Дата окончания срока действия: | 01.07.2017 | Область применения: | В стандарте введены понятия интерфейсного модуля преобразователя (ИМП) (transducer interface module, TIM) и сетевого процессора приложений (СПП) (network capable application processor, NCAP), связанных с помощью передающей среды, которая определена в другом стандарте комплекса ИИЭР 1451. ИМП-это модуль, который содержит интерфейс, обработку сигнала, аналого-цифровое и цифро-аналоговое преобразования и во многих случаях преобразователь. ИМП может представлять собой как один датчик или исполнительное устройство, так и блоки, состоящие из нескольких преобразователей (датчиков и исполнительных устройств). СПП-это совокупность аппаратного и программного обеспечения, которое выполняет функцию шлюза между модулями ИМП и пользовательской сетью или главным процессором. В другом стандарте комплекса определен интерфейс связи между СПП или главным процессором и одним или несколькими ИМП. В стандарте описаны три типа преобразователей: датчики, датчики событий и исполнительные устройства. | Оглавление: | 1 Общие положения 1.1 Область применения 1.2 Цели 1.3 Соответствие 2 Нормативные ссылки 3 Термины и определения, обозначения и сокращения 3.1 Термины и определения 3.2 Сокращения 4 Типы данных 4.1 8-разрядное целое число без знака 4.2 16-разрядное целое число без знака 4.3 32-разрядное целое число со знаком 4.4 32-разрядное целое число без знака 4.5 Действительное число одинарной точности 4.6 Действительное число двойной точности 4.7 Тип данных String (тип данных "строка") 4.8 Тип Boolean (логический тип данных) 4.9 Класс "IЕЕЕ 1451Dot0::Args::TimeRepresentation" (класс "ИИЭР1451.0::Аргументы::Представление времени") 4.10 Типы данных для соответствующих приложений 4.11 Физические единицы измерения 4.12 Универсальная уникальная идентификация (УУИД) 4.13 Произвольный байтовый массив 4.14 Массив строк 4.15 Массив логических данных 4.16 Массив 8-разрядных целых чисел со знаком 4.17 Массив 16-разрядных целых чисел со знаком 4.18 Массив 32-разрядных целых чисел со знаком 4.19 Массив 8-битовых целых чисел без знака 4.20 Массив 16-битовых целых чисел без знака 4.21 Массив 32-битовых целых чисел без знака 4.22 Массив вещественных чисел одинарной точности 4.23 Массив вещественных чисел двойной точности 4.24 Массив типов данных TimeDuration 4.25 Массив типов данных TimeInstance 5 Функциональная спецификация интеллектуальных преобразователей 5.1 Базовая модель комплекса стандартов ИИЭР 1451 5.2 Возможность автоматической конфигурации (plug-and-play) 5.3 Адреса 5.4 Общие характеристики 5.5 Электронная таблица данных преобразователя (ЭТДП, TEDS) 5.6 Описание типов канала преобразователя 5.7 Встроенные каналы преобразователя 5.8 Группы каналов преобразователя 5.9 Прокси-канал преобразователя 5.10 Атрибуты и рабочие режимы 5.11 Использование триггеров 5.12 Синхронизация 5.13 Состояние (статус) 5.14 Логика сервисного запроса 5.15 Возможность горячей замены 6 Структура сообщений 6.1 Порядок передачи данных. Значимость битов 6.2 Структура командных сообщений 6.3 Ответные сообщения 6.4 Структура сообщений, инициируемых ИМП 7 Команды 7.1 Стандартные команды 7.2 Команды, определенные изготовителем 8 Спецификация ЭТДП 8.1 Общий формат для ЭТДП 8.2 Порядок байтов в числовых полях 8.3 Поле "TEDSID" ("Заголовок для идентификации ЭТДП") 8.4 Мета-ЭТДП 8.5 ЭТДП канала преобразователя 8.6 ЭТДП калибровки 8.7 ЭТДП частотной характеристики 8.8 ЭТДП передаточной функции 8.9 Текстовая ЭТДП 8.10 Специализированная ЭТДП конечного пользователя 8.11 ЭТДП с именем преобразователя, заданным пользователем 8.12 ЭТДП, заданная изготовителем 8.13 ЭТДП физического уровня 9 Введение в прикладной программный интерфейс (АРI) уровня ИИЭР 1451.0 9.1 Задачи АРI 9.2 Проектные решения АРI 9.3 Модуль "IЕЕЕ1451Dot0" 10 АРI сервисов преобразователя 10.1 Интерфейс обнаружения ИМП "IЕЕЕ1451Dot0::TransducerServices::TIMDiscovery" 10.2 Интерфейс доступа к преобразователю 10.3 Интерфейс управления преобразователем "IЕЕЕ1451Dot0::TransducerServices::TransducerManager" 10.4 Интерфейс управления ЭТДП "IЕЕЕ1451Dot0::TransducerServices::TedsManager" 10.5 Интерфейс управления связями "IЕЕЕ1451Dot0::TransducerServices::CommManager" 10.6 Интерфейс ответа приложениям "IЕЕЕ1451Dot0::TransducerServices::AppCallback" 11 АРI модульных связей 11.1 Абстрактный интерфейс "IЕЕЕ1451Dot0::ModuleCommunication::Comm" 11.2 Интерфейс "IЕЕЕ1451Dot0::ModuleCommunication::P2PComm" 11.3 Интерфейс "IЕЕЕ1451Dot0::ModuleCommunication::NetComm" 11.4 Интерфейс регистрации "IЕЕЕ1451Dot0::ModuleCommunication::Registration" 11.5 Интерфейс "IЕЕЕ1451Dot0::ModuleCommunication::P2PRegistration" 11.6 Интерфейс "IЕЕЕ1451Dot0::ModuleCommunication::NetRegistration" 11.7 Интерфейс "IЕЕЕ1451Dot0::ModuleCommunication::Receive" 11.8 Интерфейс "IЕЕЕ1451Dot0::ModuleCommunication::P2PReceive" 11.9 Интерфейс "IЕЕЕ1451Dot0::ModuleCommunication::NetReceive" 12 Протокол HTTP 12.1 АРI на основе протокола HTTP стандарта ИИЭР 1451.0 12.2 АРI обнаружения 12.3 АРI доступа к преобразователю 12.4 АРI управления ЭТДП 12.5 АРI управления преобразователем Приложение А (справочное) Библиография Приложение В (справочное) Руководящие указания для интерфейса сервисов преобразователя Приложение С (справочное) Руководящие указания для интерфейса модульных связей Приложение D (справочное) XML-схема для текстовых ЭТДП Приложение Е (справочное) Пример ЭТДП мета-идентификации Приложение F (справочное) Пример ЭТДП идентификации канала преобразователя Приложение G (справочное) Пример ЭТДП идентификации калибровки Приложение Н (справочное) Пример командной ЭТДП Приложение I (справочное) Пример ЭТДП места нахождения и заголовка Приложение J (справочное) Пример ЭТДП с расширенным набором единиц измерения Приложение К (справочное) Примеры физических единиц Приложение L (справочное) Протоколы считывания и записи ЭТДП Приложение М (справочное) Конфигурации логических блоков триггера Приложение N (справочное) Система обозначений для IDL Приложение О (справочное) Реализация ЭТДП простого датчика Приложение Р (справочное) Список участников ИИЭР Приложение ДА (справочное) Сведения о соответствии ссылочных международных стандартов национальным стандартам Российской Федерации | Разработан: | Ассоциация автоматической идентификации ЮНИСКАН/ГС1 РУС НИИЦ БТ МГТУ им. Баумана
| Утверждён: | 07.06.2016 Федеральное агентство по техническому регулированию и метрологии (533-ст)
| Издан: | Стандартинформ (2016 г. )
| Расположен в: |
| Нормативные ссылки: | |
                                                                                                                                                                                                                                                                                         
|