Информационная система
«Ёшкин Кот»

Скачать базу одним архивом
Скачать обновления
История создания базы
Карта сайта

Скачать ГОСТ IEC 60958-1-2014 Интерфейс цифровой звуковой. Часть 1. Общие положения

Дата актуализации: 10.08.2017

ГОСТ IEC 60958-1-2014

Интерфейс цифровой звуковой. Часть 1. Общие положения

Обозначение: ГОСТ IEC 60958-1-2014
Обозначение англ: 60958-1-2014
Статус:введен впервые
Название рус.:Интерфейс цифровой звуковой. Часть 1. Общие положения
Название англ.:Digital audio interface. Part 1. General
Дата добавления в базу:01.02.2017
Дата актуализации:05.05.2017
Дата введения:01.11.2016
Область применения:Стандарт распространяется на последовательный однонаправленный самосинхронизирующийся интерфейс для подключения цифровой звуковой аппаратуры бытового и профессионального применения.
Оглавление:1 Область применения
2 Нормативные ссылки
3 Термины и определения
4 Формат интерфейса
   4.1 Структура формата
   4.2 Кодирование в канале
   4.3 Преамбулы
   4.4 Бит достоверности
5 Состояние канала
   5.1 Общие положения
   5.2 Применения
   5.3 Основные значения первых двух битов состояния канала
   5.4 Коды категорий
6 Данные пользователя
   6.1 Общие положения
   6.2 Применения
7 Электрические требования
   7.1 Бытовое применение
   7.2 Профессиональное применение
8 Оптические требования
   8.1 Бытовое применение
   8.2 Профессиональное применение
Приложение А (справочное) Применение бита достоверности
Приложение В (справочное) Документы и спецификации для различных видов применений
Приложение С (справочное) Взаимосвязь стандартов серии IЕС 60958 и других серий стандартов
Приложение D (справочное) Передача данных компакт-диска (СD), отличных от аудиосигнала с линейной РСМ
Приложение Е (справочное) Формат данных, совместимый с форматом данных стандартов серии IЕС 60958
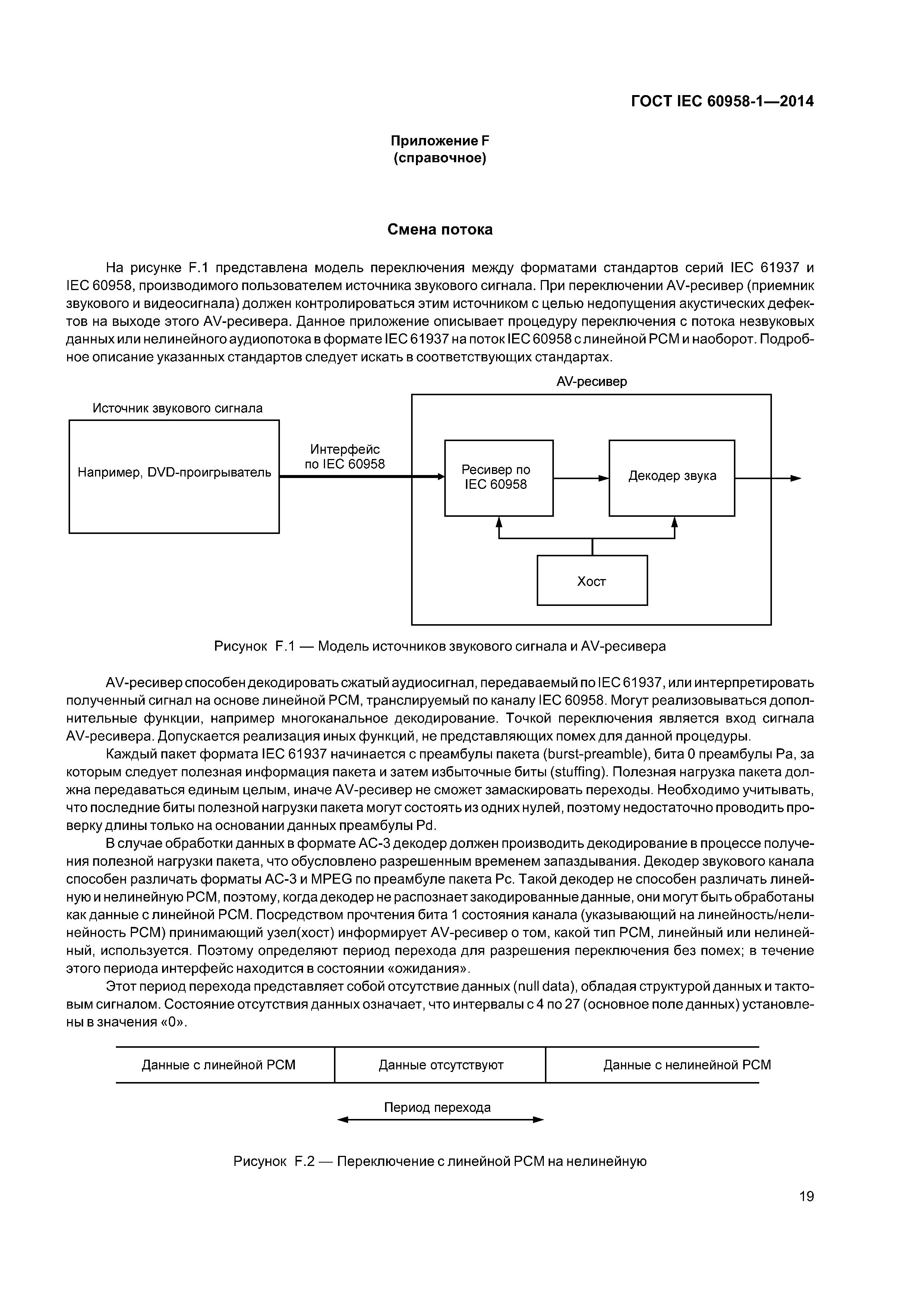
Приложение F (справочное) Смена потока
Приложение G (справочное) Характеристики оптического соединения
Приложение ДА (справочное) Сведения о соответствии межгосударственных стандартов ссылочным международным стандартам
Библиография
Разработан: АНО НТЦ СЭ ИСЭП
Утверждён:04.12.2014 Межгосударственный Совет по стандартизации, метрологии и сертификации (Inter-Governmental Council on Standardization, Metrology, and Certification 46)
13.10.2015 Федеральное агентство по техническому регулированию и метрологии (1547-ст)
Издан: Стандартинформ (2016 г. )
Расположен в:Техническая документация Электроэнергия ТЕЛЕКОММУНИКАЦИИ. АУДИО-И ВИДЕОТЕХНИКА Аудио-, видео- и аудиовизуальная техника Аудио-, видео- и аудиовизуальные системы в целом Экология ТЕЛЕКОММУНИКАЦИИ. АУДИО-И ВИДЕОТЕХНИКА Аудио-, видео- и аудиовизуальная техника Аудио-, видео- и аудиовизуальные системы в целом
Список изменений:
Нормативные ссылки:
ГОСТ IEC 60958-1-2014ГОСТ IEC 60958-1-2014ГОСТ IEC 60958-1-2014ГОСТ IEC 60958-1-2014ГОСТ IEC 60958-1-2014ГОСТ IEC 60958-1-2014ГОСТ IEC 60958-1-2014ГОСТ IEC 60958-1-2014ГОСТ IEC 60958-1-2014ГОСТ IEC 60958-1-2014ГОСТ IEC 60958-1-2014ГОСТ IEC 60958-1-2014ГОСТ IEC 60958-1-2014ГОСТ IEC 60958-1-2014ГОСТ IEC 60958-1-2014ГОСТ IEC 60958-1-2014ГОСТ IEC 60958-1-2014ГОСТ IEC 60958-1-2014ГОСТ IEC 60958-1-2014ГОСТ IEC 60958-1-2014ГОСТ IEC 60958-1-2014ГОСТ IEC 60958-1-2014ГОСТ IEC 60958-1-2014ГОСТ IEC 60958-1-2014ГОСТ IEC 60958-1-2014ГОСТ IEC 60958-1-2014ГОСТ IEC 60958-1-2014ГОСТ IEC 60958-1-2014

Текстовое изменение Поправка от 30.05.2016

Поправка

© 2013 Ёшкин Кот :-) Карта сайта