Скачать Типовые нормы бесплатной выдачи специальной одежды, специальной обуви и других средств индивидуальной защиты работникам горной и металлургической промышленности и металлургических производств других отраслей промышленности, занятым на работах с вредными и (или) опасными условиями труда, а также на работах, выполняемых в особых температурных условиях или связанных с загрязнениемДата актуализации: 10.08.2017
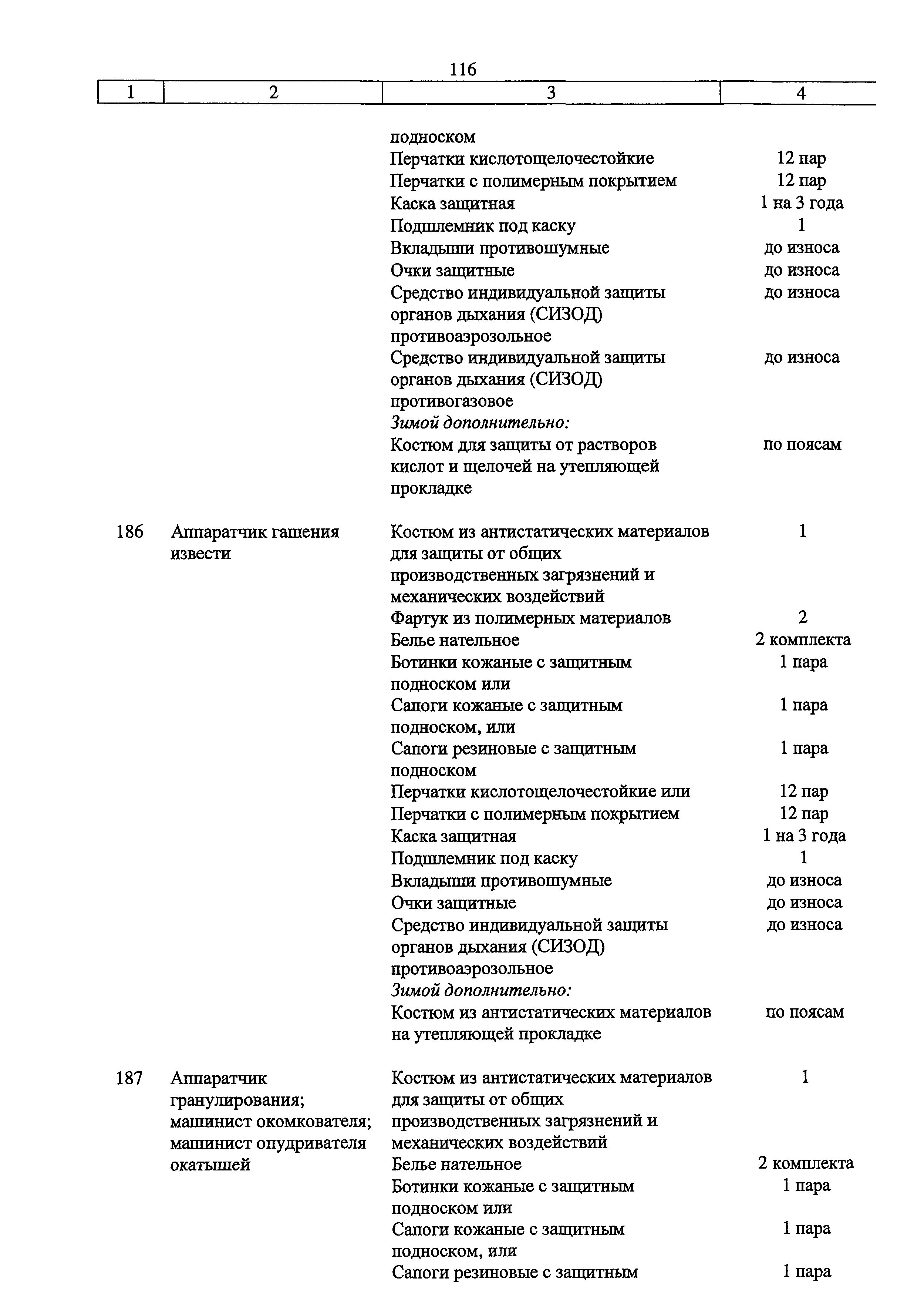
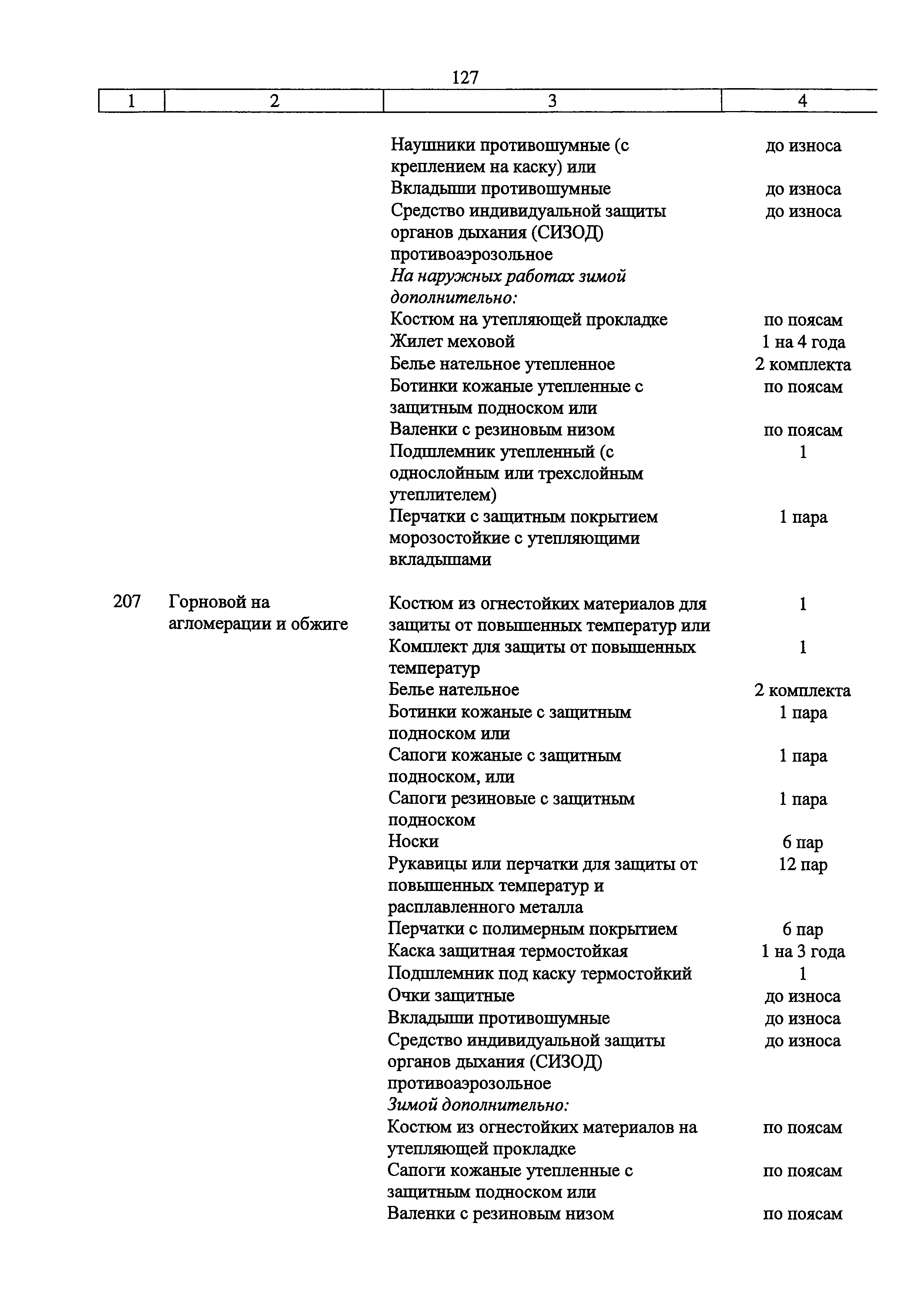
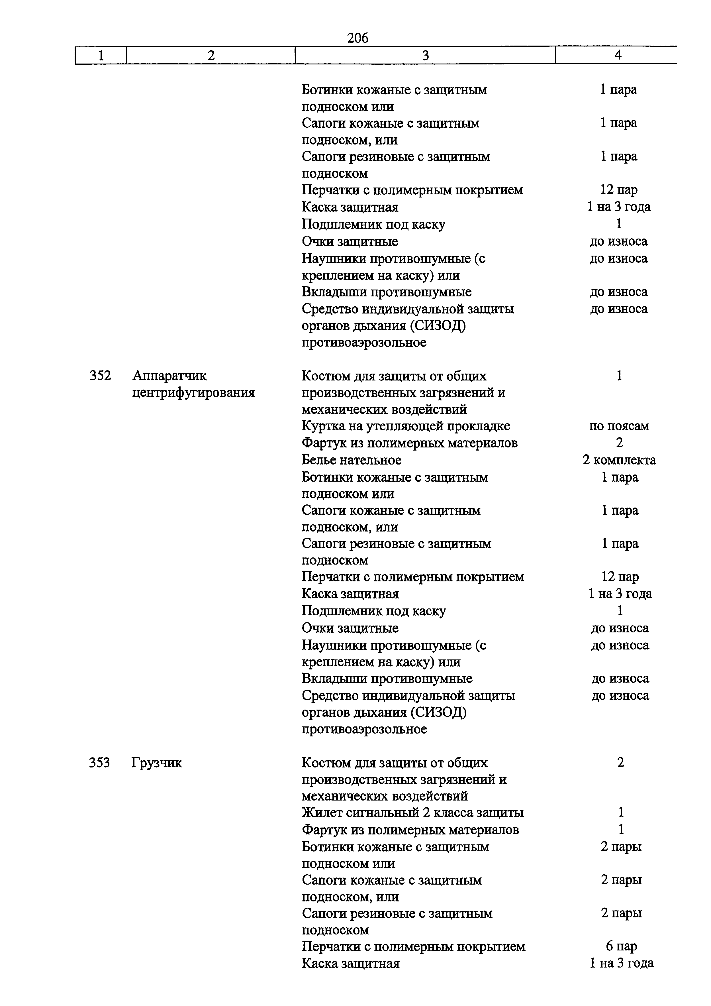
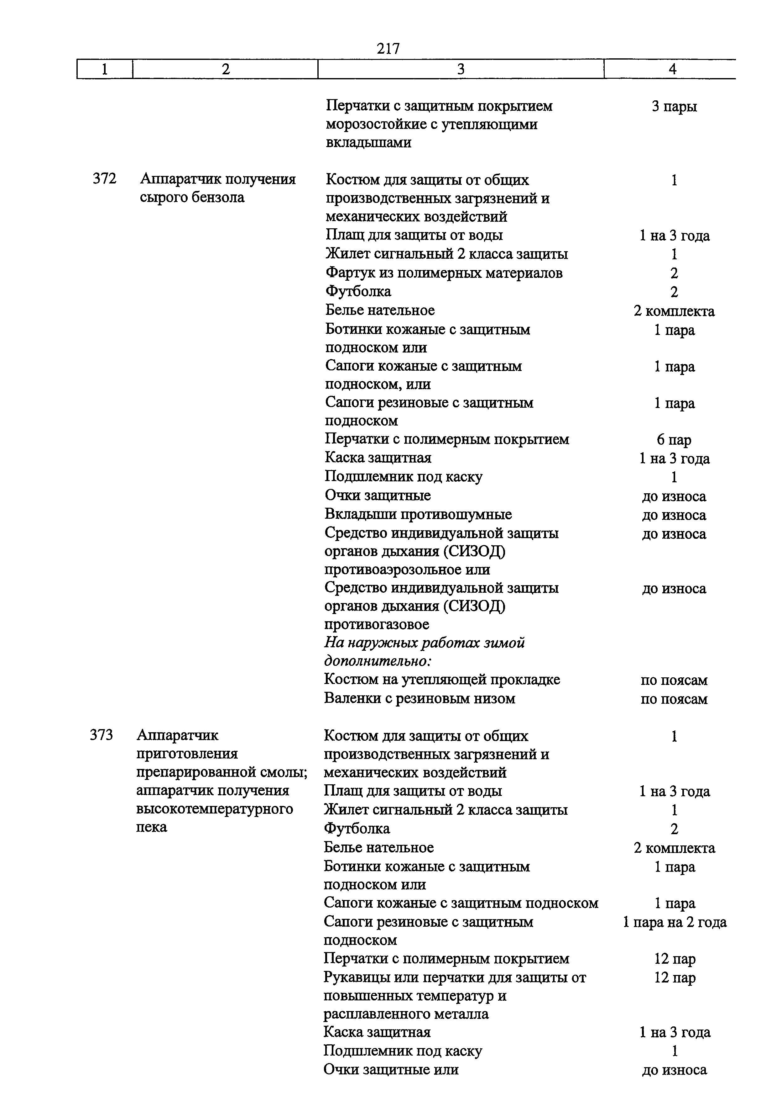
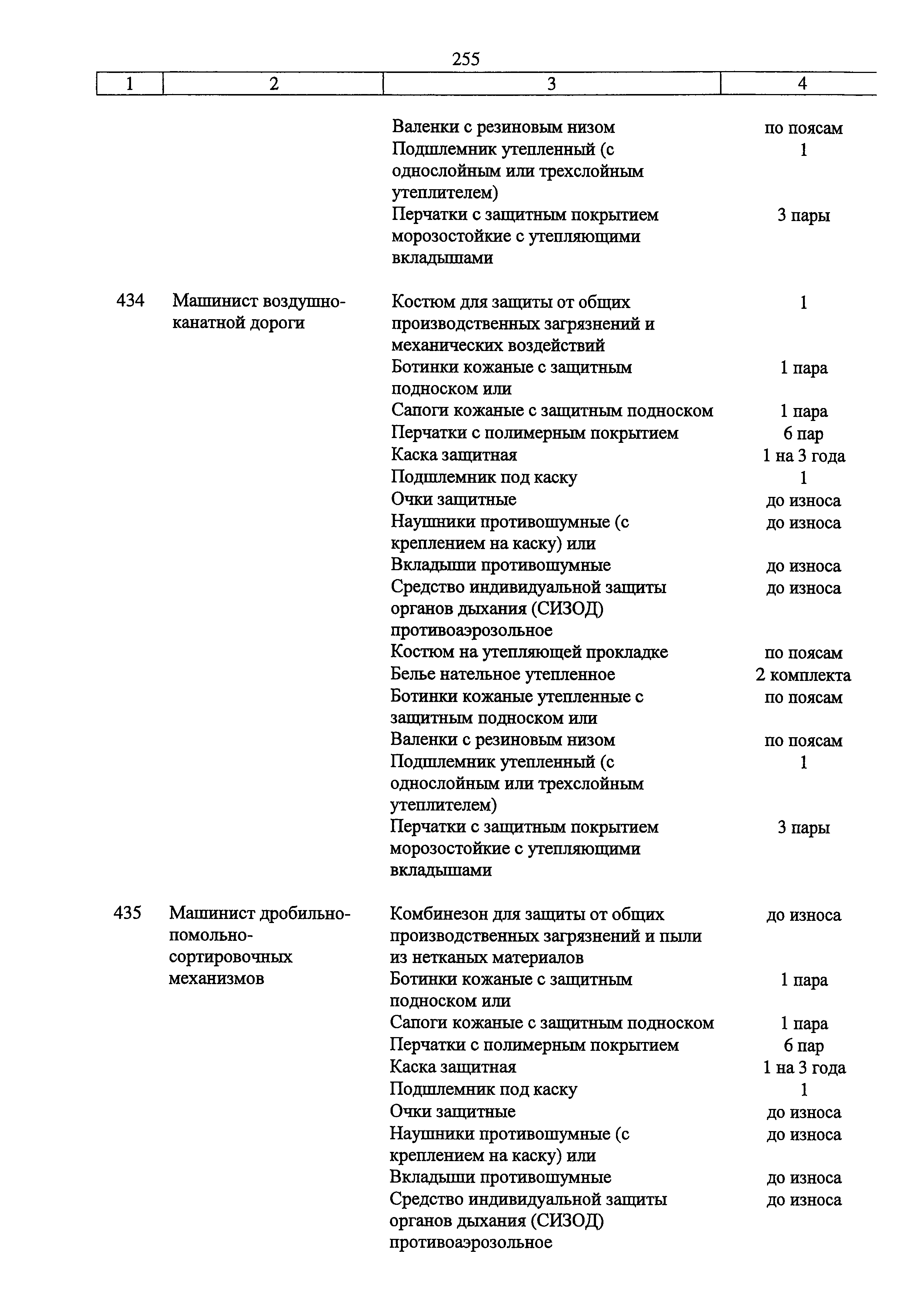
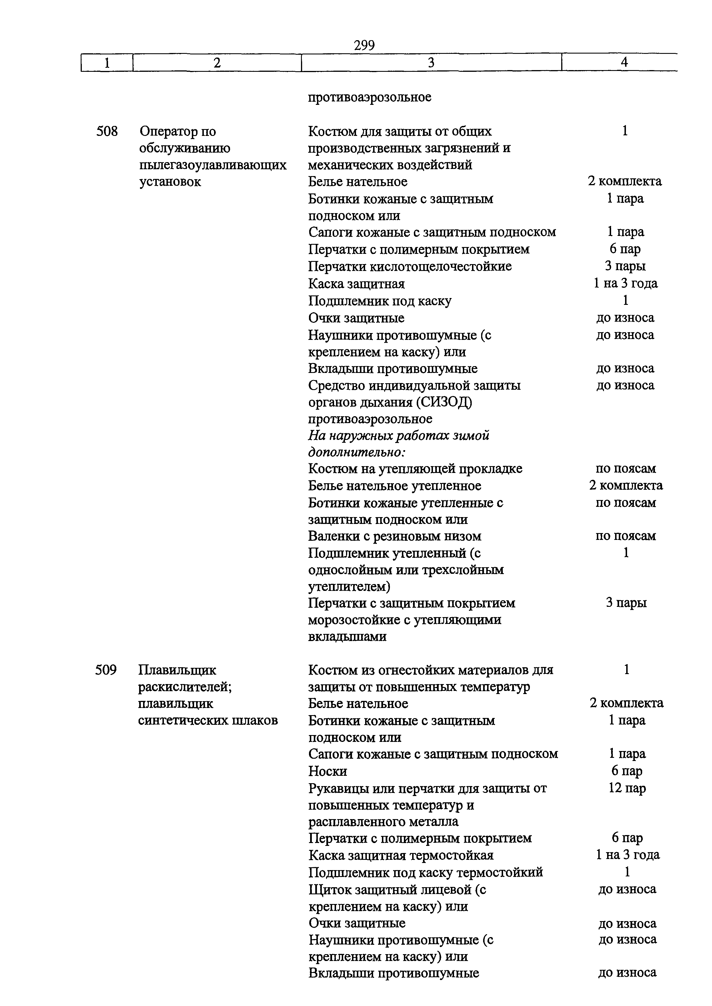
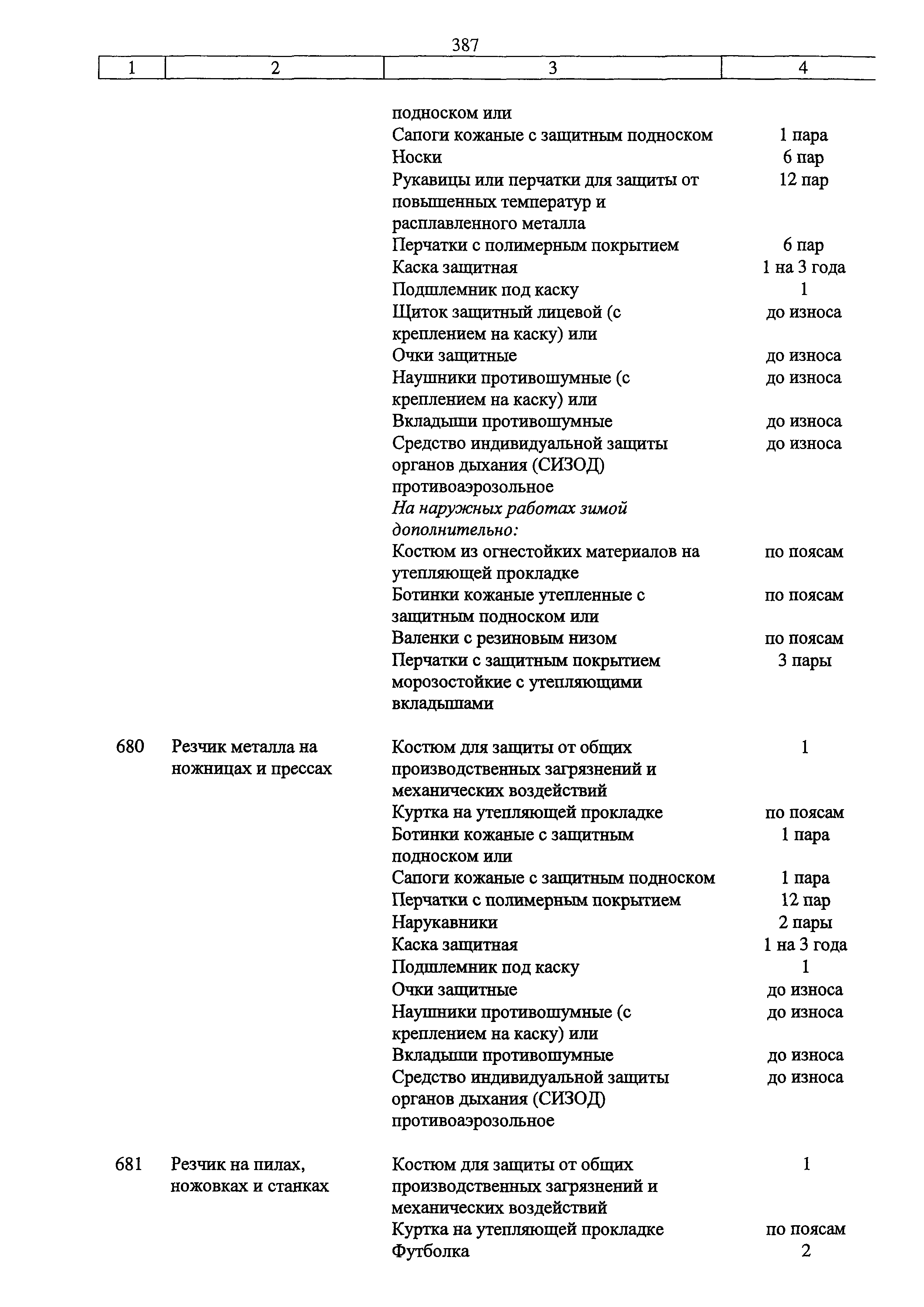
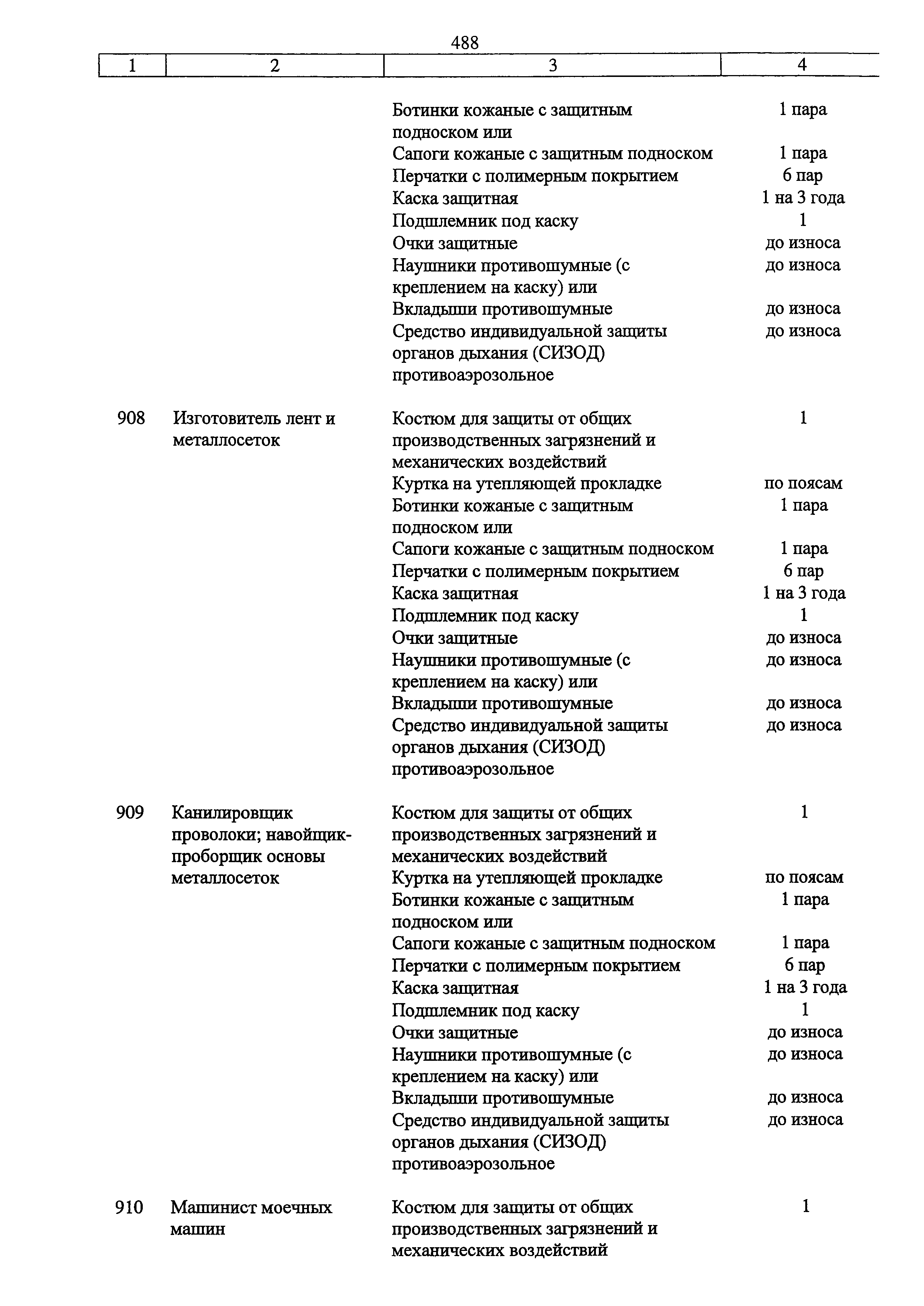
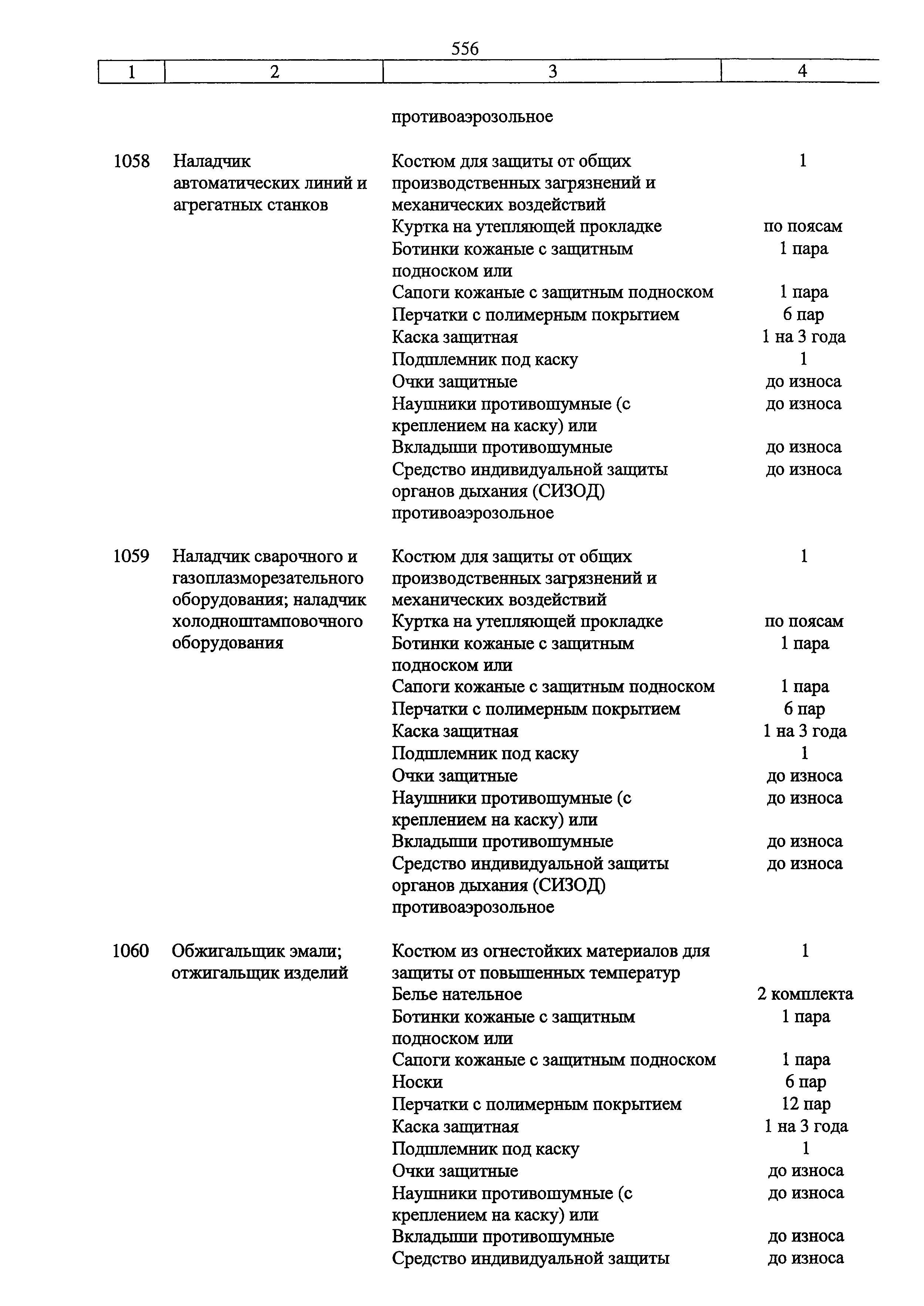
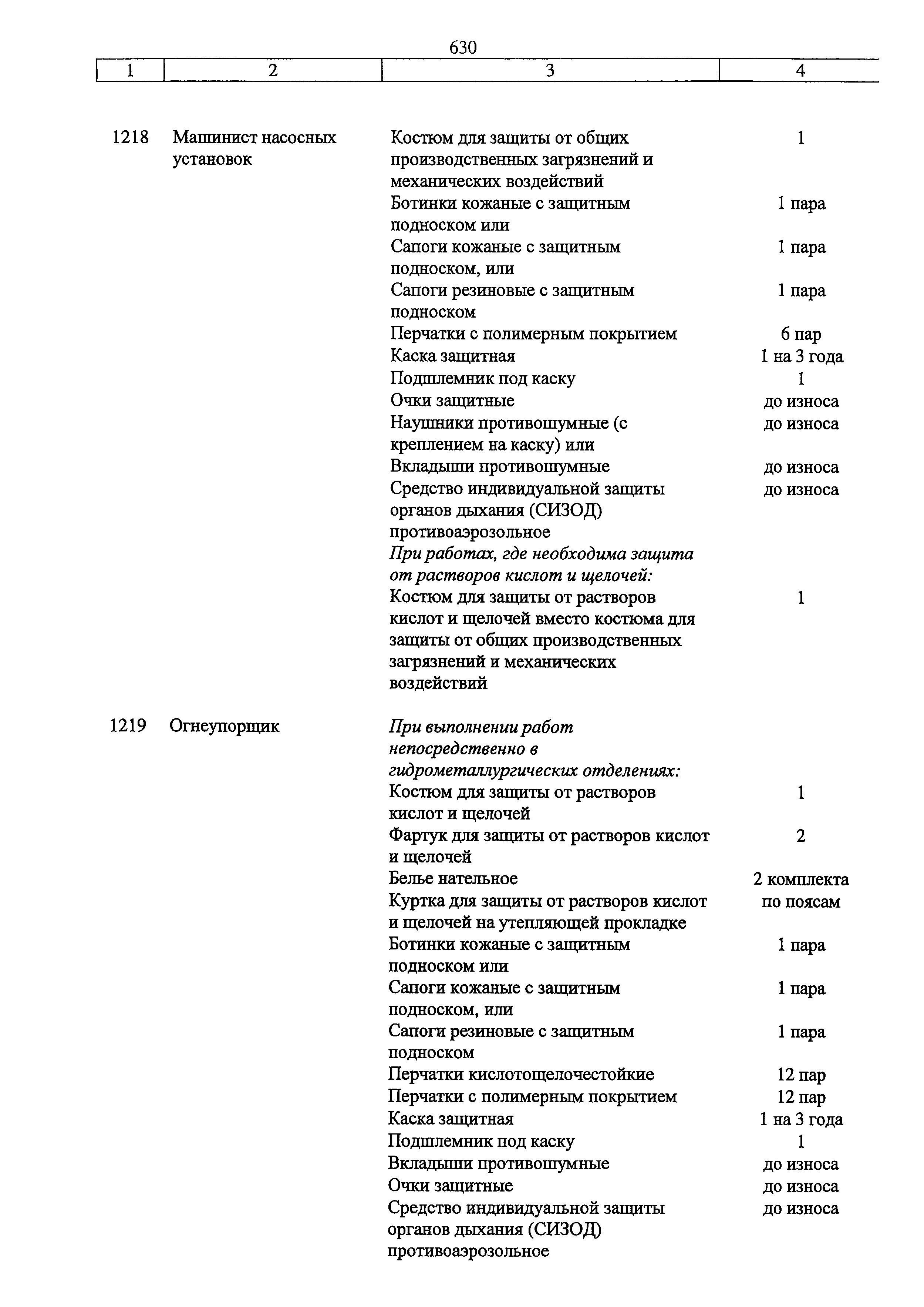
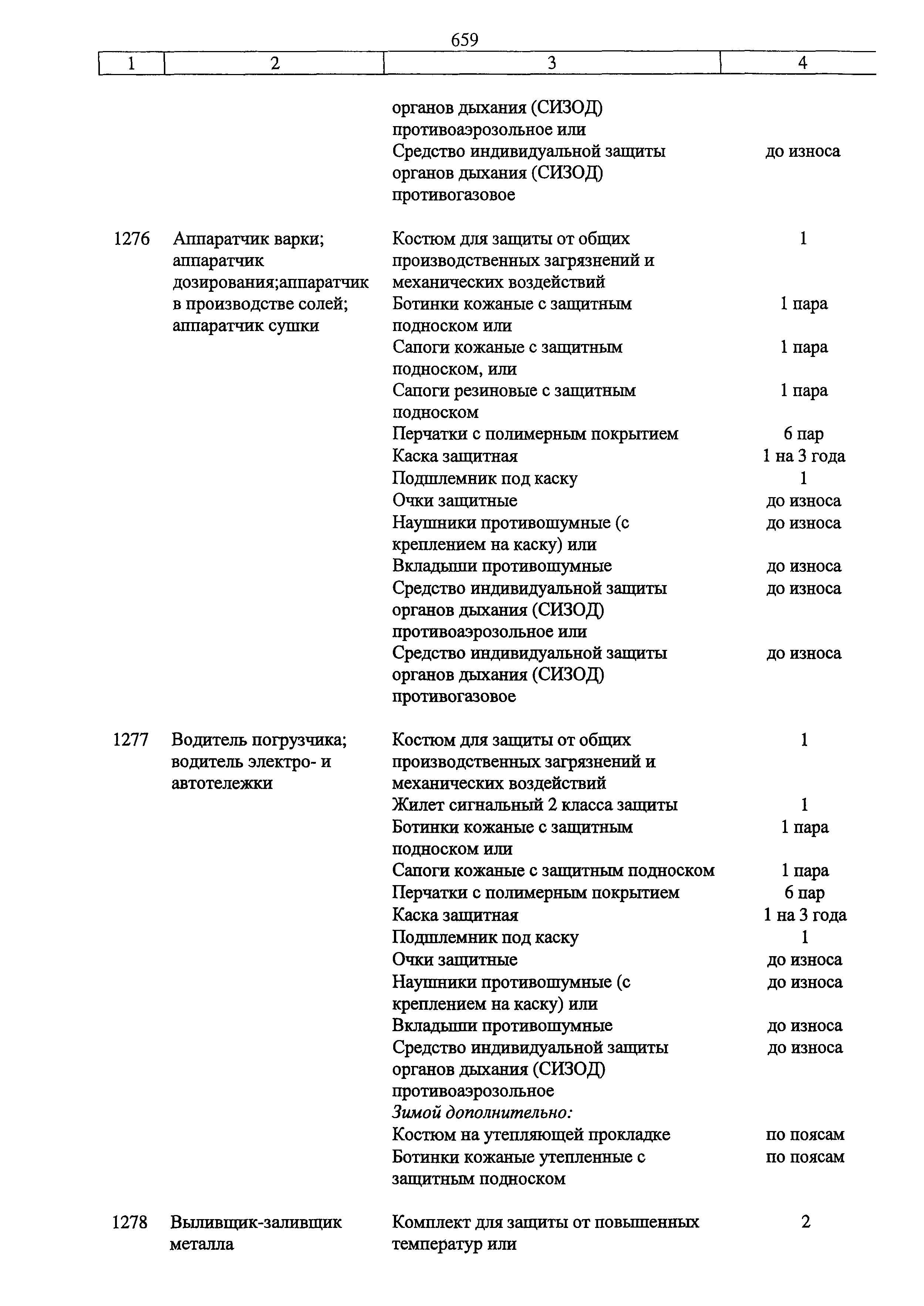
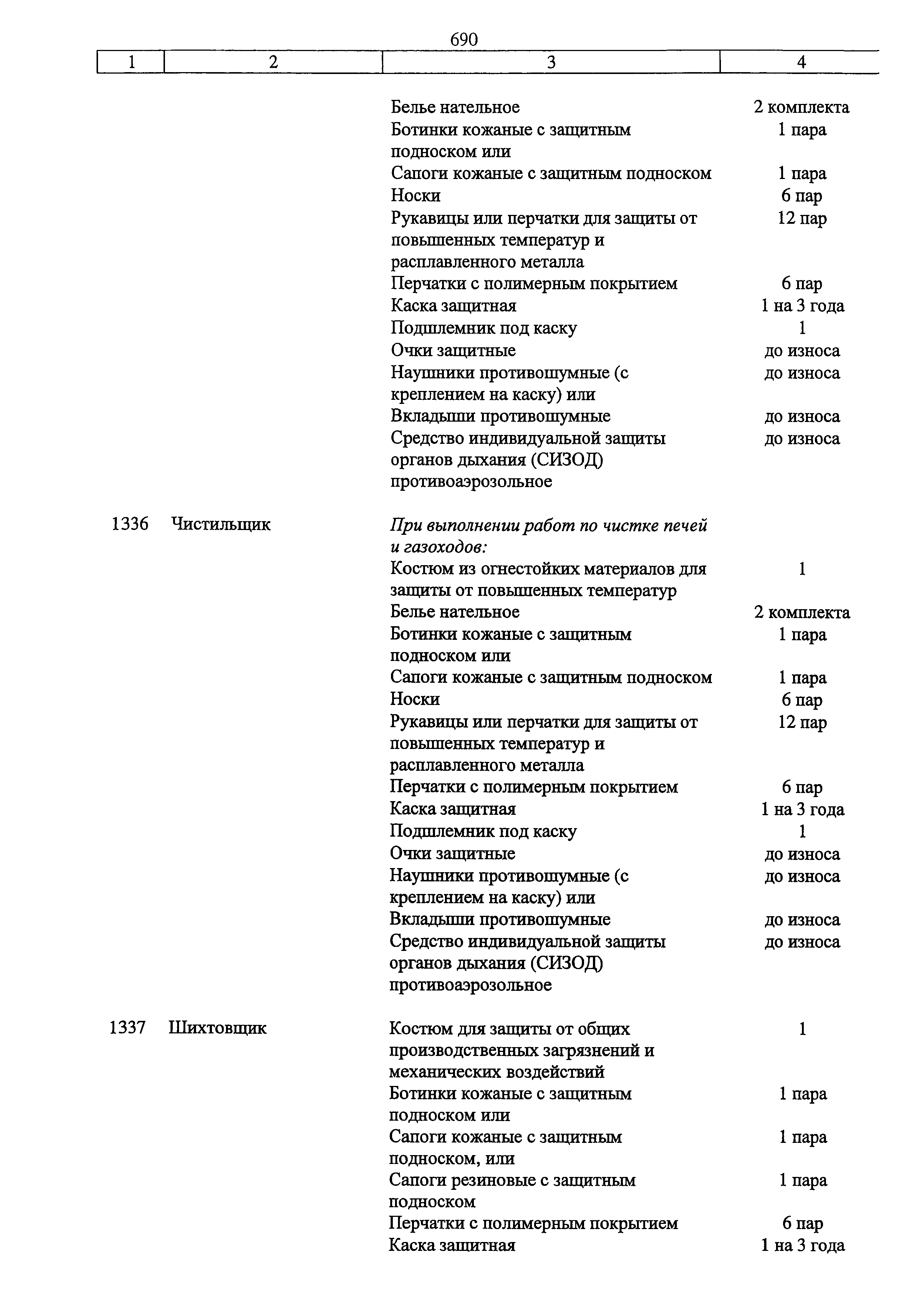
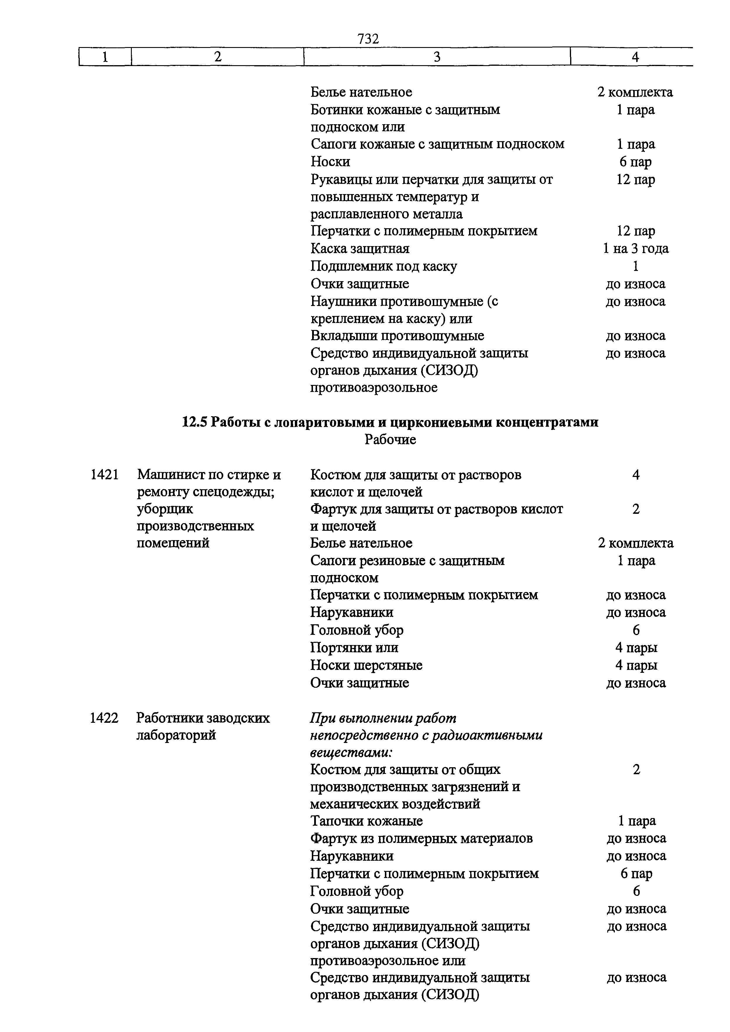
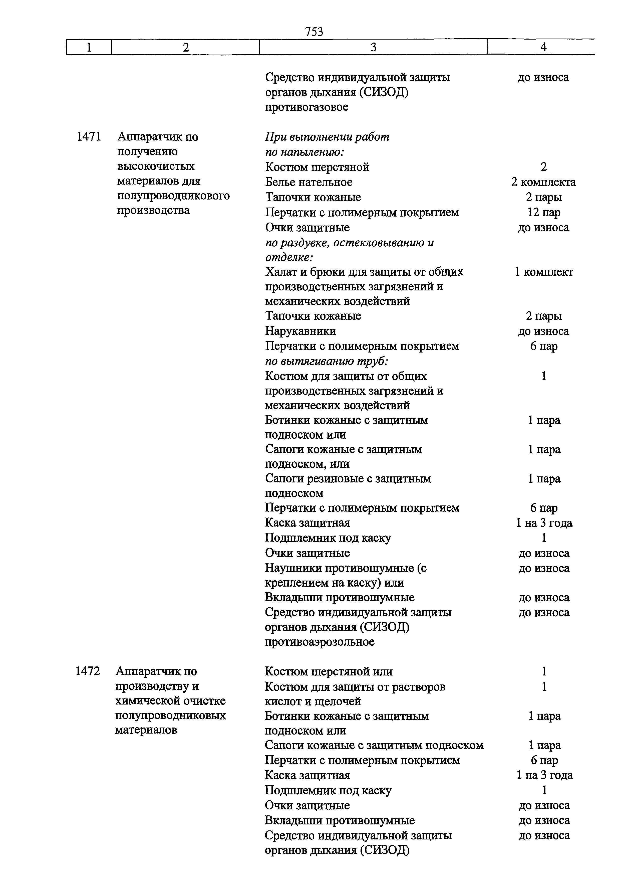
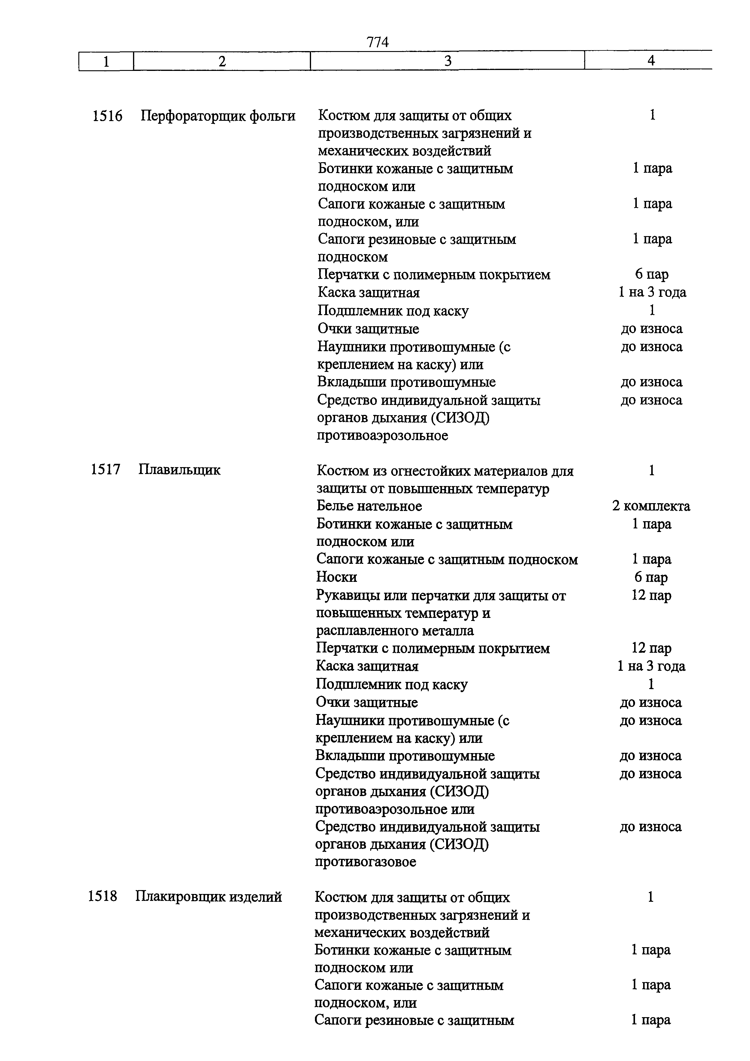
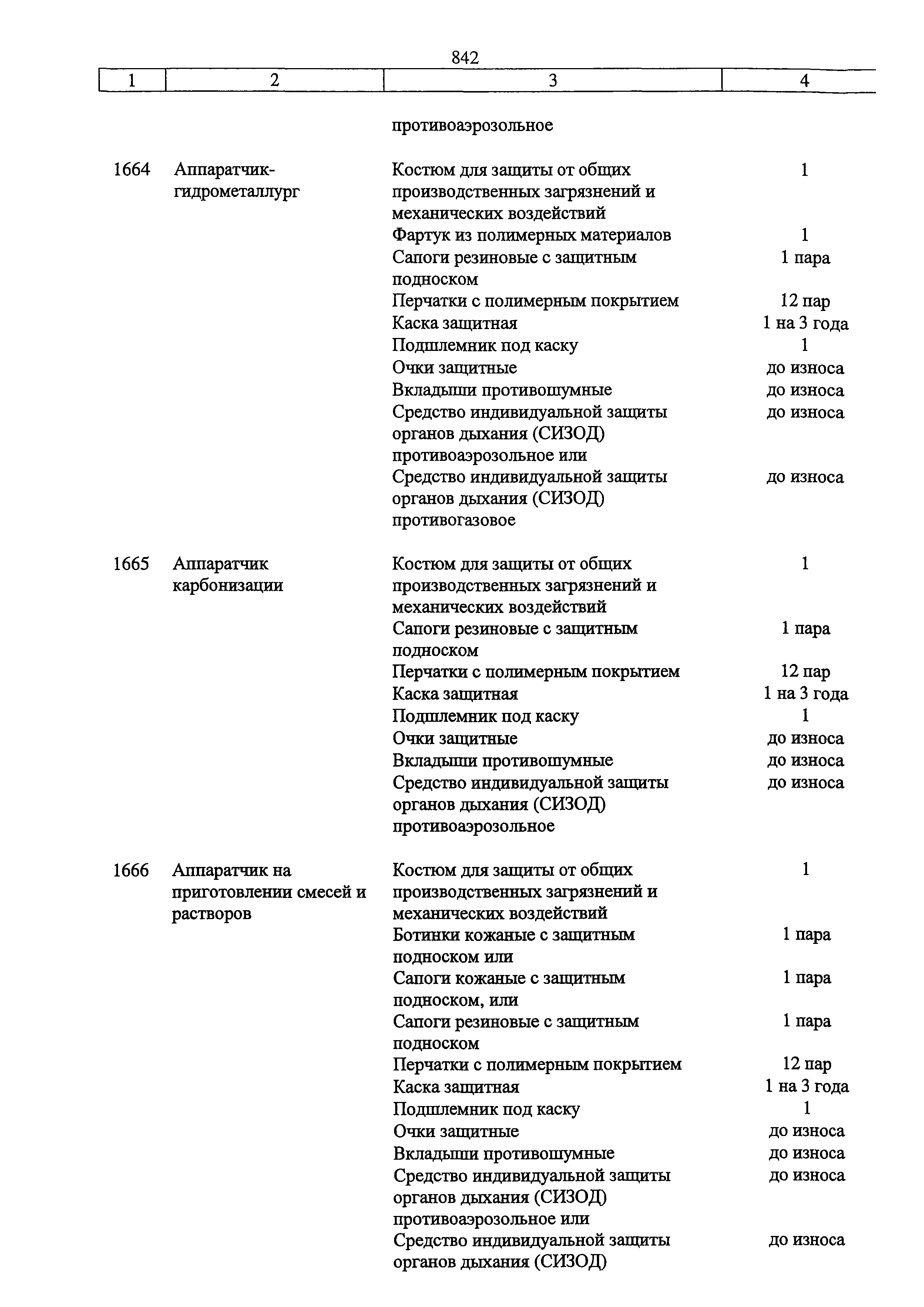
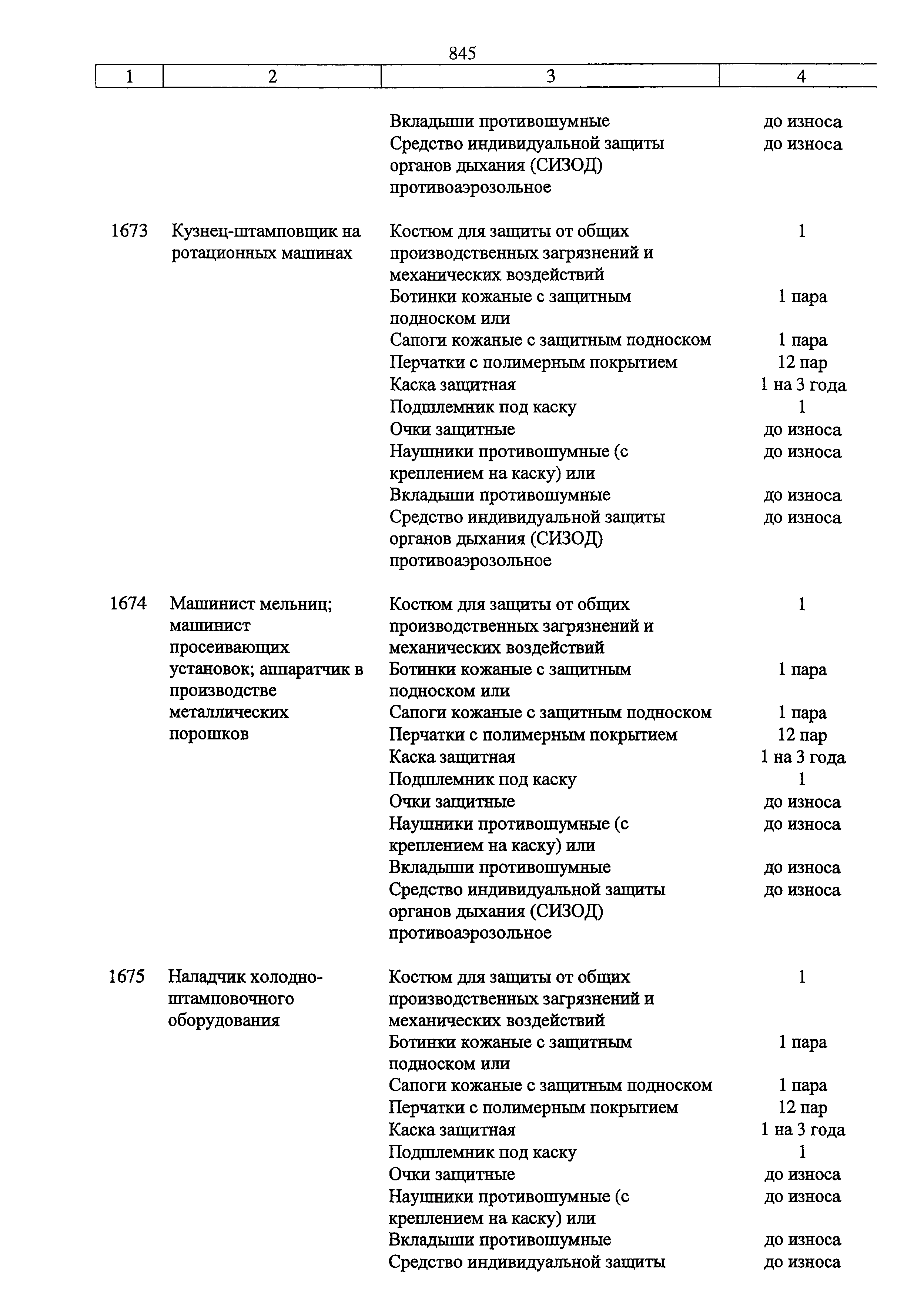
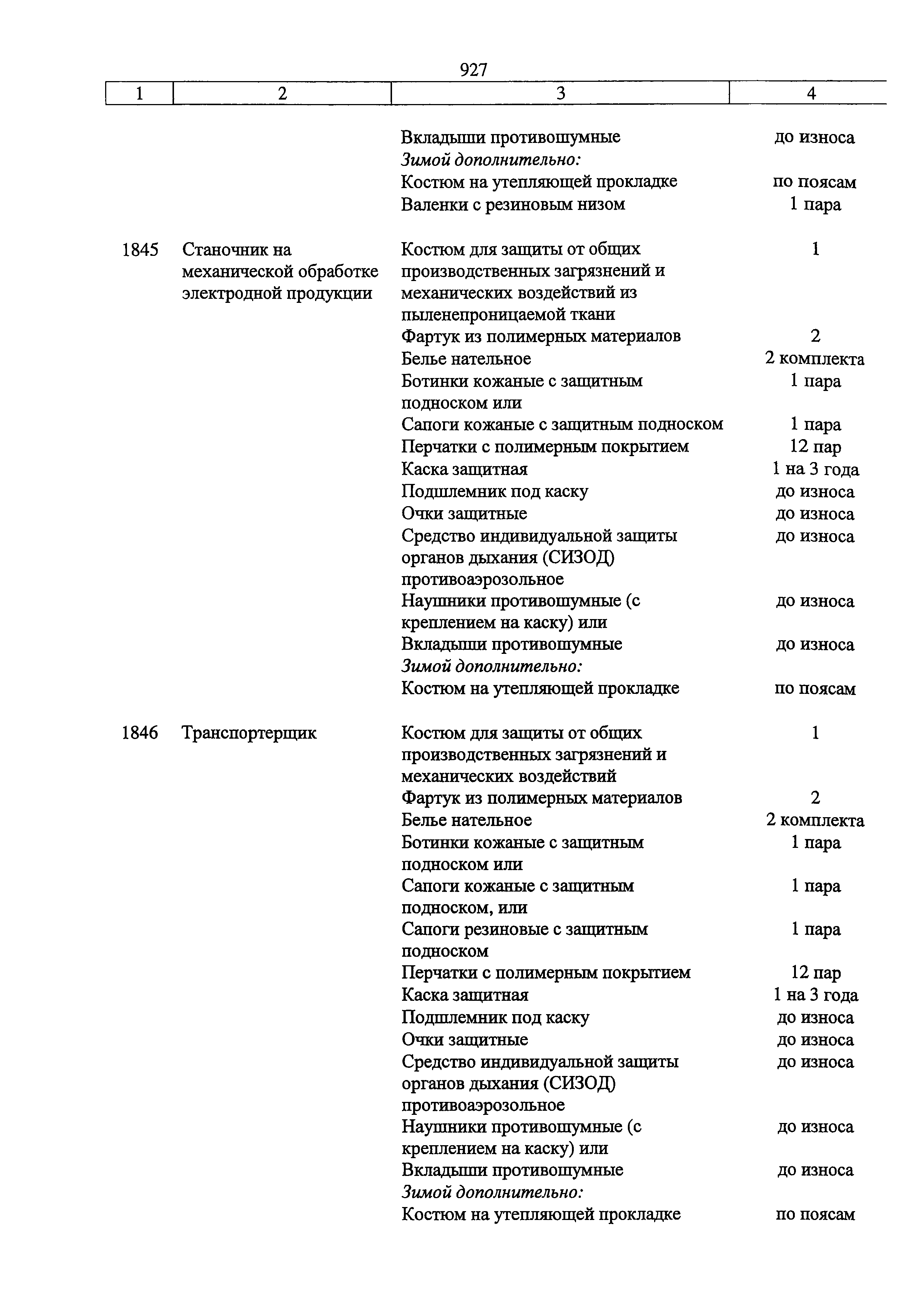
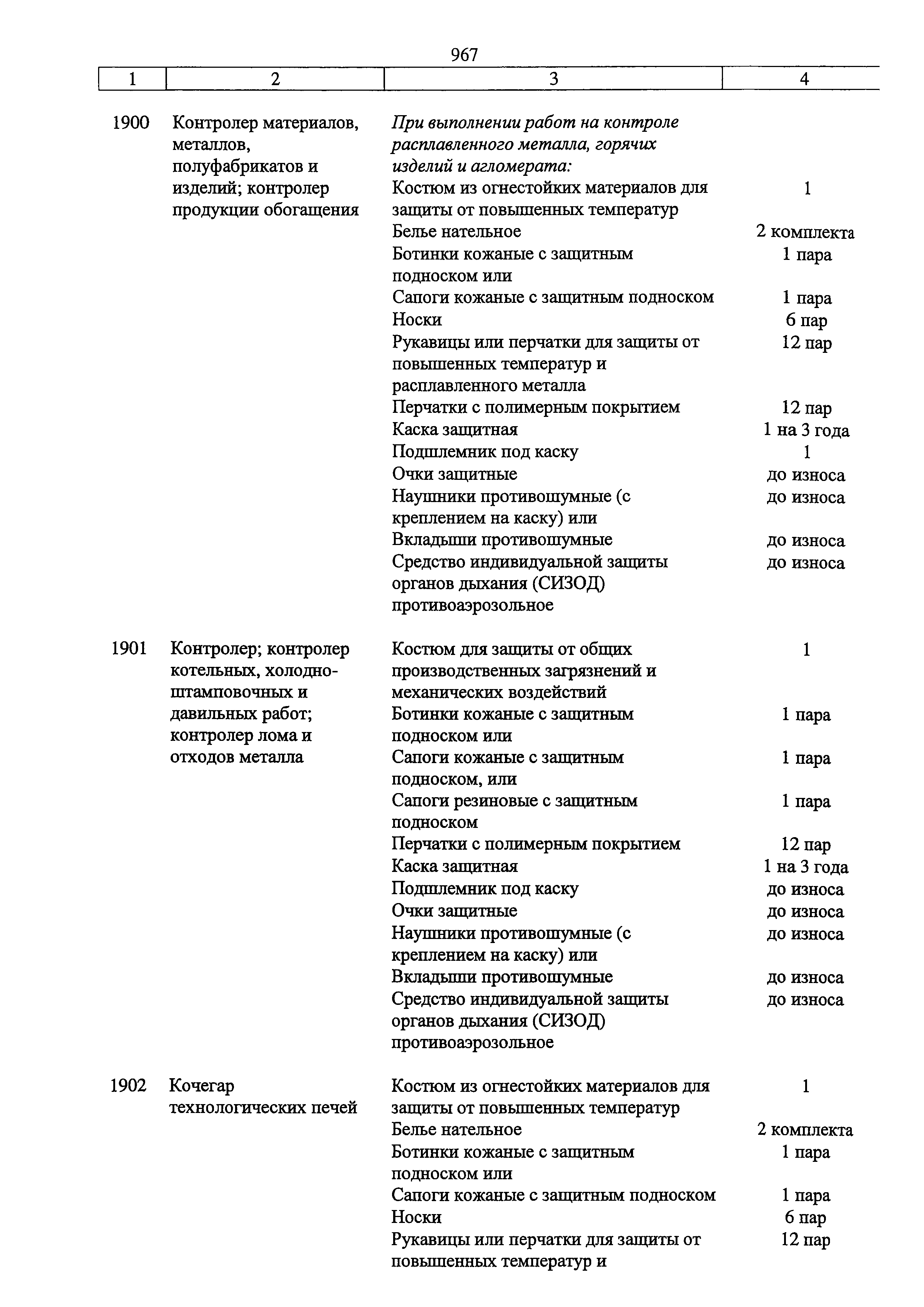
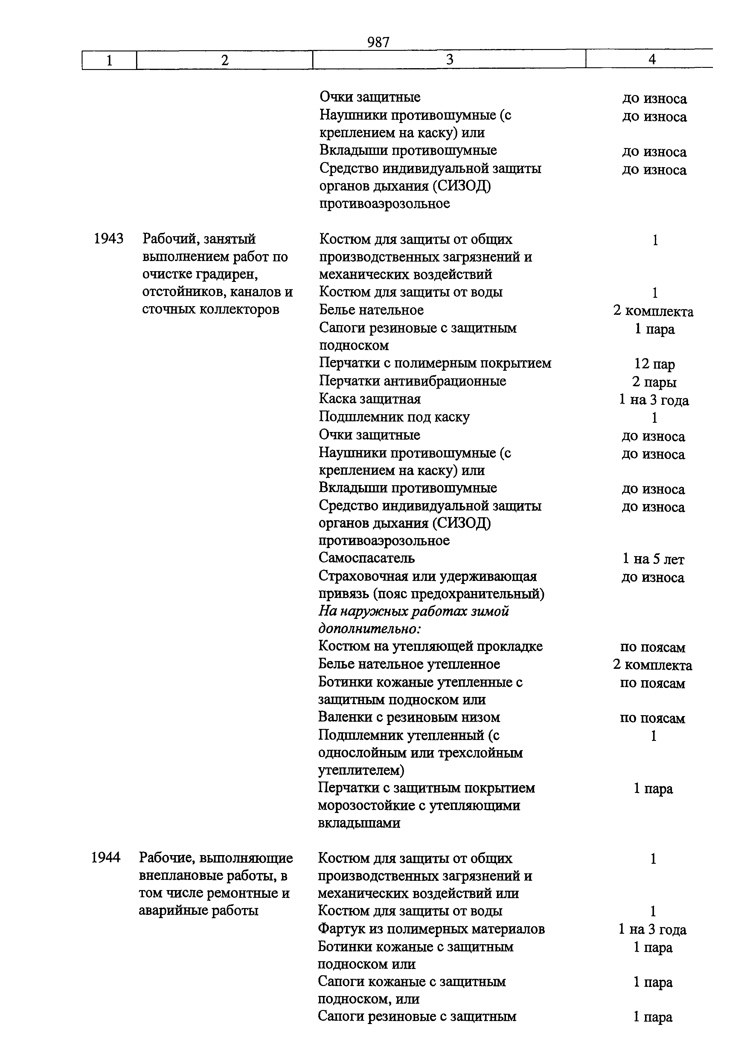
Типовые нормы бесплатной выдачи специальной одежды, специальной обуви и других средств индивидуальной защиты работникам горной и металлургической промышленности и металлургических производств других отраслей промышленности, занятым на работах с вредными и (или) опасными условиями труда, а также на работах, выполняемых в особых температурных условиях или связанных с загрязнениемСтатус: | действует | Название рус.: | Типовые нормы бесплатной выдачи специальной одежды, специальной обуви и других средств индивидуальной защиты работникам горной и металлургической промышленности и металлургических производств других отраслей промышленности, занятым на работах с вредными и (или) опасными условиями труда, а также на работах, выполняемых в особых температурных условиях или связанных с загрязнением | Дата добавления в базу: | 01.02.2017 | Дата актуализации: | 05.05.2017 | Дата введения: | 14.02.2014 | Область применения: | Нормы утверждаются локальными нормативными актами работодателя на основании результатов аттестации рабочих мест по условиям труда и могут быть включены в коллективный и (или) трудовой договор с указанием типовых норм, по сравнению с которыми улучшается обеспечение работников специальной одеждой, специальной обувью и другими средствами индивидуальной защиты. | Оглавление: | I Горнодобывающая промышленность 1 Подземные горные работы (шахты) 2 Открытые горные работы и шахтная поверхность 3 Работа на гидравлических установках или с промывочными приборами 4 Дражные работы II Дробление, обогащение, брикетирование, обжиг, агломерация, извлечение металлов и сплавов III Черная металлургия 1 Коксохимическое производство 1.1 Углеподготовительные цеха 1.2 Углеобогатительные цеха 1.3 Производство каменноугольного кокса 1.4 Производство кристаллического нафталина, кумароновой смолы, смолоперерабатывающие цеха 1.5 Производство пиридиновых и фенольно-крезольных продуктов 1.6 Цеха улавливания химических продуктов и газовые цеха 1.7 Цеха ректификации сырого бензола 1.8 Цеха очистки коксового газа от сероводорода 1.9 Производство пекового кокса 1.10 Производство термоантрацита 2 Доменное производство 3 Сталеплавильное производство 3.1 Установки непрерывной разливки стали 4 Производство ферросплавов 4.1 Электролитическое производство 4.2 Производство электролитического хрома 4.3 Производство феррованадия 4.4 Подготовка шихты, обжиг руд и концентратов 4.5 Разливка и разделка ферросплавов 4.6 Обжиг извести 4.7 Общие профессии и должности ферросплавного производства 5 Прокатное производство 6 Производство труб (прокатка, сварка и волочение) 7 Колесопрокатное и бандажное производства 8 Валопрокатное производство 9 Производство рельсовых скреплений 10 Производство баллонов 11 Труболитейное производство 12 Производство метизов 12.1 Производство металлических канатов, сеток, пружин и пружинной ленты, щеток, цепей, колючей проволоки и других метизов 12.2 Волочение проволоки, калибровка и шлифовка металла 12.3 Изготовление волок 12.4 Холодноштамповочные и кузнечно-прессовые работы 12.5 Термическая обработка 12.6 Травление металла, защитные покрытия проволоки и извлечение железного купороса 12.7 Производство металлических электродов и порошковой проволоки 13 Производство огнеупоров 13.1 Огнеупоры 13.2 Карборундовые стержни 13.3 Высокоогнеупорные окислы 14 Ремонт металлургических печей 15 Производство эмалированной и оцинкованной посуды 16 Производство железных порошков и спеченных изделий 17 Переработка и заготовка лома и отходов черных и цветных металлов IV Цветная металлургия 1 Подготовка сырья и материалов 2 Обжог, сушка, спекание (агломерация) руд и концентратов 3 Выплавка меди, никеля, свинца, олова, сурьмы из руд, концентратов, вторичных металлов и рафинирование меди, олова, свинца, сурьмы и цинка 4 Дистилляция цинковых концентратов в производстве цинковой пыли 5 Вельцевание 6 Электролиз меди, никеля, цинка и других цветных металлов 7 Производство кобальта 7.1 Пирометаллургическое отделение 7.2 Гидрометаллургическое отделение 8 Обработка шламов 9 Производство глинозема и содовых продуктов 10 Производство алюминия 11 Производство магния 11.1 Электролизные цеха 11.2 Цеха шахтных электропечей 11.3 Цеха обезвоживания 11.4 Цеха рафинирования 12 Производство титана 12.1 Металлургические цеха плавки титаносодержащих концентратов и подготовки шихты 12.2 Цеха хлорирования и ректификации 12.3 Цеха восстановления и сепарации 12.4 Электролиз титана и его соединений 12.5 Работы с лопаритовыми и циркониевыми концентратами 13 Производство ртути 14 Химико-металлургическое производство редких металлов 15 Производство редких металлов 16 Производство полупроводниковых материалов 17 Обработка и вторичная переработка цветных металлов 18 Цинкополировочное производство 19 Производство медных порошков 20 Производство горючих порошков и красочной алюминиевой и бронзовой пудры 21 Производство элементарной серы 22 Аффинаж и обработка благородных металлов 22.1 Аффинаж 22.2 Обработка благородных металлов 23 Производство твердых сплавов 24 Производство солей и вольфрамовых соединений 25 Производство ксантогенатов 26 Производство медного, цинкового и никелевого купороса 27 Пылегазоулавливание 28 Производство хромовых солей 29 Бихроматное производство 30 Производство хромового ангидрида, калиевого хромпика, окиси хрома и переработка отходов этих производств 31 Производство пигментов из окиси хрома 32 Производство молибдата аммония 33 Производство карбонильного никеля 34 Производство олова V Производство кислорода, углекислоты, водорода и других газов VI Производство анодной, электродной массы и электродов VII Горноспасательные части по обслуживанию горнодобывающих предприятий металлургической промышленности VIII Общие профессии | Утверждён: | 01.11.2013 Министерство труда и социального развития РФ (Russian Federation Ministry of Labor and Social Development 652н)
| Издан: | Бюллетень нормативных актов федеральных органов исполнительной власти (№ 5 от 03.02.2014)
| Расположен в: |
| Нормативные ссылки: | |
                                                                                                                                                                                                                                                                                                                                                                                                                                                                                                                                                                                                                                                                                                                                                                                                                                                                                                                                                                                                                                                              
|