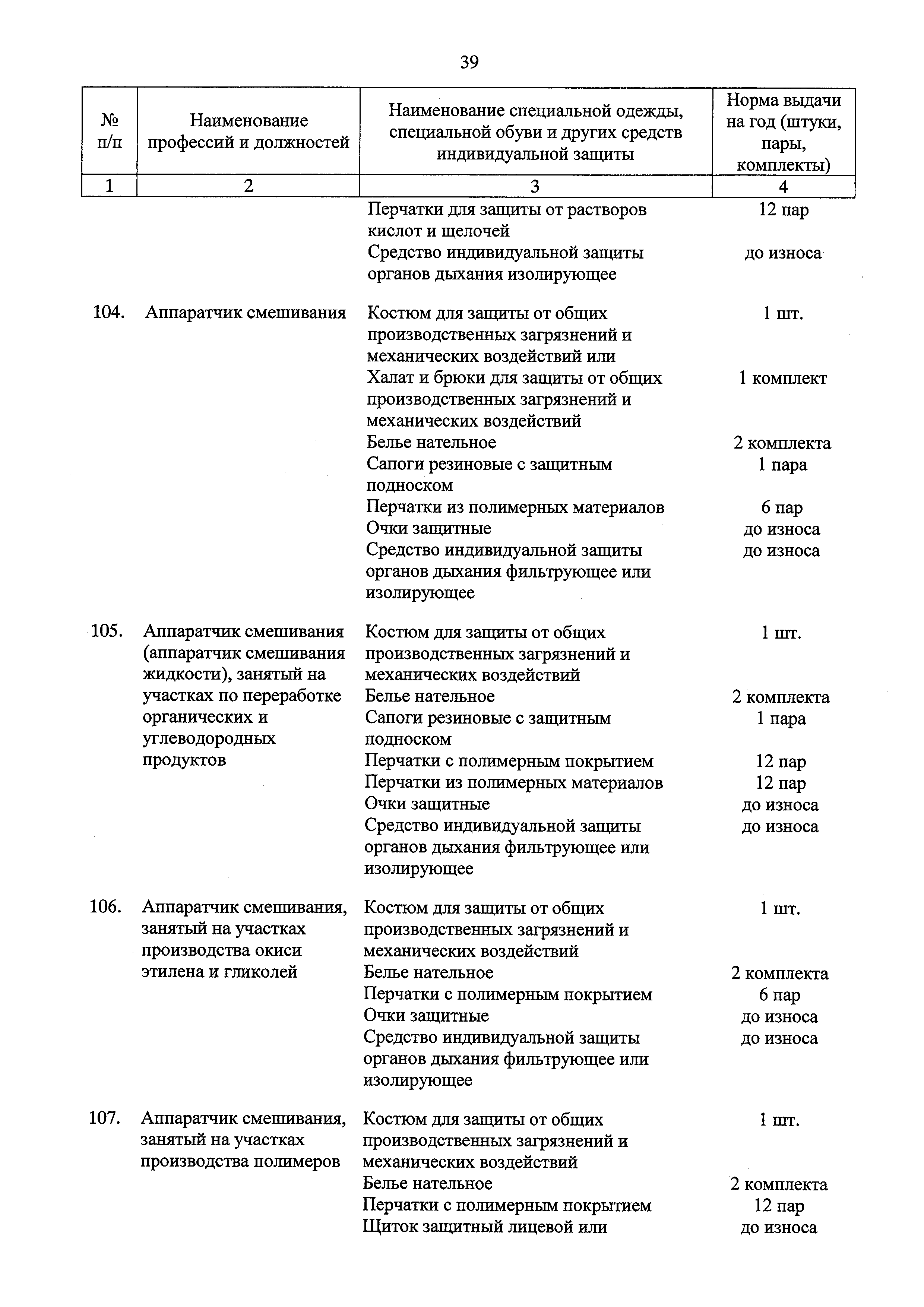
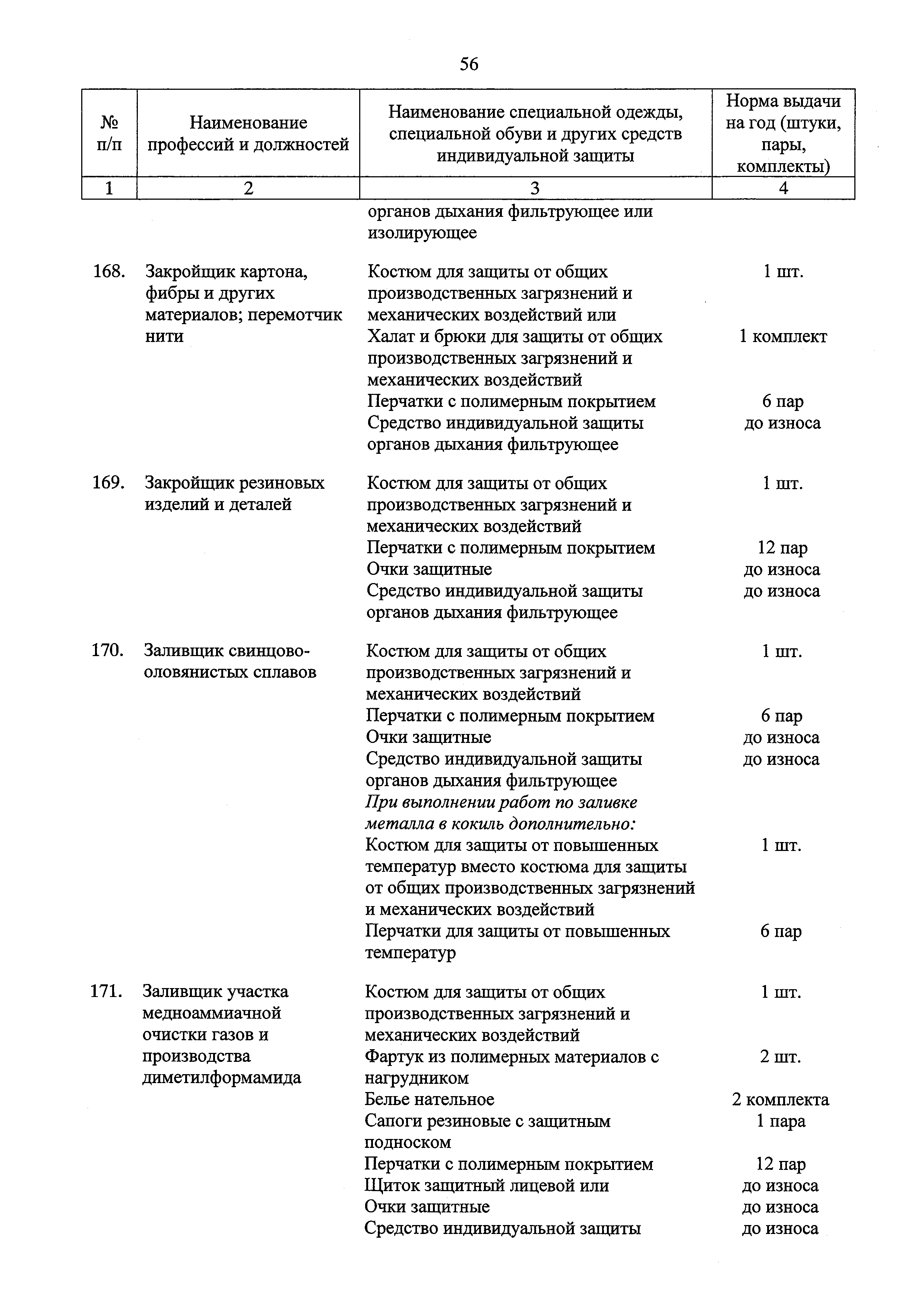
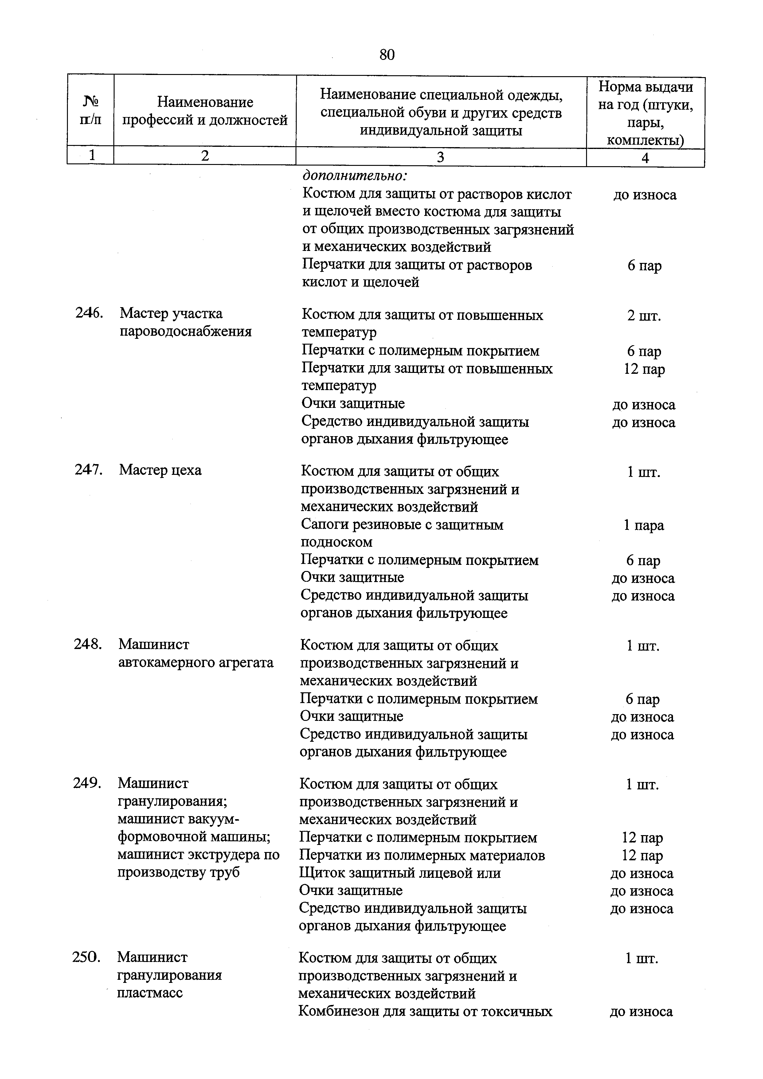
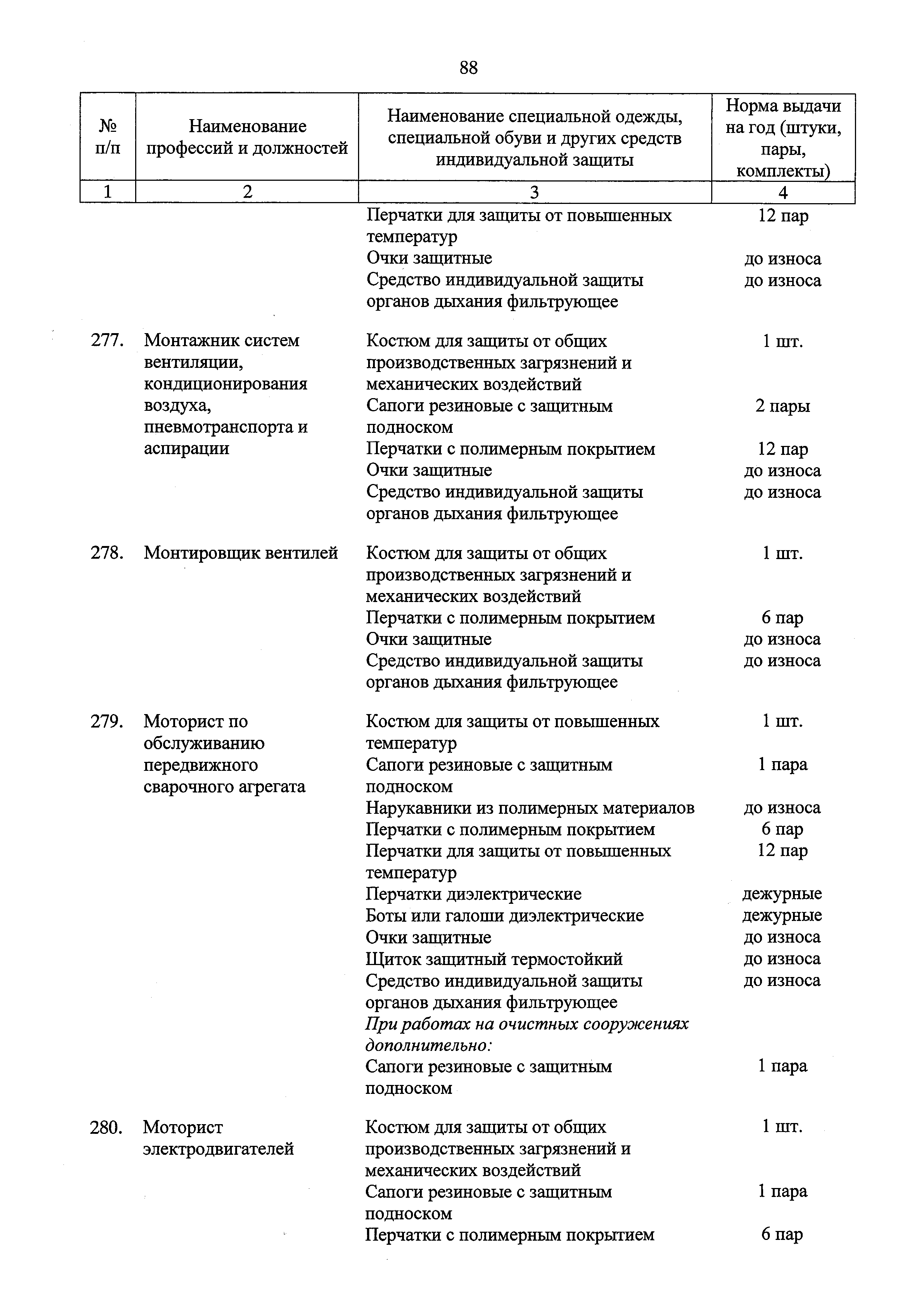
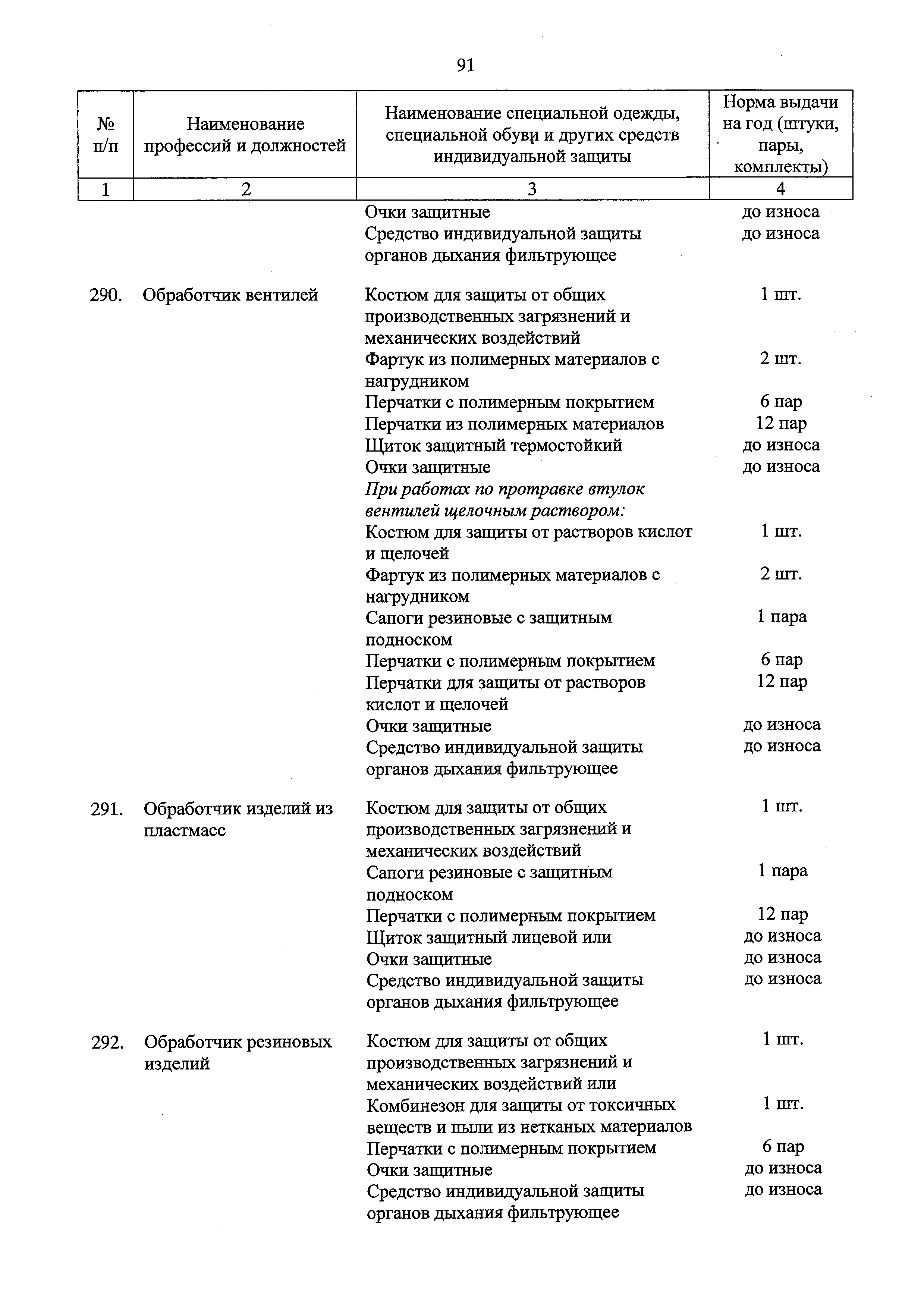
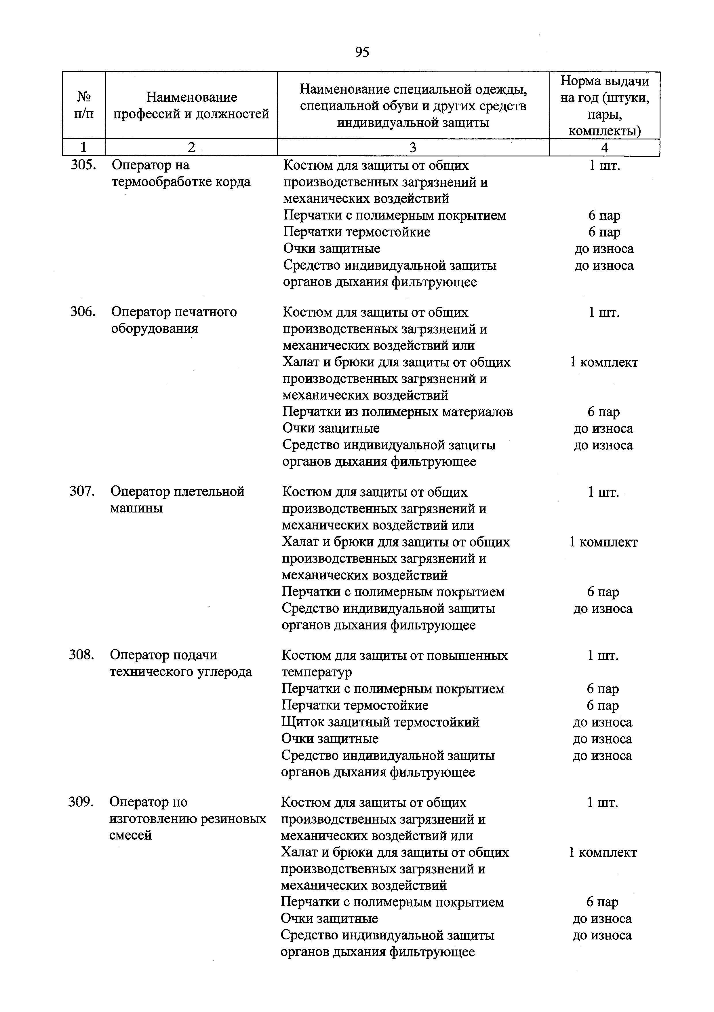
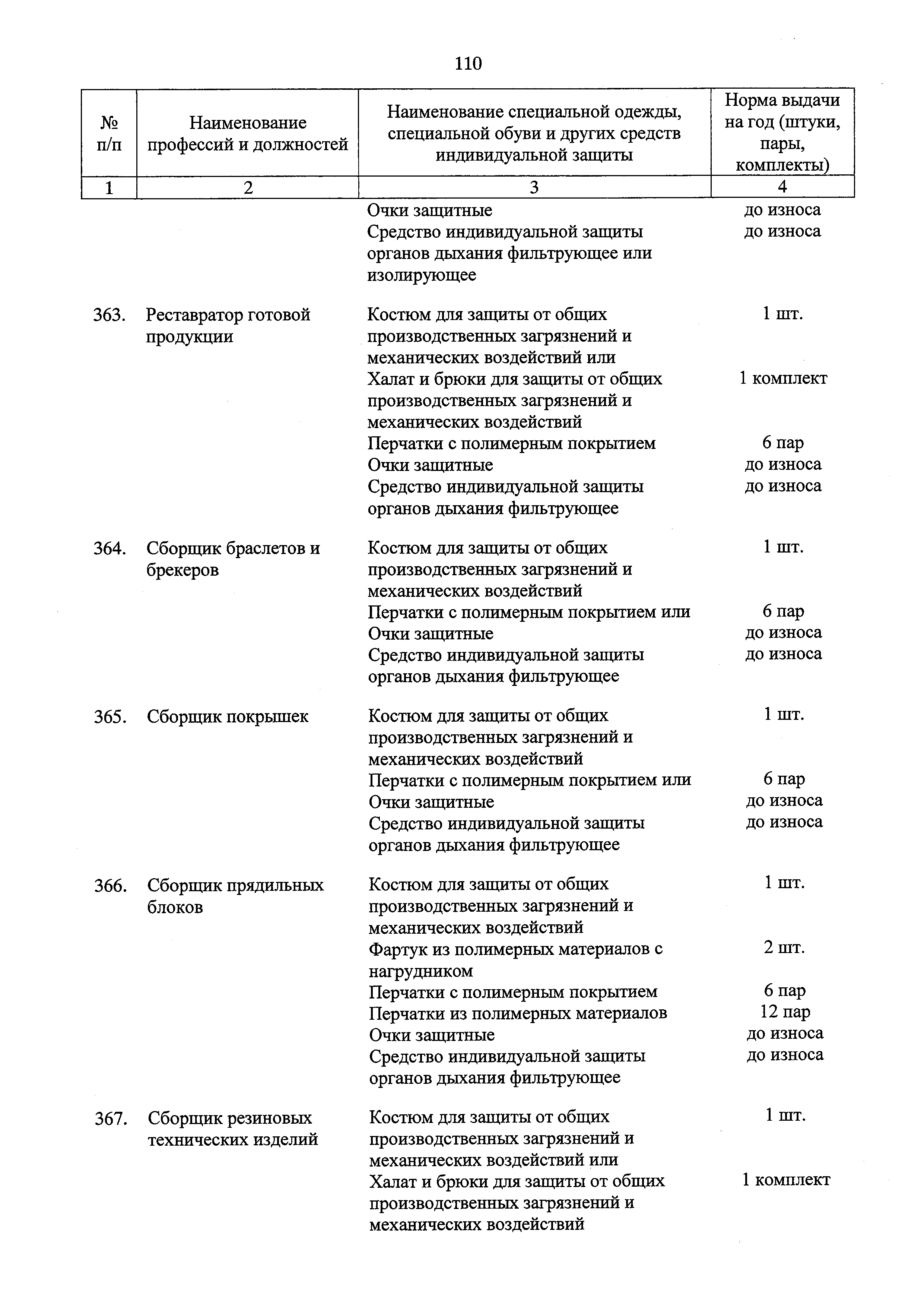
Скачать Приказ 1110н Типовые нормы бесплатной выдачи специальной одежды, специальной обуви и других средств индивидуальной защиты работникам организаций нефтеперерабатывающей и нефтехимической промышленности, занятым на работах с вредными и (или) опасными условиями труда, а также на работах, выполняемых в особых температурных условиях или связанных с загрязнениемДата актуализации: 10.08.2017 Приказ 1110н
Типовые нормы бесплатной выдачи специальной одежды, специальной обуви и других средств индивидуальной защиты работникам организаций нефтеперерабатывающей и нефтехимической промышленности, занятым на работах с вредными и (или) опасными условиями труда, а также на работах, выполняемых в особых температурных условиях или связанных с загрязнениемОбозначение: | Приказ 1110н | Обозначение англ: | Directive 1110н | Статус: | действует | Название рус.: | Типовые нормы бесплатной выдачи специальной одежды, специальной обуви и других средств индивидуальной защиты работникам организаций нефтеперерабатывающей и нефтехимической промышленности, занятым на работах с вредными и (или) опасными условиями труда, а также на работах, выполняемых в особых температурных условиях или связанных с загрязнением | Дата добавления в базу: | 12.02.2016 | Дата актуализации: | 05.05.2017 | Дата введения: | 28.04.2016 | Утверждён: | 22.12.2015 Министерство труда и социальной защиты РФ (1110н)
| Издан: | Официальный интернет-портал правовой информации (www.pravo.gov.ru) (от 27.01.2016 г. Номер опубликования: 0001201601270023)
| Расположен в: |
|
                                                                                                                            
|