Скачать ГОСТ 33563-2015 Биотопливо твердое. Отбор пробДата актуализации: 10.08.2017 ГОСТ 33563-2015
Биотопливо твердое. Отбор пробОбозначение: | ГОСТ 33563-2015 | Обозначение англ: | GOST 33563-2015 | Статус: | введен впервые | Название рус.: | Биотопливо твердое. Отбор проб | Название англ.: | Solid biofuels. Sampling | Дата добавления в базу: | 01.02.2017 | Дата актуализации: | 05.05.2017 | Дата введения: | 01.01.2017 | Область применения: | Стандарт устанавливает методы отбора проб твердого биотоплива из мест произрастания сырья, на предприятиях производителях, из отдельной поставки или со склада.
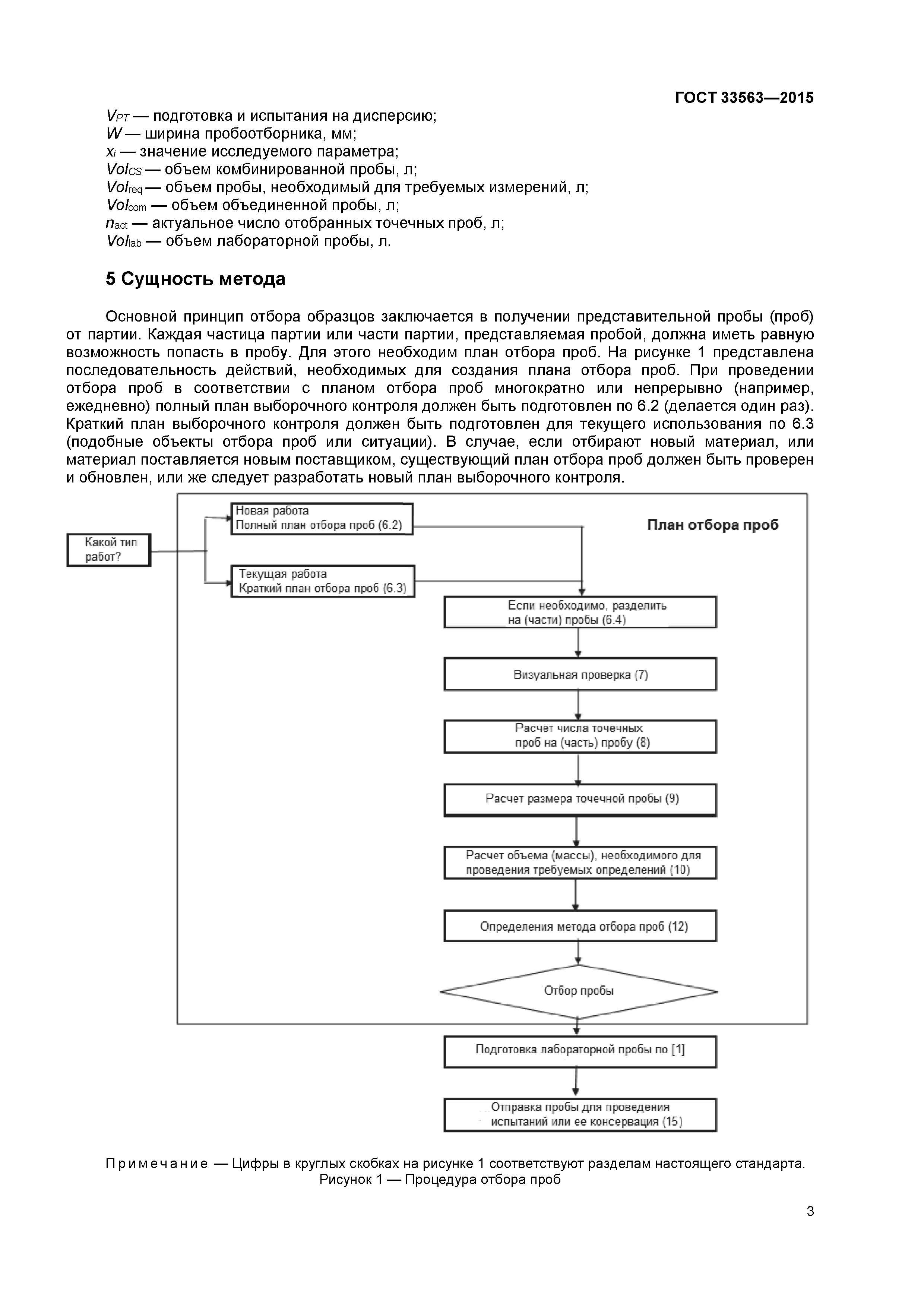
Стандарт распространяется как на ручные, так и на механические методы отбора проб твердого биотоплива следующих типов: -мелкие (тонкие) и определенной формы частицы материалов размерами частиц около 10 мм, которые могут быть отобраны с помощью лопатки или труб, например: опилки, оливковые косточки и древесные гранулы; -крупные (грубые) или нерегулярной формы частицы материала размерами частиц около 200 мм, которые могут быть отобраны вилами или лопатой, например: древесная щепа и скорлупа орехов, щепа остатков леса и неутромбованная солома; -брикетированные материалы, требующие специальных инструментов для отбора в том случае, если брикеты не должны быть сломаны при открытии для отбора проб, например: кипы соломы или травы; -большие куски (размер частиц более 200 мм, собираемые вручную); -волокнистые и растительные отходы, обезвоженные в ленточном прессе; -круглое дерево. | Оглавление: | 1 Область применения 2 Нормативные ссылки 3 Термины и определения 4 Символы и аббревиатуры 5 Сущность метода 6 Создание плана отбора проб (план выборочного контроля 7 Визуальный осмотр 8 Число точечных проб 9 Расчет размера точечной пробы 10 Расчет объема объединенной пробы 11 Оборудование для ручного отбора проб 12 Отбор проб на практике 13 Подготовка проб 14 Представительные характеристики 15 Обработка и хранение проб 16 Акт отбора проб Приложение А (справочное) Руководство по составлению плана отбора проб Приложение В (справочное) Отбор проб из большого штабеля Приложение С (справочное) Насыпная плотность биотоплива Приложение D (справочное) Эмпирические значения для PL, V1 и VPT Приложение Е (справочное) Руководство по определению необходимого числа точечных проб Библиография | Разработан: | ФГУП ВНИИ СМТ
| Утверждён: | 27.10.2015 Межгосударственный Совет по стандартизации, метрологии и сертификации (Inter-Governmental Council on Standardization, Metrology, and Certification 81-П) 13.11.2015 Федеральное агентство по техническому регулированию и метрологии (1797-ст)
| Издан: | Стандартинформ (2016 г. )
| Расположен в: |
| Нормативные ссылки: | |
                                    
|