Информационная система
«Ёшкин Кот»

Скачать базу одним архивом
Скачать обновления
История создания базы
Карта сайта

Скачать ГОСТ Р ИСО/МЭК 10373-6-2015 Карты идентификационные. Методы испытаний. Часть 6. Карты близкого действия

Дата актуализации: 10.08.2017

ГОСТ Р ИСО/МЭК 10373-6-2015

Карты идентификационные. Методы испытаний. Часть 6. Карты близкого действия

Обозначение: ГОСТ Р ИСО/МЭК 10373-6-2015
Обозначение англ: GOST R ISO/IEC 10373-6-2015
Статус:введен впервые
Название рус.:Карты идентификационные. Методы испытаний. Часть 6. Карты близкого действия
Название англ.:Identification cards. Test methods. Part 6. Proximity cards
Дата добавления в базу:01.02.2017
Дата актуализации:05.05.2017
Дата введения:01.07.2016
Область применения:Стандарты серии ИСО/МЭК 10373 устанавливают методы испытаний для определения характеристик идентификационных карт, соответствующих определению, приведенному в ИСО/МЭК 7810 (далее - карты). В каждом методе испытания имеется ссылка на один или несколько базовых стандартов, которыми могут быть ИСО/МЭК 7810 либо один или несколько дополнительных стандартов, устанавливающих требования к технологиям хранения информации, применяемым в картах. Стандарт устанавливает методы испытаний для карт и объектов близкого действия и соответствующего терминального оборудования, требования к которым установлены в ИСО/МЭК 14443-1:2008, ИСО/МЭК 14443-2:2010, ИСО/МЭК 14443-3:2011 и ИСО/МЭК 14443-4:2008. ИСО/МЭК 10373-1 определяет методы испытаний, являющиеся общими для одной или нескольких технологий хранения информации в картах на интегральных схемах, а остальные стандарты серии ИСО/МЭК 10373 устанавливают другие методы испытаний, предназначенные для других технологий.
Оглавление:1 Область применения
2 Нормативные ссылки
3 Термины, определения, обозначения и сокращения
   3.1 Термины и определения
   3.2 Обозначения и сокращения
4 Нормальные условия испытаний
   4.1 Нормальные климатические условия
   4.2 Предварительное кондиционирование
   4.3 допускаемые отклонения
   4.4 Паразитная индуктивность
   4.5 Суммарная погрешность измерений
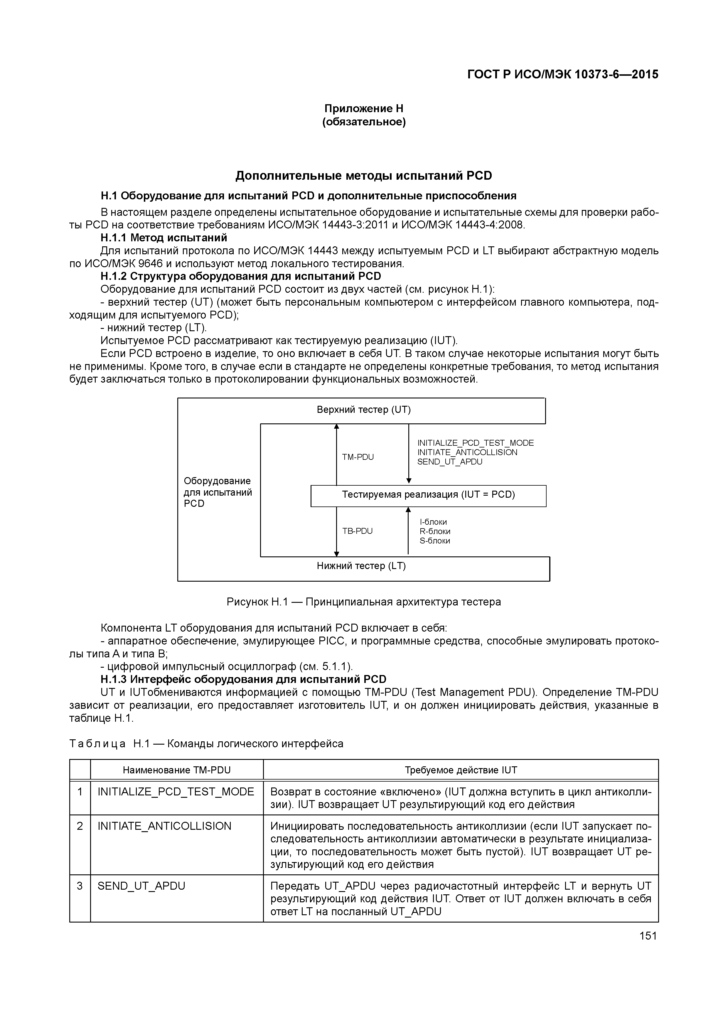
5 Оборудование и схемы для испытаний по параметрам, установленным в ИСО/МЭК 14443-1 и ИСО/МЭК 14443-2
   5.1 Минимальные требования к средствам измерений
   5.2 Калибровочная катушка
   5.3 Испытательная установка PCD
   5.4 Эталонные PICC
   5.5 Испытательная установка EMD
6 Испытания по параметрам, установленным в ИСО/МЭК 14443-1
   6.1 Испытания PCD
   6.2 Испытания PICC
7 Испытания по параметрам, установленным в ИСО/МЭК 14443-2
   7.1 Испытания PCD
   7.2 Испытания PICC
8 Испытание по параметрам, установленным в ИСО/МЭК 14443-3 и ИСО/МЭК 14443-4
   8.1 Испытания PCD
   8.2 Испытания PICC
Приложение А (обязательное) Испытательная антенна PCD 1
Приложение В (справочное) Настройка испытательной антенны PCD
Приложение С (обязательное) Катушки считывания
Приложение D (обязательное) Эталонные PICC
Приложение Е (обязательное) Инструментарий для анализа формы сигнала и определения коэффициента модуляции
Приложение F (справочное) Программа для вычисления спектра
Приложение G (обязательное) дополнительные методы испытаний PICC
Приложение Н (обязательное) дополнительные методы испытаний PCD
Приложение I (обязательное) Методы испытания PCD для выбора высокой скорости передачи.
Приложение J (справочное) Программа для измерения уровня EMD
Приложение ДА (справочное) Сведения о соответствии ссылочных международных стандартов национальным стандартам Российской Федерации и межгосударственным стандартам
Библиография
Разработан: ТК 22 Информационные технологии
ФГУП ВНИИНМАШ
Утверждён:22.06.2015 Федеральное агентство по техническому регулированию и метрологии (773-ст)
Издан: Стандартинформ (2015 г. )
Расположен в:Техническая документация Электроэнергия ИНФОРМАЦИОННЫЕ ТЕХНОЛОГИИ. МАШИНЫ КОНТОРСКИЕ Применение информационных технологий Идентификационные карточки и связанные с ними устройства Экология ИНФОРМАЦИОННЫЕ ТЕХНОЛОГИИ. МАШИНЫ КОНТОРСКИЕ Применение информационных технологий Идентификационные карточки и связанные с ними устройства
Нормативные ссылки:
ГОСТ Р ИСО/МЭК 10373-6-2015ГОСТ Р ИСО/МЭК 10373-6-2015ГОСТ Р ИСО/МЭК 10373-6-2015ГОСТ Р ИСО/МЭК 10373-6-2015ГОСТ Р ИСО/МЭК 10373-6-2015ГОСТ Р ИСО/МЭК 10373-6-2015ГОСТ Р ИСО/МЭК 10373-6-2015ГОСТ Р ИСО/МЭК 10373-6-2015ГОСТ Р ИСО/МЭК 10373-6-2015ГОСТ Р ИСО/МЭК 10373-6-2015ГОСТ Р ИСО/МЭК 10373-6-2015ГОСТ Р ИСО/МЭК 10373-6-2015ГОСТ Р ИСО/МЭК 10373-6-2015ГОСТ Р ИСО/МЭК 10373-6-2015ГОСТ Р ИСО/МЭК 10373-6-2015ГОСТ Р ИСО/МЭК 10373-6-2015ГОСТ Р ИСО/МЭК 10373-6-2015ГОСТ Р ИСО/МЭК 10373-6-2015ГОСТ Р ИСО/МЭК 10373-6-2015ГОСТ Р ИСО/МЭК 10373-6-2015ГОСТ Р ИСО/МЭК 10373-6-2015ГОСТ Р ИСО/МЭК 10373-6-2015ГОСТ Р ИСО/МЭК 10373-6-2015ГОСТ Р ИСО/МЭК 10373-6-2015ГОСТ Р ИСО/МЭК 10373-6-2015ГОСТ Р ИСО/МЭК 10373-6-2015ГОСТ Р ИСО/МЭК 10373-6-2015ГОСТ Р ИСО/МЭК 10373-6-2015ГОСТ Р ИСО/МЭК 10373-6-2015ГОСТ Р ИСО/МЭК 10373-6-2015ГОСТ Р ИСО/МЭК 10373-6-2015ГОСТ Р ИСО/МЭК 10373-6-2015ГОСТ Р ИСО/МЭК 10373-6-2015ГОСТ Р ИСО/МЭК 10373-6-2015ГОСТ Р ИСО/МЭК 10373-6-2015ГОСТ Р ИСО/МЭК 10373-6-2015ГОСТ Р ИСО/МЭК 10373-6-2015ГОСТ Р ИСО/МЭК 10373-6-2015ГОСТ Р ИСО/МЭК 10373-6-2015ГОСТ Р ИСО/МЭК 10373-6-2015ГОСТ Р ИСО/МЭК 10373-6-2015ГОСТ Р ИСО/МЭК 10373-6-2015ГОСТ Р ИСО/МЭК 10373-6-2015ГОСТ Р ИСО/МЭК 10373-6-2015ГОСТ Р ИСО/МЭК 10373-6-2015ГОСТ Р ИСО/МЭК 10373-6-2015ГОСТ Р ИСО/МЭК 10373-6-2015ГОСТ Р ИСО/МЭК 10373-6-2015ГОСТ Р ИСО/МЭК 10373-6-2015ГОСТ Р ИСО/МЭК 10373-6-2015ГОСТ Р ИСО/МЭК 10373-6-2015ГОСТ Р ИСО/МЭК 10373-6-2015ГОСТ Р ИСО/МЭК 10373-6-2015ГОСТ Р ИСО/МЭК 10373-6-2015ГОСТ Р ИСО/МЭК 10373-6-2015ГОСТ Р ИСО/МЭК 10373-6-2015ГОСТ Р ИСО/МЭК 10373-6-2015ГОСТ Р ИСО/МЭК 10373-6-2015ГОСТ Р ИСО/МЭК 10373-6-2015ГОСТ Р ИСО/МЭК 10373-6-2015ГОСТ Р ИСО/МЭК 10373-6-2015ГОСТ Р ИСО/МЭК 10373-6-2015ГОСТ Р ИСО/МЭК 10373-6-2015ГОСТ Р ИСО/МЭК 10373-6-2015ГОСТ Р ИСО/МЭК 10373-6-2015ГОСТ Р ИСО/МЭК 10373-6-2015ГОСТ Р ИСО/МЭК 10373-6-2015ГОСТ Р ИСО/МЭК 10373-6-2015ГОСТ Р ИСО/МЭК 10373-6-2015ГОСТ Р ИСО/МЭК 10373-6-2015ГОСТ Р ИСО/МЭК 10373-6-2015ГОСТ Р ИСО/МЭК 10373-6-2015ГОСТ Р ИСО/МЭК 10373-6-2015ГОСТ Р ИСО/МЭК 10373-6-2015ГОСТ Р ИСО/МЭК 10373-6-2015ГОСТ Р ИСО/МЭК 10373-6-2015ГОСТ Р ИСО/МЭК 10373-6-2015ГОСТ Р ИСО/МЭК 10373-6-2015ГОСТ Р ИСО/МЭК 10373-6-2015ГОСТ Р ИСО/МЭК 10373-6-2015ГОСТ Р ИСО/МЭК 10373-6-2015ГОСТ Р ИСО/МЭК 10373-6-2015ГОСТ Р ИСО/МЭК 10373-6-2015ГОСТ Р ИСО/МЭК 10373-6-2015ГОСТ Р ИСО/МЭК 10373-6-2015ГОСТ Р ИСО/МЭК 10373-6-2015ГОСТ Р ИСО/МЭК 10373-6-2015ГОСТ Р ИСО/МЭК 10373-6-2015ГОСТ Р ИСО/МЭК 10373-6-2015ГОСТ Р ИСО/МЭК 10373-6-2015ГОСТ Р ИСО/МЭК 10373-6-2015ГОСТ Р ИСО/МЭК 10373-6-2015ГОСТ Р ИСО/МЭК 10373-6-2015ГОСТ Р ИСО/МЭК 10373-6-2015ГОСТ Р ИСО/МЭК 10373-6-2015ГОСТ Р ИСО/МЭК 10373-6-2015ГОСТ Р ИСО/МЭК 10373-6-2015ГОСТ Р ИСО/МЭК 10373-6-2015ГОСТ Р ИСО/МЭК 10373-6-2015ГОСТ Р ИСО/МЭК 10373-6-2015ГОСТ Р ИСО/МЭК 10373-6-2015ГОСТ Р ИСО/МЭК 10373-6-2015ГОСТ Р ИСО/МЭК 10373-6-2015ГОСТ Р ИСО/МЭК 10373-6-2015ГОСТ Р ИСО/МЭК 10373-6-2015ГОСТ Р ИСО/МЭК 10373-6-2015ГОСТ Р ИСО/МЭК 10373-6-2015ГОСТ Р ИСО/МЭК 10373-6-2015ГОСТ Р ИСО/МЭК 10373-6-2015ГОСТ Р ИСО/МЭК 10373-6-2015ГОСТ Р ИСО/МЭК 10373-6-2015ГОСТ Р ИСО/МЭК 10373-6-2015ГОСТ Р ИСО/МЭК 10373-6-2015ГОСТ Р ИСО/МЭК 10373-6-2015ГОСТ Р ИСО/МЭК 10373-6-2015ГОСТ Р ИСО/МЭК 10373-6-2015ГОСТ Р ИСО/МЭК 10373-6-2015ГОСТ Р ИСО/МЭК 10373-6-2015ГОСТ Р ИСО/МЭК 10373-6-2015ГОСТ Р ИСО/МЭК 10373-6-2015ГОСТ Р ИСО/МЭК 10373-6-2015ГОСТ Р ИСО/МЭК 10373-6-2015ГОСТ Р ИСО/МЭК 10373-6-2015ГОСТ Р ИСО/МЭК 10373-6-2015ГОСТ Р ИСО/МЭК 10373-6-2015ГОСТ Р ИСО/МЭК 10373-6-2015ГОСТ Р ИСО/МЭК 10373-6-2015ГОСТ Р ИСО/МЭК 10373-6-2015ГОСТ Р ИСО/МЭК 10373-6-2015ГОСТ Р ИСО/МЭК 10373-6-2015ГОСТ Р ИСО/МЭК 10373-6-2015ГОСТ Р ИСО/МЭК 10373-6-2015ГОСТ Р ИСО/МЭК 10373-6-2015ГОСТ Р ИСО/МЭК 10373-6-2015ГОСТ Р ИСО/МЭК 10373-6-2015ГОСТ Р ИСО/МЭК 10373-6-2015ГОСТ Р ИСО/МЭК 10373-6-2015ГОСТ Р ИСО/МЭК 10373-6-2015ГОСТ Р ИСО/МЭК 10373-6-2015ГОСТ Р ИСО/МЭК 10373-6-2015ГОСТ Р ИСО/МЭК 10373-6-2015ГОСТ Р ИСО/МЭК 10373-6-2015ГОСТ Р ИСО/МЭК 10373-6-2015ГОСТ Р ИСО/МЭК 10373-6-2015ГОСТ Р ИСО/МЭК 10373-6-2015ГОСТ Р ИСО/МЭК 10373-6-2015ГОСТ Р ИСО/МЭК 10373-6-2015ГОСТ Р ИСО/МЭК 10373-6-2015ГОСТ Р ИСО/МЭК 10373-6-2015ГОСТ Р ИСО/МЭК 10373-6-2015ГОСТ Р ИСО/МЭК 10373-6-2015ГОСТ Р ИСО/МЭК 10373-6-2015ГОСТ Р ИСО/МЭК 10373-6-2015ГОСТ Р ИСО/МЭК 10373-6-2015ГОСТ Р ИСО/МЭК 10373-6-2015ГОСТ Р ИСО/МЭК 10373-6-2015ГОСТ Р ИСО/МЭК 10373-6-2015ГОСТ Р ИСО/МЭК 10373-6-2015ГОСТ Р ИСО/МЭК 10373-6-2015ГОСТ Р ИСО/МЭК 10373-6-2015ГОСТ Р ИСО/МЭК 10373-6-2015ГОСТ Р ИСО/МЭК 10373-6-2015ГОСТ Р ИСО/МЭК 10373-6-2015ГОСТ Р ИСО/МЭК 10373-6-2015ГОСТ Р ИСО/МЭК 10373-6-2015ГОСТ Р ИСО/МЭК 10373-6-2015ГОСТ Р ИСО/МЭК 10373-6-2015ГОСТ Р ИСО/МЭК 10373-6-2015ГОСТ Р ИСО/МЭК 10373-6-2015ГОСТ Р ИСО/МЭК 10373-6-2015ГОСТ Р ИСО/МЭК 10373-6-2015ГОСТ Р ИСО/МЭК 10373-6-2015ГОСТ Р ИСО/МЭК 10373-6-2015ГОСТ Р ИСО/МЭК 10373-6-2015ГОСТ Р ИСО/МЭК 10373-6-2015ГОСТ Р ИСО/МЭК 10373-6-2015ГОСТ Р ИСО/МЭК 10373-6-2015ГОСТ Р ИСО/МЭК 10373-6-2015ГОСТ Р ИСО/МЭК 10373-6-2015ГОСТ Р ИСО/МЭК 10373-6-2015ГОСТ Р ИСО/МЭК 10373-6-2015ГОСТ Р ИСО/МЭК 10373-6-2015ГОСТ Р ИСО/МЭК 10373-6-2015ГОСТ Р ИСО/МЭК 10373-6-2015ГОСТ Р ИСО/МЭК 10373-6-2015ГОСТ Р ИСО/МЭК 10373-6-2015ГОСТ Р ИСО/МЭК 10373-6-2015ГОСТ Р ИСО/МЭК 10373-6-2015ГОСТ Р ИСО/МЭК 10373-6-2015ГОСТ Р ИСО/МЭК 10373-6-2015ГОСТ Р ИСО/МЭК 10373-6-2015ГОСТ Р ИСО/МЭК 10373-6-2015ГОСТ Р ИСО/МЭК 10373-6-2015ГОСТ Р ИСО/МЭК 10373-6-2015ГОСТ Р ИСО/МЭК 10373-6-2015ГОСТ Р ИСО/МЭК 10373-6-2015ГОСТ Р ИСО/МЭК 10373-6-2015ГОСТ Р ИСО/МЭК 10373-6-2015ГОСТ Р ИСО/МЭК 10373-6-2015ГОСТ Р ИСО/МЭК 10373-6-2015ГОСТ Р ИСО/МЭК 10373-6-2015ГОСТ Р ИСО/МЭК 10373-6-2015ГОСТ Р ИСО/МЭК 10373-6-2015ГОСТ Р ИСО/МЭК 10373-6-2015ГОСТ Р ИСО/МЭК 10373-6-2015ГОСТ Р ИСО/МЭК 10373-6-2015ГОСТ Р ИСО/МЭК 10373-6-2015ГОСТ Р ИСО/МЭК 10373-6-2015

© 2013 Ёшкин Кот :-) Карта сайта