Информационная система
«Ёшкин Кот»

Скачать базу одним архивом
Скачать обновления
История создания базы
Карта сайта

Скачать ИТС 4-2015 Производство керамических изделий

Дата актуализации: 10.08.2017

ИТС 4-2015

Производство керамических изделий

Обозначение: ИТС 4-2015
Обозначение англ: 4-2015
Статус:действует
Название рус.:Производство керамических изделий
Название англ.:Manufacture of ceramic ware
Дата добавления в базу:12.02.2016
Дата актуализации:05.05.2017
Дата введения:01.07.2016
Область применения:Справочник НДТ распространяется на производство керамических изделий, в том числе следующие основные виды деятельности: - производство керамических строительных материалов (кирпича, плиток и плит керамических); - производство огнеупорных изделий; - производство санитарно-технических изделий из керамики; - производство электрических изоляторов из керамики; - производство керамических хозяйственных и декоративных изделий (посуды). Справочник НДТ распространяется на процессы, связанные с основными видами деятельности, которые могут оказать влияние на ресурсоэффективность, характер и масштаб воздействия на окружающую среду: - хранение и подготовка сырья; - производственные процессы; - методы предотвращения и сокращения эмиссий и образования отходов. Ограниченные сведения приведены также для таких процессов, как: - хранение и подготовка топлива (в случае использования твердого топлива); - хранение и подготовка продукции. Справочник НДТ не распространяется на: - некоторые процессы производства, такие как добыча сырья в карьере и транспортировка сырьевых материалов с карьера на склад производства; - вопросы, касающиеся исключительно обеспечения промышленной безопасности или охраны труда.
Оглавление:Введение
Краткое содержание справочника
Предисловие
Область применения
Раздел 1. Общая информация о состоянии и развитии производства керамических изделий в Российской Федерации
   1.1 Основные подотрасли производства керамических изделий
   1.2 Обзор отрасли: керамический кирпич
   1.3 Обзор отрасли: керамическая плитка
   1.4 Обзор отрасли: огнеупорные изделия
   1.5 Обзор отрасли: санитарно-технические изделия
   1.6 Посуда и декоративные изделия (хозяйственно-бытовая керамика)
   1.7 Техническая керамика (изоляторы)
   1.8 Экологические аспекты производства керамических изделий и воздействие предприятий отрасли на окружающую среду
Раздел 2. Описание технологических процессов, используемых при производстве керамических изделий
   2.1 Технологические процессы и способы производства керамических изделий
      2.1.1 Сырьевые материалы
      2.1.2 Общее описание производственного процесса
      2.1.3 Основные участки производства керамических изделий
      2.1.4 Вспомогательные участки и участки переработки (системы очистки отходящих газов и сточных вод)
      2.1.5 Меры по сокращению воздействия на окружающую среду и повышению ресурсоэффективности производства
      2.1.6 Схема входных и выходных потоков производства керамических изделий
   2.2 Кирпич
      2.2.1 Переработка сырьевых материалов и приготовление шихты
      2.2.2 Подготовка и применение выгорающих добавок (опилки)
      2.2.3 Формование
      2.2.4 Сушка
      2.2.5 Обжиг
      2.2.6 Меры по сокращению воздействия на окружающую среду и повышению ресурсоэффективности производства керамического кирпича и поризованного камня
   2.3 Керамическая плитка
      2.3.1 Приемка и хранение сырьевых материалов
      2.3.2 Подготовка сырья
      2.3.3 Формование полуфабриката
      2.3.4 Сушка, декорирование и обжиг
      2.3.5 Послеобжиговая обработка
      2.3.6 Сортировка и упаковка готовых изделий
      2.3.7 Меры по сокращению воздействия на окружающую среду и повышению ресурсоэффективности производства керамической плитки
   2.4 Огнеупорные изделия
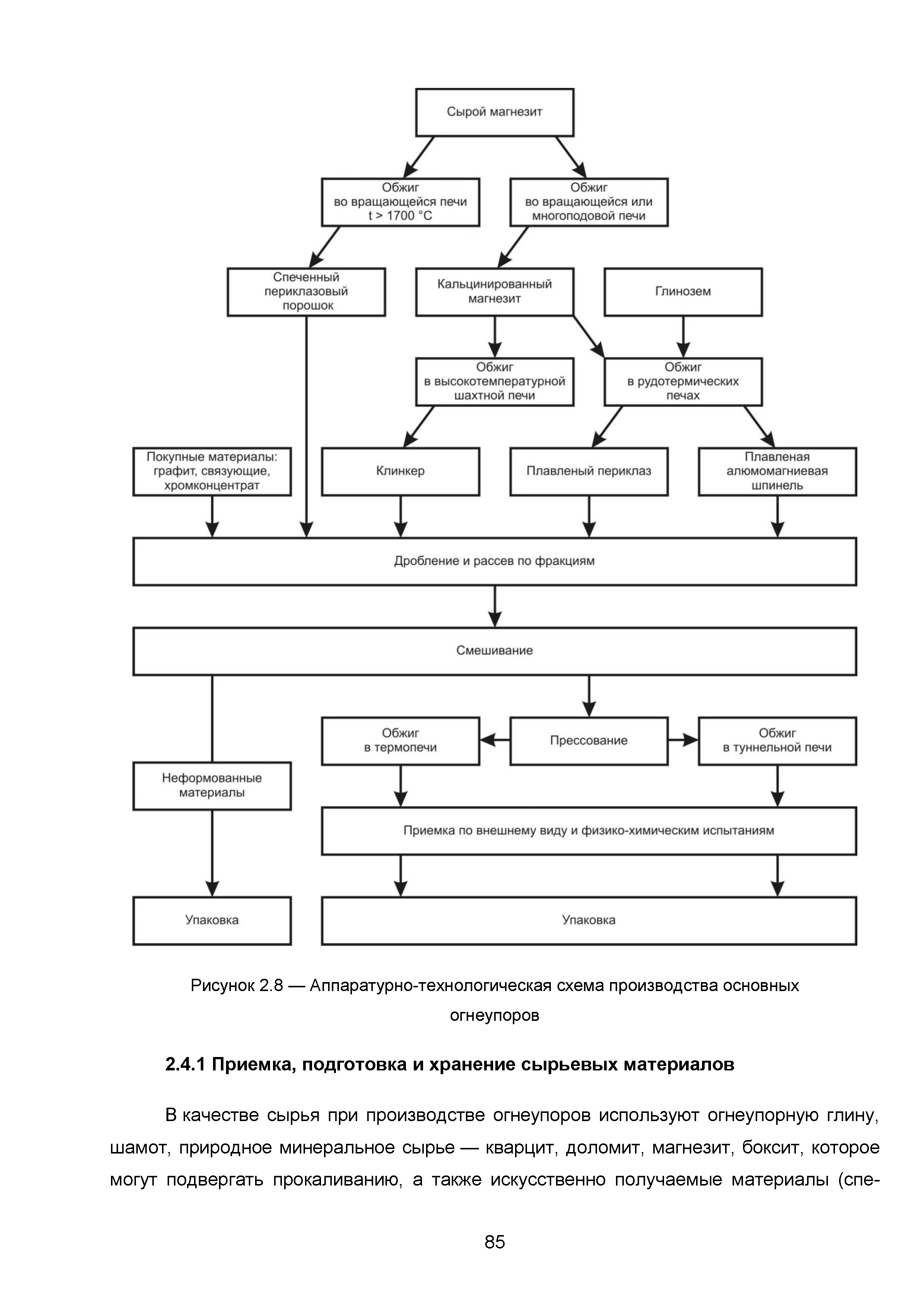
      2.4.1 Приемка, подготовка и хранение сырьевых материалов
      2.4.2 Формование полуфабриката
      2.4.3 Сушка
      2.4.4 Обжиг
      2.4.5 Сортировка и упаковка готовых изделий
      2.4.6 Меры по сокращению воздействия на окружающую среду и повышению ресурсоэффективности производства
   2.5 Санитарно-технические изделия
      2.5.1 Приемка и хранение сырьевых материалов
      2.5.2 Приготовление шликера и глазури
      2.5.3 Формование
      2.5.4 Оправка и подвялка полуфабриката
      2.5.5 Сушка
      2.5.6 Глазурование
      2.5.7 Обжиг
      2.5.8 Сортировка и упаковка изделий
      2.5.9 Меры по сокращению воздействия на окружающую среду и повышению ресурсоэффективности производства
   2.6 Керамика хозяйственно-бытового назначения
      2.6.1 Хранение сырьевых материалов
      2.6.2 Подготовка формовочной массы
      2.6.3 Сушка
      2.6.4 Первый (утельный) обжиг
      2.6.5 Глазурование
      2.6.6 Второй (политой) обжиг
      2.6.7 Сортировка
      2.6.8 Декорирование
      2.6.9 Третий (декорирующий) обжиг
      2.6.10 Контроль и упаковка
      2.6.11 Меры по сокращению воздействия на окружающую среду и повышению ресурсоэффективности производства
   2.7 Техническая керамика (изоляторы)
      2.7.1 Технология производства фарфоровых изоляторов
      2.7.2 Особенности производства изделий из технической керамики
      2.7.3 Сырьевые материалы
      2.7.4 Подготовка формовочной смеси
      2.7.5 Формование
      2.7.6 Удаление временной технологической связки
      2.7.7 Обжиг
      2.7.8 Дополнительная обработка
      2.7.9 Меры по сокращению воздействия на окружающую среду и повышению ресурсоэффективности производства
Раздел 3. Текущие уровни эмиссий в окружающую среду и потребления ресурсов в производстве керамических изделий
   3.1 Потребление энергии и основные факторы воздействия производства керамических изделий на окружающую среду
   3.2 Текущие уровни эмиссий в окружающую среду и потребления ресурсов в производстве кирпича
      3.2.1 Потребление энергии
      3.2.2 Эмиссии в окружающую среду
   3.3 Текущие уровни эмиссий в окружающую среду и потребления ресурсов в производстве плитки
      3.3.1 Потребление энергии
      3.3.2 Эмиссии в окружающую среду
   3.4 Текущие уровни эмиссий в окружающую среду и потребления ресурсов в производстве огнеупорных изделий
      3.4.1 Потребление энергии
      3.4.2 Эмиссии в окружающую среду
   3.5 Текущие уровни эмиссий в окружающую среду и потребления ресурсов в производстве санитарно-технических изделий из керамики
      3.5.1 Потребление энергии
      3.5.2 Эмиссии в окружающую среду
   3.6 Текущие уровни эмиссий в окружающую среду и потребления ресурсов в производстве керамических хозяйственных и декоративных изделий (посуды)
      3.6.1 Потребление энергии
      3.6.2 Эмиссии в окружающую среду
   3.7 Текущие уровни эмиссий в окружающую среду и потребления ресурсов в производстве технических изделий из керамики
      3.7.1 Потребление энергии
      3.7.2 Эмиссии в окружающую среду
Раздел 4. Определение наилучших доступных технологий производства керамических изделий
Раздел 5. Наилучшие доступные технологии производства керамических изделий
   5.1 Системы менеджмента
      НДТ 1. Системы экологического менеджмента и их инструменты
      Затраты и выгоды внедрения систем экологического менеджмента
   5.2 Технологические и технические решения, применимые в качестве НДТ для отрасли производства керамических изделий в целом
      5.2.1 Потребление энергии
      НДТ 2. Снижение потребления топлива в производстве керамических изделий
      5.2.2 Сокращение выбросов загрязняющих веществ в воздух
      НДТ 3. Снижение выбросов пыли в производстве керамических изделий
      НДТ 4. Снижение выбросов загрязняющих веществ с отходящими газами при обжиге керамических изделий
      5.2.3 Сокращение образования сточных вод
      НДТ 5. Снижение количества производственных сточных вод при выпуске керамических изделий
      5.2.4 Повторное использование шлама
      НДТ 6. Повторное использование шлама в производстве керамических изделий
      5.2.5 Минимизация отходов производства
      НДТ 7. Минимизация отходов производства и технологических потерь
      5.2.6 Сокращение шумового воздействия
      НДТ 8. Сокращение шумового воздействия производства керамических изделий
   5.3 Наилучшие доступные технологии производства керамических изделий по подотраслям
      5.3.1 Производство кирпича
      НДТ 9. Снижение потребления топлива в производстве керамического кирпича
      НДТ 10. Снижение выбросов загрязняющих веществ при обжиге кирпича
      5.3.2 Производство керамической плитки
      НДТ 11. Снижение потребления топлива в производстве керамической плитки
      НДТ 12. Снижение выбросов загрязняющих веществ при обжиге керамической плитки
      НДТ 13. Повторное использование производственных сточных вод в производстве керамической плитки
      НДТ 14. Повторное использование шлама, образующегося в системе очистки производственных сточных вод
      5.3.3 Производство огнеупоров
      НДТ 15. Снижение потребления топлива в производстве огнеупоров
      5.3.4 Производство санитарно-технических изделий
      НДТ 16. Снижение потребления топлива в производстве санитарно-технических изделий
      НДТ 17. Повторное использование производственных сточных вод в производстве санитарно-технических изделий
      НДТ 18. Минимизация производственных отходов в производстве санитарно-технических изделий
      5.3.5 Производство посуды
      НДТ 19. Снижение потребления топлива в производстве посуды
      5.3.6 Производство изоляторов
      НДТ 20. Снижение потребления топлива в производстве изоляторов
Раздел 6. Экономические аспекты реализации наилучших доступных технологий
Раздел 7. Перспективные технологии производства керамики
   7.1 Системы энергетического менеджмента
   7.2 Перспективные технологические и технические решения в производстве изделий из керамики
      7.2.1 Использование цифровых технологий для проектирования и производства керамики
      7.2.2 Применение трубчатых излучательных горелок
      7.2.3 Применение горелок с низким выделением NOx
      7.2.4 Применение сушил с контролируемой влажностью теплоносителя
      7.2.5 Применение туннельных печей с движущимся подом
      7.2.6 Сушка и обжиг СВЧ-излучением
      7.2.7 Использование бессвинцовых глазурей для столового фарфора высокого качества
      7.2.8 Внедрение современных систем очистки сточных вод, включающих извлечение глазурей
Заключительные положения и рекомендации
Приложение А (обязательное) Коды ОКПД 2 и ОКВЭД, соответствующие области применения справочника НДТ
Приложение Б (обязательное) Перечень маркерных загрязняющих веществ для атмосферного воздуха, характерных для производства керамических изделий
Приложение В (обязательное) Перечень НДТ
Приложение Г (обязательное) Перечень технологических показателей
Приложение Д (обязательное) Энергоэффективность
Приложение Е (справочное) Перечень предприятий - членов Ассоциации производителей керамических материалов
Приложение Ж (справочное) Перечень предприятий - членов Ассоциации производителей керамических стеновых материалов
Библиография
Разработан: Ассоциация производителей керамических стеновых материалов
ТРГ 4 Производство керамических изделий
Российский химико-технологический университет имени Д.И. Менделеева
Ассоциация производителей керамических материалов
Ассоциация производителей огнеупоров Огнеупорпром
ООО Группа Магнезит
ЗАО Кировская керамика
ЛСР-Стеновые-М
Национальное партнерство ассоциаций и союзов предприятий промышленности строительных материалов
ОАО НЕФРИТ-КЕРАМИКА
ОАО Эстима
ООО Винербергер Кирпич
ООО Майертон
ПК Дулевский фарфор
Управление Росприроднадзора по Владимирской области
Центр экологического аудита и менеджмента (г. Томск)
Утверждён:15.12.2015 Федеральное агентство по техническому регулированию и метрологии (1574)
Издан: Бюро НДТ (2015 г. )
Официальный сайт Федерального агентства по техническому регулированию и метрологии в сети Интернет (www.gost.ru) (2015 г. )
Расположен в:Техническая документация Экология СТЕКОЛЬНАЯ И КЕРАМИЧЕСКАЯ ПРОМЫШЛЕННОСТЬ Керамика Керамика в целом Строительство Стандарты Другие государственные стандарты, применяемые в строительстве Стекольная и керамическая промышленность
Нормативные ссылки:
ИТС 4-2015ИТС 4-2015ИТС 4-2015ИТС 4-2015ИТС 4-2015ИТС 4-2015ИТС 4-2015ИТС 4-2015ИТС 4-2015ИТС 4-2015ИТС 4-2015ИТС 4-2015ИТС 4-2015ИТС 4-2015ИТС 4-2015ИТС 4-2015ИТС 4-2015ИТС 4-2015ИТС 4-2015ИТС 4-2015ИТС 4-2015ИТС 4-2015ИТС 4-2015ИТС 4-2015ИТС 4-2015ИТС 4-2015ИТС 4-2015ИТС 4-2015ИТС 4-2015ИТС 4-2015ИТС 4-2015ИТС 4-2015ИТС 4-2015ИТС 4-2015ИТС 4-2015ИТС 4-2015ИТС 4-2015ИТС 4-2015ИТС 4-2015ИТС 4-2015ИТС 4-2015ИТС 4-2015ИТС 4-2015ИТС 4-2015ИТС 4-2015ИТС 4-2015ИТС 4-2015ИТС 4-2015ИТС 4-2015ИТС 4-2015ИТС 4-2015ИТС 4-2015ИТС 4-2015ИТС 4-2015ИТС 4-2015ИТС 4-2015ИТС 4-2015ИТС 4-2015ИТС 4-2015ИТС 4-2015ИТС 4-2015ИТС 4-2015ИТС 4-2015ИТС 4-2015ИТС 4-2015ИТС 4-2015ИТС 4-2015ИТС 4-2015ИТС 4-2015ИТС 4-2015ИТС 4-2015ИТС 4-2015ИТС 4-2015ИТС 4-2015ИТС 4-2015ИТС 4-2015ИТС 4-2015ИТС 4-2015ИТС 4-2015ИТС 4-2015ИТС 4-2015ИТС 4-2015ИТС 4-2015ИТС 4-2015ИТС 4-2015ИТС 4-2015ИТС 4-2015ИТС 4-2015ИТС 4-2015ИТС 4-2015ИТС 4-2015ИТС 4-2015ИТС 4-2015ИТС 4-2015ИТС 4-2015ИТС 4-2015ИТС 4-2015ИТС 4-2015ИТС 4-2015ИТС 4-2015ИТС 4-2015ИТС 4-2015ИТС 4-2015ИТС 4-2015ИТС 4-2015ИТС 4-2015ИТС 4-2015ИТС 4-2015ИТС 4-2015ИТС 4-2015ИТС 4-2015ИТС 4-2015ИТС 4-2015ИТС 4-2015ИТС 4-2015ИТС 4-2015ИТС 4-2015ИТС 4-2015ИТС 4-2015ИТС 4-2015ИТС 4-2015ИТС 4-2015ИТС 4-2015ИТС 4-2015ИТС 4-2015ИТС 4-2015ИТС 4-2015ИТС 4-2015ИТС 4-2015ИТС 4-2015ИТС 4-2015ИТС 4-2015ИТС 4-2015ИТС 4-2015ИТС 4-2015ИТС 4-2015ИТС 4-2015ИТС 4-2015ИТС 4-2015ИТС 4-2015ИТС 4-2015ИТС 4-2015ИТС 4-2015ИТС 4-2015ИТС 4-2015ИТС 4-2015ИТС 4-2015ИТС 4-2015ИТС 4-2015ИТС 4-2015ИТС 4-2015ИТС 4-2015ИТС 4-2015ИТС 4-2015ИТС 4-2015ИТС 4-2015ИТС 4-2015ИТС 4-2015ИТС 4-2015ИТС 4-2015ИТС 4-2015ИТС 4-2015ИТС 4-2015ИТС 4-2015ИТС 4-2015ИТС 4-2015ИТС 4-2015ИТС 4-2015ИТС 4-2015ИТС 4-2015ИТС 4-2015ИТС 4-2015ИТС 4-2015ИТС 4-2015ИТС 4-2015ИТС 4-2015ИТС 4-2015ИТС 4-2015ИТС 4-2015ИТС 4-2015ИТС 4-2015ИТС 4-2015ИТС 4-2015ИТС 4-2015ИТС 4-2015ИТС 4-2015ИТС 4-2015ИТС 4-2015ИТС 4-2015ИТС 4-2015ИТС 4-2015ИТС 4-2015ИТС 4-2015ИТС 4-2015ИТС 4-2015ИТС 4-2015ИТС 4-2015ИТС 4-2015ИТС 4-2015ИТС 4-2015ИТС 4-2015ИТС 4-2015ИТС 4-2015ИТС 4-2015ИТС 4-2015ИТС 4-2015ИТС 4-2015ИТС 4-2015ИТС 4-2015ИТС 4-2015ИТС 4-2015ИТС 4-2015ИТС 4-2015ИТС 4-2015ИТС 4-2015ИТС 4-2015ИТС 4-2015ИТС 4-2015ИТС 4-2015ИТС 4-2015ИТС 4-2015ИТС 4-2015ИТС 4-2015ИТС 4-2015ИТС 4-2015ИТС 4-2015ИТС 4-2015ИТС 4-2015ИТС 4-2015ИТС 4-2015ИТС 4-2015ИТС 4-2015ИТС 4-2015ИТС 4-2015ИТС 4-2015

© 2013 Ёшкин Кот :-) Карта сайта