Информационная система
«Ёшкин Кот»

Скачать базу одним архивом
Скачать обновления
История создания базы
Карта сайта

Скачать ГОСТ Р ЕН 15259-2015 Качество воздуха. Выбросы стационарных источников. Требования к выбору измерительных секций и мест измерений, цели и плану измерений и составлению отчета

Дата актуализации: 10.08.2017

ГОСТ Р ЕН 15259-2015

Качество воздуха. Выбросы стационарных источников. Требования к выбору измерительных секций и мест измерений, цели и плану измерений и составлению отчета

Обозначение: ГОСТ Р ЕН 15259-2015
Обозначение англ: GOST R EN 15259-2015
Статус:введен впервые
Название рус.:Качество воздуха. Выбросы стационарных источников. Требования к выбору измерительных секций и мест измерений, цели и плану измерений и составлению отчета
Название англ.:Air quality. Measurement of stationary source emissions. Requirements for measurement sections and sites and for the measurement objective, plan and report
Дата добавления в базу:01.02.2017
Дата актуализации:05.05.2017
Дата введения:01.07.2016
Область применения:Стандарт устанавливает требования: а) к измерительным секциям и местам при выполнении измерений выбросов; б) цели измерений, планированию и составлению отчета по измерениям выбросов загрязняющих воздух веществ и других вспомогательных величин в газоходах с отходящими газами промышленных предприятий. Стандарт применяют при проведении периодических измерений с использованием ручных или автоматизированных референтных методов (РМ). Стандарт устанавливает общие принципы, применяемые при выполнении измерений выбросов на предприятиях различного типа и для достижения различных целей измерений.
Оглавление:1 Область применения
2 Нормативные ссылки
3 Термины и определения
4 Обозначения и сокращения
   4.1 Обозначения
   4.2 Сокращения
5 Основные положения
   5.1 Общие положения
   5.2 Измерительная секция и место измерений
   5.3 Цель и план измерений
   5.4 Методология отбора проб
   5.5 Протокол измерений
6 Измерительная секция и место измерений
   6.1 Общие положения
   6.2 Измерительная секция
   6.3 Место измерений
7 Цель и план измерений
   7.1 Цель измерений
   7.2 План измерений
8 Методология отбора проб
   8.1 Общие положения
   8.2 Определение твердых частиц и других компонентов отходящего газа в точках измерительной сетки
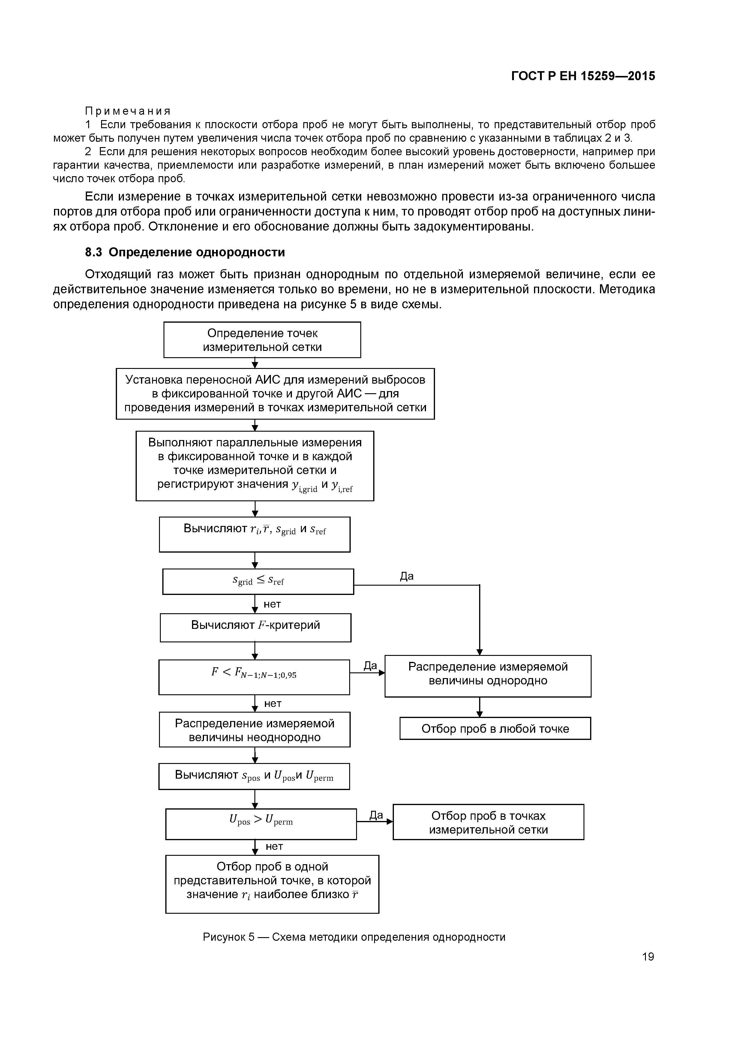
   8.3 Определение однородности
   8.4 Стационарные АИС
9 Протокол измерений
Приложение А (справочное) Проект и конструкция мест измерений
Приложение В (справочное) Планирование измерений
Приложение С (справочное) Приведение к стандартным величинам
Приложение D (справочное) Методология отбора проб
Приложение Е (справочное) Примеры определения однородности профилей отходящего газа
Приложение F (справочное) Пример формы протокола измерений выбросов
Приложение G (справочное) Теоретическая основа определения среднего содержания в измерительной плоскости
Библиография
Разработан: ОАО НИЦ КД
Утверждён:17.11.2015 Федеральное агентство по техническому регулированию и метрологии (1841-ст)
Издан: Стандартинформ (2016 г. )
Расположен в:Техническая документация Электроэнергия ОХРАНА ОКРУЖАЮЩЕЙ СРЕДЫ, ЗАЩИТА ЧЕЛОВЕКА ОТ ВОЗДЕЙСТВИЯ ОКРУЖАЮЩЕЙ СРЕДЫ. БЕЗОПАСНОСТЬ Качество воздуха Выбросы стационарных источников Экология ОХРАНА ОКРУЖАЮЩЕЙ СРЕДЫ, ЗАЩИТА ЧЕЛОВЕКА ОТ ВОЗДЕЙСТВИЯ ОКРУЖАЮЩЕЙ СРЕДЫ. БЕЗОПАСНОСТЬ Качество воздуха Выбросы стационарных источников Строительство Стандарты Другие государственные стандарты, применяемые в строительстве Охрана окружающей среды, защита человека от воздействия окружающей среды. Безопасность
ГОСТ Р ЕН 15259-2015ГОСТ Р ЕН 15259-2015ГОСТ Р ЕН 15259-2015ГОСТ Р ЕН 15259-2015ГОСТ Р ЕН 15259-2015ГОСТ Р ЕН 15259-2015ГОСТ Р ЕН 15259-2015ГОСТ Р ЕН 15259-2015ГОСТ Р ЕН 15259-2015ГОСТ Р ЕН 15259-2015ГОСТ Р ЕН 15259-2015ГОСТ Р ЕН 15259-2015ГОСТ Р ЕН 15259-2015ГОСТ Р ЕН 15259-2015ГОСТ Р ЕН 15259-2015ГОСТ Р ЕН 15259-2015ГОСТ Р ЕН 15259-2015ГОСТ Р ЕН 15259-2015ГОСТ Р ЕН 15259-2015ГОСТ Р ЕН 15259-2015ГОСТ Р ЕН 15259-2015ГОСТ Р ЕН 15259-2015ГОСТ Р ЕН 15259-2015ГОСТ Р ЕН 15259-2015ГОСТ Р ЕН 15259-2015ГОСТ Р ЕН 15259-2015ГОСТ Р ЕН 15259-2015ГОСТ Р ЕН 15259-2015ГОСТ Р ЕН 15259-2015ГОСТ Р ЕН 15259-2015ГОСТ Р ЕН 15259-2015ГОСТ Р ЕН 15259-2015ГОСТ Р ЕН 15259-2015ГОСТ Р ЕН 15259-2015ГОСТ Р ЕН 15259-2015ГОСТ Р ЕН 15259-2015ГОСТ Р ЕН 15259-2015ГОСТ Р ЕН 15259-2015ГОСТ Р ЕН 15259-2015ГОСТ Р ЕН 15259-2015ГОСТ Р ЕН 15259-2015ГОСТ Р ЕН 15259-2015ГОСТ Р ЕН 15259-2015ГОСТ Р ЕН 15259-2015ГОСТ Р ЕН 15259-2015ГОСТ Р ЕН 15259-2015ГОСТ Р ЕН 15259-2015ГОСТ Р ЕН 15259-2015ГОСТ Р ЕН 15259-2015ГОСТ Р ЕН 15259-2015ГОСТ Р ЕН 15259-2015ГОСТ Р ЕН 15259-2015ГОСТ Р ЕН 15259-2015ГОСТ Р ЕН 15259-2015ГОСТ Р ЕН 15259-2015ГОСТ Р ЕН 15259-2015ГОСТ Р ЕН 15259-2015ГОСТ Р ЕН 15259-2015ГОСТ Р ЕН 15259-2015ГОСТ Р ЕН 15259-2015ГОСТ Р ЕН 15259-2015ГОСТ Р ЕН 15259-2015ГОСТ Р ЕН 15259-2015ГОСТ Р ЕН 15259-2015ГОСТ Р ЕН 15259-2015

© 2013 Ёшкин Кот :-) Карта сайта