Информационная система
«Ёшкин Кот»

Скачать базу одним архивом
Скачать обновления
История создания базы
Карта сайта

Скачать ГОСТ 33246-2015 Информационные технологии. Обучение, образование и подготовка. Упаковка контента. Часть 1. Информационная модель

Дата актуализации: 10.08.2017

ГОСТ 33246-2015

Информационные технологии. Обучение, образование и подготовка. Упаковка контента. Часть 1. Информационная модель

Обозначение: ГОСТ 33246-2015
Обозначение англ: GOST 33246-2015
Статус:введен впервые
Название рус.:Информационные технологии. Обучение, образование и подготовка. Упаковка контента. Часть 1. Информационная модель
Название англ.:Information technology. Learning, education, and training. Content packaging. Part 1. Information model
Дата добавления в базу:01.02.2017
Дата актуализации:05.05.2017
Дата введения:01.11.2016
Область применения:Областью применения стандарта является описание структур данных, которые могут быть использованы для обмена образовательным контентом между системами, которые могут импортировать, экспортировать, объединять и разъединять пакеты образовательного контента.
Оглавление:1 Область применения
2 Нормативные ссылки
3 Термины и определения
4 Сокращения
5 Концептуальная модель упаковки контента (CPCM)
6 Описание классов и требований к взаимосвязи
   6.1 Основные термины и понятия
   6.2 Платформонезависимая модель информационной модели упаковки контента
   6.3 Класс InterchangePackage
   6.4 Семейство классов Manifest
   6.5 Семейство классов Organizations
   6.6 Семейство классов Resources
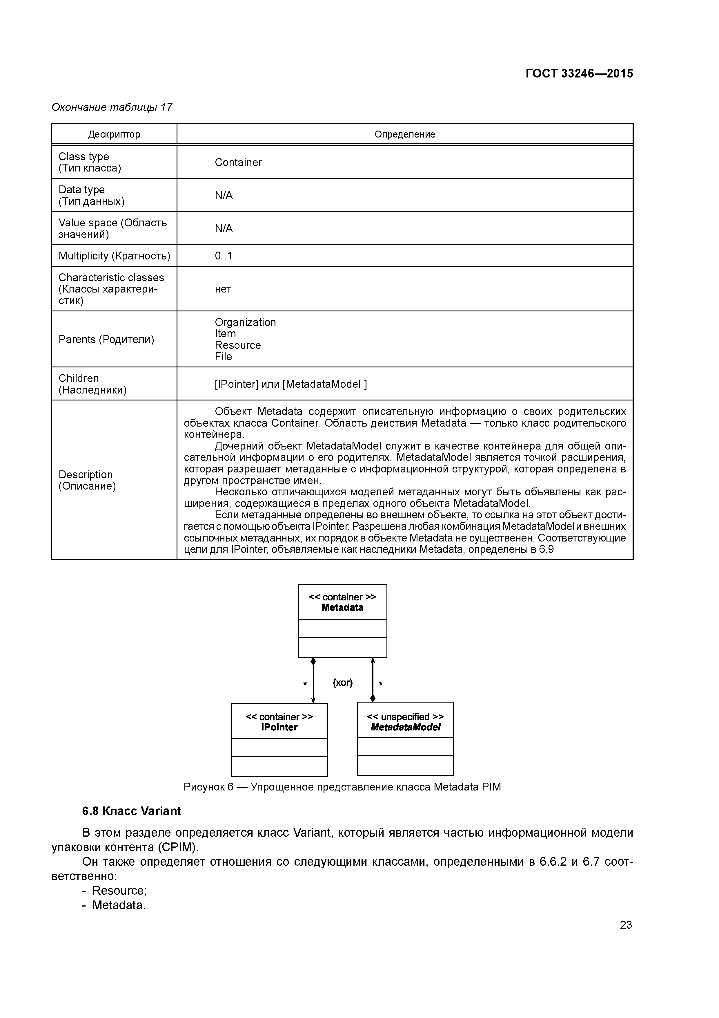
   6.7 Класс Metadata
   6.8 Класс Variant
   6.9 Класс IPointer
   6.10 Класс Extension
   6.11 Классы характеристик
7 Соответствия
   7.1 Формулировки
   7.2 Экземпляры пакетов обмена
   7.3 Считыватели пакетов
   7.4 Записыватели пакетов
   7.5 Расширения (расширение соответствий)
Приложение А (справочное) Первоисточник стандарта
Приложение В (справочное) Подтверждение прав интеллектуальной собственности
Приложение ДА (справочное) Сравнение структуры международного стандарта со структурой межгосударственного стандарта
Библиография
Разработан: ФГБОУ ВПО Московский государственный технологический университет СТАНКИН
Утверждён:18.06.2015 Межгосударственный Совет по стандартизации, метрологии и сертификации (Inter-Governmental Council on Standardization, Metrology, and Certification 47)
17.11.2015 Федеральное агентство по техническому регулированию и метрологии (1835-ст)
Издан: Стандартинформ (2016 г. )
Расположен в:Техническая документация Электроэнергия ИНФОРМАЦИОННЫЕ ТЕХНОЛОГИИ. МАШИНЫ КОНТОРСКИЕ Применение информационных технологий Применение информационных технологий в других областях Экология ИНФОРМАЦИОННЫЕ ТЕХНОЛОГИИ. МАШИНЫ КОНТОРСКИЕ Применение информационных технологий Применение информационных технологий в других областях
Нормативные ссылки:
ГОСТ 33246-2015ГОСТ 33246-2015ГОСТ 33246-2015ГОСТ 33246-2015ГОСТ 33246-2015ГОСТ 33246-2015ГОСТ 33246-2015ГОСТ 33246-2015ГОСТ 33246-2015ГОСТ 33246-2015ГОСТ 33246-2015ГОСТ 33246-2015ГОСТ 33246-2015ГОСТ 33246-2015ГОСТ 33246-2015ГОСТ 33246-2015ГОСТ 33246-2015ГОСТ 33246-2015ГОСТ 33246-2015ГОСТ 33246-2015ГОСТ 33246-2015ГОСТ 33246-2015ГОСТ 33246-2015ГОСТ 33246-2015ГОСТ 33246-2015ГОСТ 33246-2015ГОСТ 33246-2015ГОСТ 33246-2015ГОСТ 33246-2015ГОСТ 33246-2015ГОСТ 33246-2015ГОСТ 33246-2015ГОСТ 33246-2015ГОСТ 33246-2015ГОСТ 33246-2015ГОСТ 33246-2015ГОСТ 33246-2015ГОСТ 33246-2015ГОСТ 33246-2015ГОСТ 33246-2015ГОСТ 33246-2015ГОСТ 33246-2015ГОСТ 33246-2015ГОСТ 33246-2015ГОСТ 33246-2015ГОСТ 33246-2015ГОСТ 33246-2015ГОСТ 33246-2015ГОСТ 33246-2015ГОСТ 33246-2015

© 2013 Ёшкин Кот :-) Карта сайта