Информационная система
«Ёшкин Кот»

Скачать базу одним архивом
Скачать обновления
История создания базы
Карта сайта

Скачать ГОСТ Р 56769-2015 Здания и сооружения. Оценка звукоизоляции воздушного шума

Дата актуализации: 10.08.2017

ГОСТ Р 56769-2015

Здания и сооружения. Оценка звукоизоляции воздушного шума

Обозначение: ГОСТ Р 56769-2015
Обозначение англ: GOST R 56769-2015
Статус:введен впервые
Название рус.:Здания и сооружения. Оценка звукоизоляции воздушного шума
Название англ.:Buildings and constructions. Rating of airborne sound insulation
Дата добавления в базу:01.02.2017
Дата актуализации:05.05.2017
Дата введения:01.06.2016
Область применения:Стандарт: а) определяет одночисловые параметры изоляции воздушного шума в зданиях и элементами зданий, такими как стены, полы, двери и окна; b) учитывает различные спектры разнообразных источников шума, расположенных внутри и снаружи здания; c) устанавливает правила определения одночисловых параметров по результатам измерений, выполненных в третьоктавных или октавных полосах частот в соответствии с ГОСТ Р ИСО 10140-2 и ГОСТ 27296.
Оглавление:1 Область применения
2 Нормативные ссылки
3 Термины и определения
4 Метод оценки одночисловых параметров
5 Представление результатов
Приложение А (рекомендуемое) Применение членов спектральной адаптации
Приложение В (рекомендуемое) Представления и спектры для расширенного диапазона частот
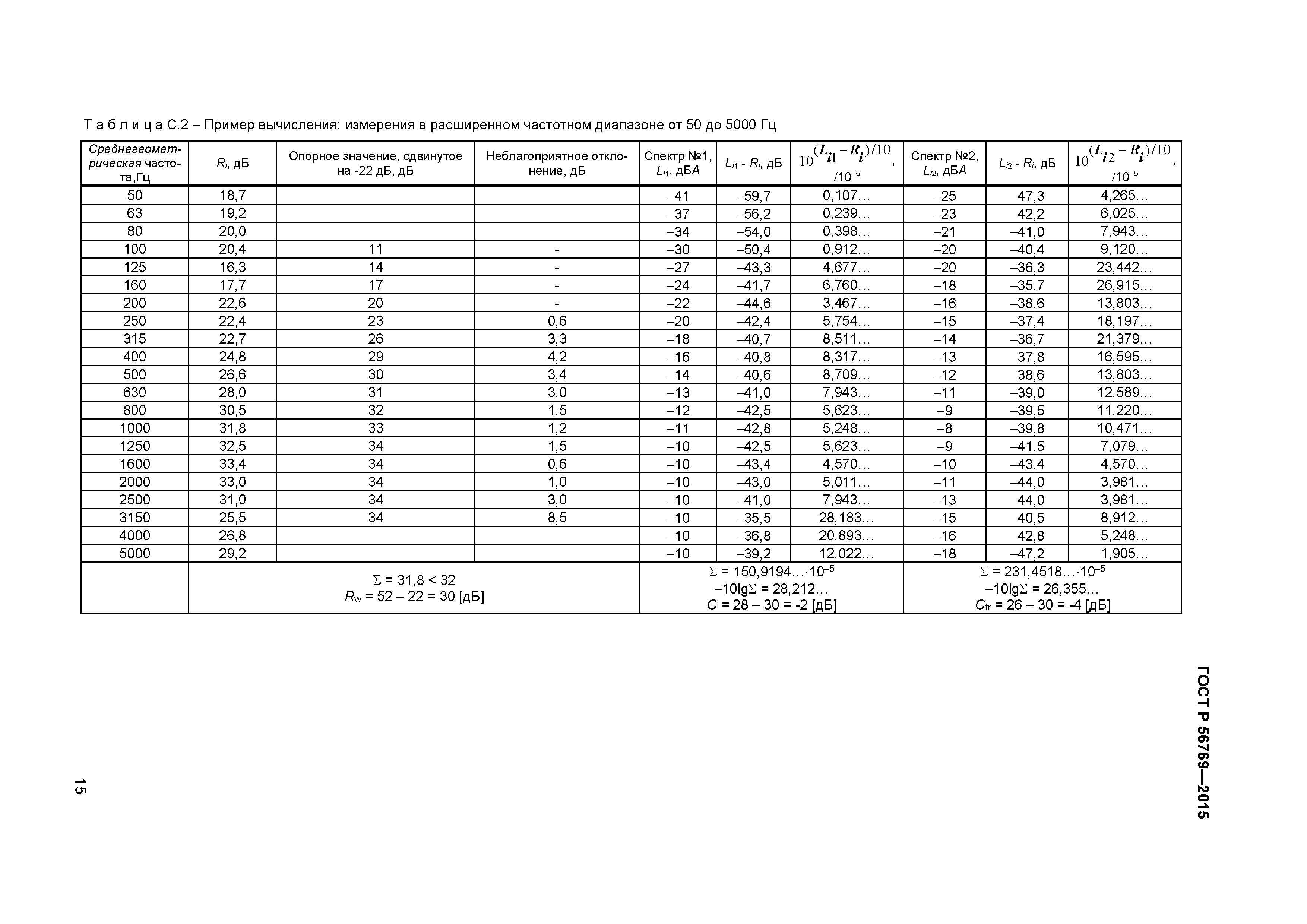
Приложение С (справочное) Примеры вычисления одночисловых параметров и членов спектральной адаптации
Библиография
Разработан: ФГБУ НИИСФ РААСН
Утверждён:26.11.2015 Федеральное агентство по техническому регулированию и метрологии (1986-ст)
Издан: Стандартинформ (2016 г. )
Расположен в:Техническая документация Электроэнергия СТРОИТЕЛЬНЫЕ МАТЕРИАЛЫ И СТРОИТЕЛЬСТВО Защита зданий снаружи и внутри Акустика в зданиях. Звукоизоляция Экология СТРОИТЕЛЬНЫЕ МАТЕРИАЛЫ И СТРОИТЕЛЬСТВО Защита зданий снаружи и внутри Акустика в зданиях. Звукоизоляция Строительство Стандарты Другие государственные стандарты, применяемые в строительстве Строительные материалы и строительство
Нормативные ссылки:
ГОСТ Р 56769-2015ГОСТ Р 56769-2015ГОСТ Р 56769-2015ГОСТ Р 56769-2015ГОСТ Р 56769-2015ГОСТ Р 56769-2015ГОСТ Р 56769-2015ГОСТ Р 56769-2015ГОСТ Р 56769-2015ГОСТ Р 56769-2015ГОСТ Р 56769-2015ГОСТ Р 56769-2015ГОСТ Р 56769-2015ГОСТ Р 56769-2015ГОСТ Р 56769-2015ГОСТ Р 56769-2015ГОСТ Р 56769-2015ГОСТ Р 56769-2015ГОСТ Р 56769-2015ГОСТ Р 56769-2015

© 2013 Ёшкин Кот :-) Карта сайта