Информационная система
«Ёшкин Кот»

Скачать базу одним архивом
Скачать обновления
История создания базы
Карта сайта

Скачать Нормативы утилизации отходов от использования товаров

Дата актуализации: 10.08.2017

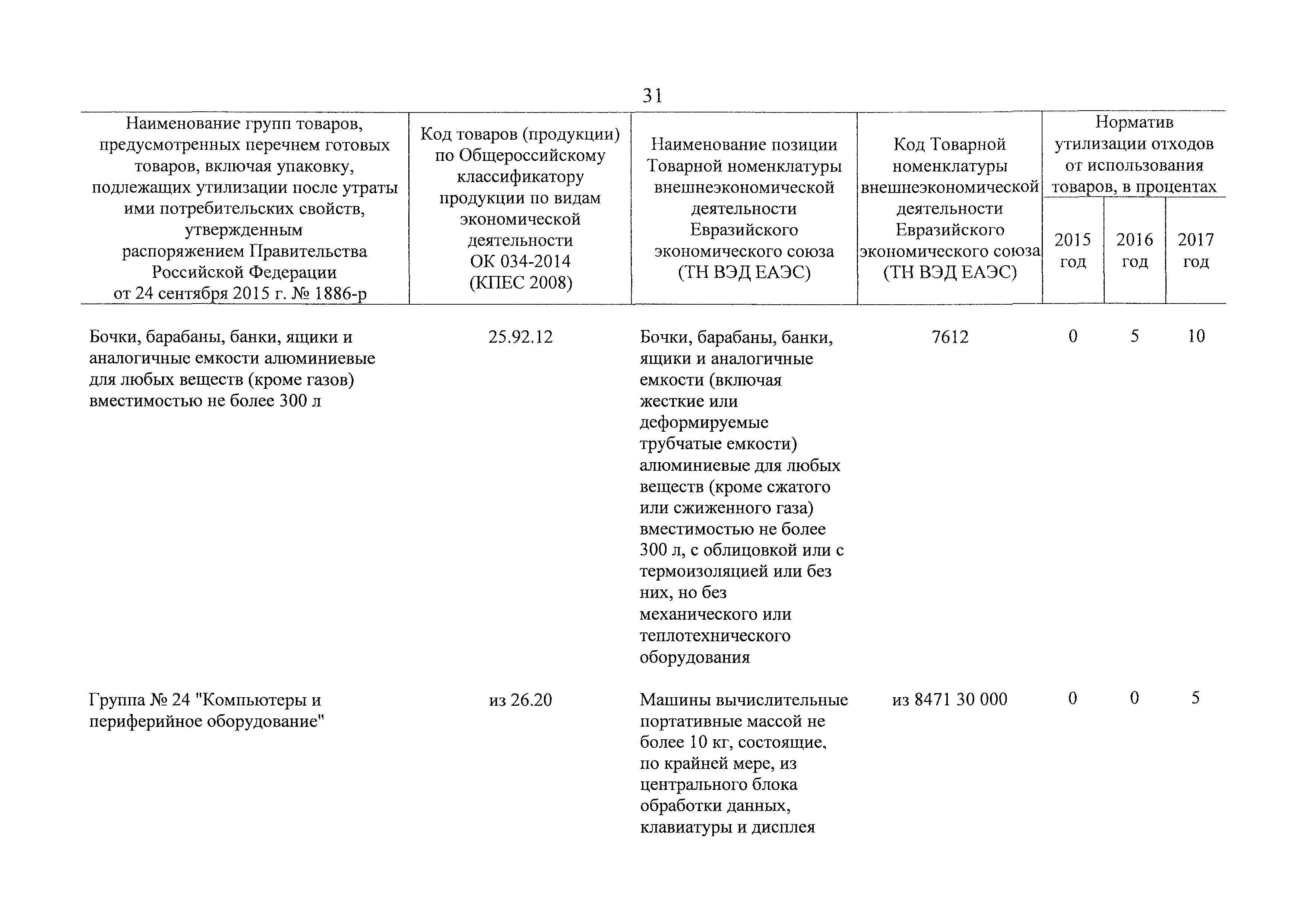
Нормативы утилизации отходов от использования товаров

Статус:действует
Название рус.:Нормативы утилизации отходов от использования товаров
Дата добавления в базу:12.02.2016
Дата актуализации:05.05.2017
Дата введения:09.12.2015
Утверждён:04.12.2015 Правительство Российской Федерации (2491-р)
Издан: Официальный интернет-портал правовой информации (www.pravo.gov.ru) (от 09.12.2015 г. Номер опубликования: 0001201512090006)
Расположен в:Техническая документация Экология ОХРАНА ОКРУЖАЮЩЕЙ СРЕДЫ, ЗАЩИТА ЧЕЛОВЕКА ОТ ВОЗДЕЙСТВИЯ ОКРУЖАЮЩЕЙ СРЕДЫ. БЕЗОПАСНОСТЬ Отходы Отходы в целом Строительство Нормативно-правовые документы Стандартизация и нормирование
Нормативные ссылки:

© 2013 Ёшкин Кот :-) Карта сайта