Информационная система
«Ёшкин Кот»

Скачать базу одним архивом
Скачать обновления
История создания базы
Карта сайта

Скачать ГОСТ Р ИСО/ТС 10303-1245-2015 Системы автоматизации производства и их интеграция. Представление данных об изделии и обмен этими данными. Часть 1245. Прикладной модуль. Категорирование сотрудников

Дата актуализации: 10.08.2017

ГОСТ Р ИСО/ТС 10303-1245-2015

Системы автоматизации производства и их интеграция. Представление данных об изделии и обмен этими данными. Часть 1245. Прикладной модуль. Категорирование сотрудников

Обозначение: ГОСТ Р ИСО/ТС 10303-1245-2015
Обозначение англ: GOST R ISO/TS 10303-1245-2015
Статус:введен впервые
Название рус.:Системы автоматизации производства и их интеграция. Представление данных об изделии и обмен этими данными. Часть 1245. Прикладной модуль. Категорирование сотрудников
Название англ.:Industrial automation systems and integration. Product data representation and exchange. Part 1245. Application module. Type of person
Дата добавления в базу:01.02.2017
Дата актуализации:05.05.2017
Дата введения:01.11.2016
Область применения:Стандарт определяет прикладной модуль «Категорирование сотрудников». В область применения стандарта входят: - определение типа сотрудника; - связи между определениями типов сотрудников; - связь типа сотрудника, играющего некоторую роль, с данными о действии или данными об изделии; - классификация типов сотрудников; - спецификация свойств, требуемых для сотрудников данного типа, включающих квалификацию и опыт. В область применения стандарта не входит информация, относящаяся к отдельному сотруднику.
Оглавление:1 Область применения
2 Нормативные ссылки
3 Термины и сокращения
   3.1 Термины, определенные в ИСО 10303-1
   3.2 Термин, определенный в ИСО 10303-202
   3.3 Термины, определенные в ИСО/ТС 10303-1001
   3.4 Термин, определенный в ИСО/ТС 10303-1017
   3.5 Сокращения
4 Информационные требования
   4.1 ПЭМ, необходимые для прикладного модуля
   4.2 Определения типов данных ПЭМ
   4.3 Определение объектов ПЭМ
5 Интерпретированная модель модуля (ИММ)
   5.1 Спецификация отображения
   5.2 Сокращенный листинг ИММ на языке EXPRESS
Приложение А (обязательное) Сокращенное наименование объекта ИММ
Приложение В (обязательное) Регистрация информационных объектов
Приложение С (справочное) EXPRESS-G диаграммы ПЭМ
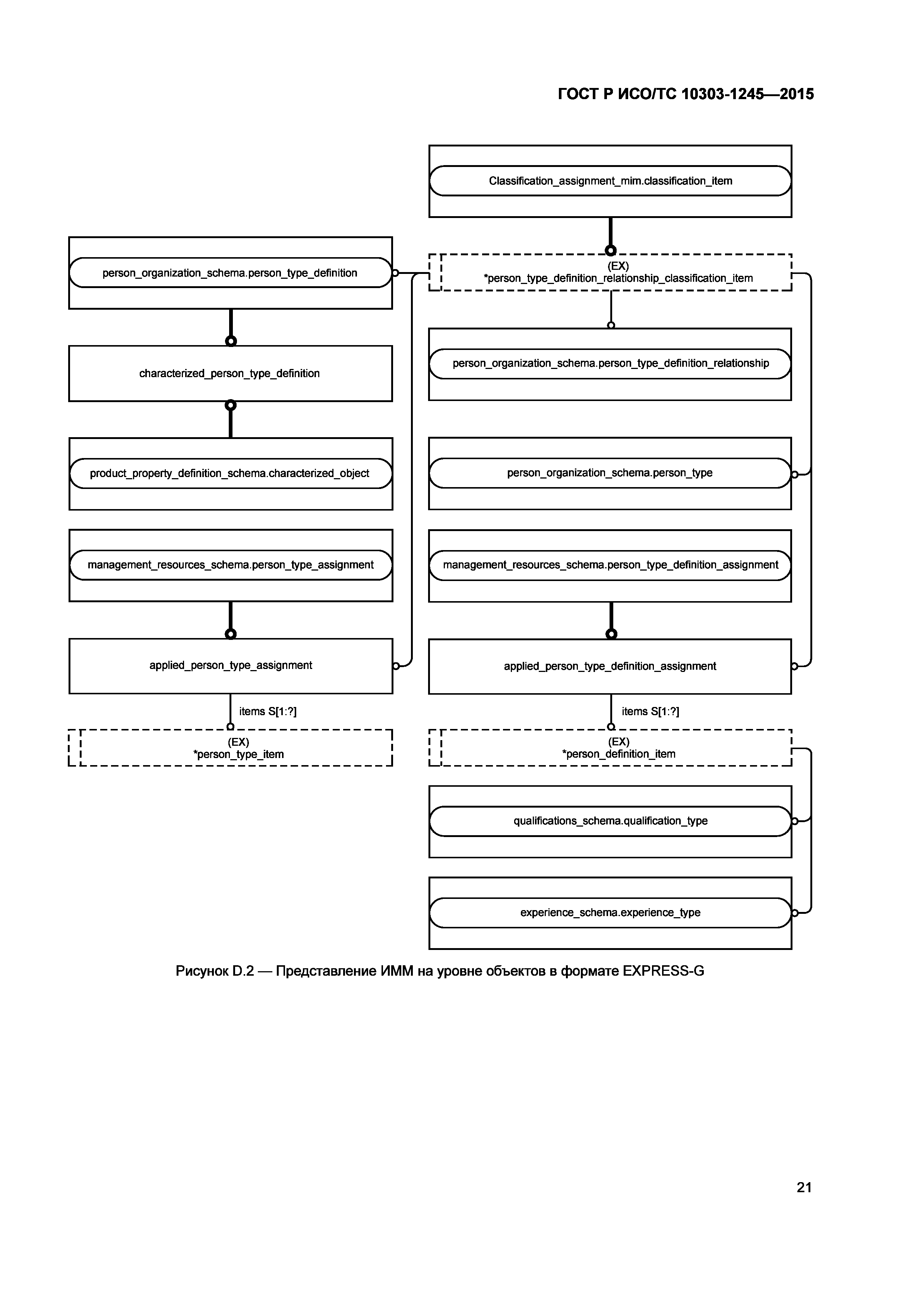
Приложение D (справочное) EXPRESS-G диаграммы ИММ
Приложение Е (справочное) Машинно-интерпретируемые листинги
Приложение ДА (справочное) Сведения о соответствии ссылочных международных стандартов и документов национальным стандартам Российской Федерации
Библиография
Разработан: ТК 459 Информационная поддержка жизненного цикла изделий
Утверждён:30.12.2015 Федеральное агентство по техническому регулированию и метрологии (2239-ст)
Издан: Стандартинформ (2016 г. )
Расположен в:Техническая документация Электроэнергия МАШИНОСТРОЕНИЕ Промышленные автоматизированные системы Измерение и контроль производственного процесса Экология МАШИНОСТРОЕНИЕ Промышленные автоматизированные системы Измерение и контроль производственного процесса
Нормативные ссылки:
ГОСТ Р ИСО/ТС 10303-1245-2015ГОСТ Р ИСО/ТС 10303-1245-2015ГОСТ Р ИСО/ТС 10303-1245-2015ГОСТ Р ИСО/ТС 10303-1245-2015ГОСТ Р ИСО/ТС 10303-1245-2015ГОСТ Р ИСО/ТС 10303-1245-2015ГОСТ Р ИСО/ТС 10303-1245-2015ГОСТ Р ИСО/ТС 10303-1245-2015ГОСТ Р ИСО/ТС 10303-1245-2015ГОСТ Р ИСО/ТС 10303-1245-2015ГОСТ Р ИСО/ТС 10303-1245-2015ГОСТ Р ИСО/ТС 10303-1245-2015ГОСТ Р ИСО/ТС 10303-1245-2015ГОСТ Р ИСО/ТС 10303-1245-2015ГОСТ Р ИСО/ТС 10303-1245-2015ГОСТ Р ИСО/ТС 10303-1245-2015ГОСТ Р ИСО/ТС 10303-1245-2015ГОСТ Р ИСО/ТС 10303-1245-2015ГОСТ Р ИСО/ТС 10303-1245-2015ГОСТ Р ИСО/ТС 10303-1245-2015ГОСТ Р ИСО/ТС 10303-1245-2015ГОСТ Р ИСО/ТС 10303-1245-2015ГОСТ Р ИСО/ТС 10303-1245-2015ГОСТ Р ИСО/ТС 10303-1245-2015ГОСТ Р ИСО/ТС 10303-1245-2015ГОСТ Р ИСО/ТС 10303-1245-2015ГОСТ Р ИСО/ТС 10303-1245-2015ГОСТ Р ИСО/ТС 10303-1245-2015

© 2013 Ёшкин Кот :-) Карта сайта