Информационная система
«Ёшкин Кот»

Скачать базу одним архивом
Скачать обновления
История создания базы
Карта сайта

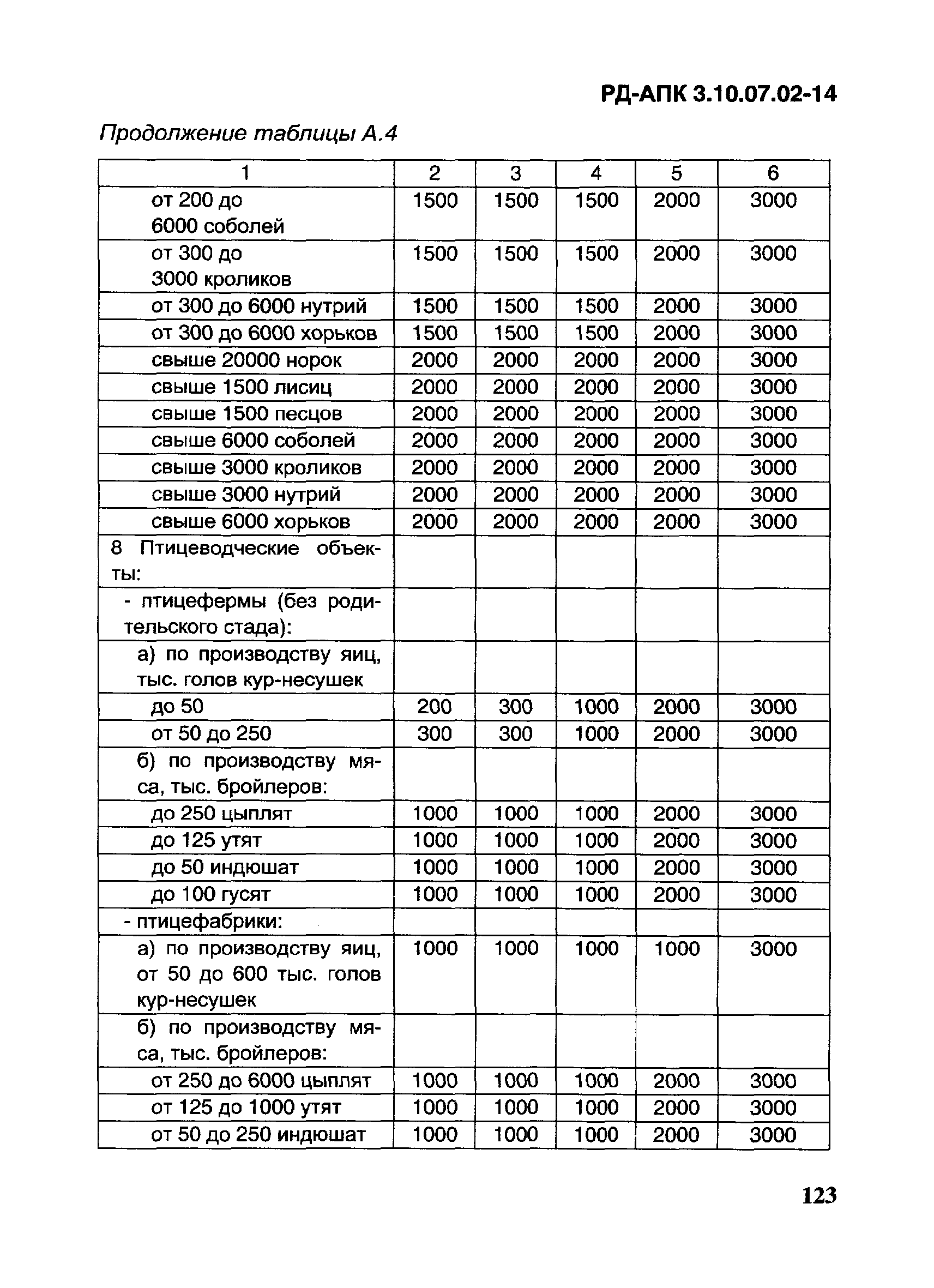
Скачать РД-АПК 3.10.07.02-14 Методическое пособие по ветеринарной экспертизе проектов животноводческих объектов

Дата актуализации: 10.08.2017

РД-АПК 3.10.07.02-14

Методическое пособие по ветеринарной экспертизе проектов животноводческих объектов

Обозначение: РД-АПК 3.10.07.02-14
Обозначение англ: RD-APK 3.10.07.02-14
Статус:действует
Название рус.:Методическое пособие по ветеринарной экспертизе проектов животноводческих объектов
Дата добавления в базу:12.02.2016
Дата актуализации:05.05.2017
Дата введения:01.12.2014
Область применения:Задачей настоящих методических указаний является обеспечение ветеринарных специалистов сведениями о действующих нормативно-методических документах, необходимых для проведения ветеринарной экспертизы, а также методикой проведения ветеринарной экспертизы, имеющей целью обеспечить высокий технический уровень проектных решений при строгом соблюдении ветеринарно-санитарных требований, направленных на сохранение здоровья и повышение продуктивности животных, охрану животноводческих объектов от заноса возбудителей инфекционных и инвазионных болезней, профилактику заболеваний и падежа животных, применение механизации трудоемких работ в ветеринарии, а также охрану окружающей среды от загрязнения сточными водами и производственными отходами животноводческих ферм и комплексов, ферм крестьянских (фермерских) хозяйств и личных подсобных хозяйств.
Оглавление:Введение
1 Содержание ветеринарной экспертизы животноводческих объектов
2 Методика проведения ветеринарной экспертизы
   2.1 Размещение животноводческого объекта
   2.2 Оценка объемно-планировочных и конструктивных решений
   2.3 Соответствие площадей и размеров основных технологических элементов производственных зданий действующим зоогигиеническим нормативам
   2.4 Оценка соответствия потребности и запаса кормов действующим нормативам. Соответствие хранилищ кормов ветеринарно-санитарным требованиям
   2.5 Оценка потребности запаса подстилки. Соответствие подстилки ветеринарно-санитарным требованиям
   2.6 Оценка соответствия норм потребности воды действующим нормативам. Соответствие качества воды действующим нормативам. Оценка системы водоснабжения объекта
   2.7 Оценка систем удаления навоза и канализации. Соответствие системы навозоудаления действующим нормам и ветеринарно-санитарным требованиям. Ветеринарно-санитарная оценка навозохранилищ, помётохранилищ; ветеринарно-санитарная оценка способов карантинирования навоза. Ветеринарно-санитарная оценка ливневой обезвреживания ливневых стоков канализации и способов
   2.8 Соответствие параметров внутреннего воздуха действующим нормативам. Оценка систем отопления и вентиляции по обеспечению требуемых параметров микроклимата
   2.9 Соответствие освещенности помещений действующим нормативам
   2.10 Оценка ветеринарной защиты производственных объектов. Соответствие ветеринарных объектов нормативным требованиям по их составу и направленности. Оценка ветеринарно-санитарных мероприятий, указанных в проекте
   2.11 Ветеринарно-санитарные требования к охране окружающей среды
Приложение А (справочное) Санитарные и зооветеринарные расстояния
Приложение Б (справочное) Справочные материалы для проведения ветеринарной экспертизы
Приложение В (справочное) Дополнительные материалы для проведения экспертизы
Приложение Г (рекомендуемое) Форма экспертного заключения
Библиография
Разработан: ГНУ ВНИИВСГЭ
НПЦ Гипронисельхоз
МГАВМиБ
Утверждён:07.11.2014 Департамент научно-технологической политики и образования Минсельхоза России
Принят:25.09.2014 Департамент ветеринарии Минсельхоза России (Department of Veterinary Medicine, Russian Federation Minselkhoz ВН-25/20531)
07.11.2014 Департамент научно-технологической политики и образования Минсельхоза России
Расположен в:Техническая документация Экология ЗДРАВООХРАНЕНИЕ Ветеринария Строительство Нормативные документы Отраслевые и ведомственные нормативно-методические документы Проектирование предприятий сельского хозяйства
Заменяет собой:
  • РД-АПК 3.10.07.03-08 «Методические указания по ветеринарной экспертизе проектов животноводческих объектов»
Нормативные ссылки:
РД-АПК 3.10.07.02-14РД-АПК 3.10.07.02-14РД-АПК 3.10.07.02-14РД-АПК 3.10.07.02-14РД-АПК 3.10.07.02-14РД-АПК 3.10.07.02-14РД-АПК 3.10.07.02-14РД-АПК 3.10.07.02-14РД-АПК 3.10.07.02-14РД-АПК 3.10.07.02-14РД-АПК 3.10.07.02-14РД-АПК 3.10.07.02-14РД-АПК 3.10.07.02-14РД-АПК 3.10.07.02-14РД-АПК 3.10.07.02-14РД-АПК 3.10.07.02-14РД-АПК 3.10.07.02-14РД-АПК 3.10.07.02-14РД-АПК 3.10.07.02-14РД-АПК 3.10.07.02-14РД-АПК 3.10.07.02-14РД-АПК 3.10.07.02-14РД-АПК 3.10.07.02-14РД-АПК 3.10.07.02-14РД-АПК 3.10.07.02-14РД-АПК 3.10.07.02-14РД-АПК 3.10.07.02-14РД-АПК 3.10.07.02-14РД-АПК 3.10.07.02-14РД-АПК 3.10.07.02-14РД-АПК 3.10.07.02-14РД-АПК 3.10.07.02-14РД-АПК 3.10.07.02-14РД-АПК 3.10.07.02-14РД-АПК 3.10.07.02-14РД-АПК 3.10.07.02-14РД-АПК 3.10.07.02-14РД-АПК 3.10.07.02-14РД-АПК 3.10.07.02-14РД-АПК 3.10.07.02-14РД-АПК 3.10.07.02-14РД-АПК 3.10.07.02-14РД-АПК 3.10.07.02-14РД-АПК 3.10.07.02-14РД-АПК 3.10.07.02-14РД-АПК 3.10.07.02-14РД-АПК 3.10.07.02-14РД-АПК 3.10.07.02-14РД-АПК 3.10.07.02-14РД-АПК 3.10.07.02-14РД-АПК 3.10.07.02-14РД-АПК 3.10.07.02-14РД-АПК 3.10.07.02-14РД-АПК 3.10.07.02-14РД-АПК 3.10.07.02-14РД-АПК 3.10.07.02-14РД-АПК 3.10.07.02-14РД-АПК 3.10.07.02-14РД-АПК 3.10.07.02-14РД-АПК 3.10.07.02-14РД-АПК 3.10.07.02-14РД-АПК 3.10.07.02-14РД-АПК 3.10.07.02-14РД-АПК 3.10.07.02-14РД-АПК 3.10.07.02-14РД-АПК 3.10.07.02-14РД-АПК 3.10.07.02-14РД-АПК 3.10.07.02-14РД-АПК 3.10.07.02-14РД-АПК 3.10.07.02-14РД-АПК 3.10.07.02-14РД-АПК 3.10.07.02-14РД-АПК 3.10.07.02-14РД-АПК 3.10.07.02-14РД-АПК 3.10.07.02-14РД-АПК 3.10.07.02-14РД-АПК 3.10.07.02-14РД-АПК 3.10.07.02-14РД-АПК 3.10.07.02-14РД-АПК 3.10.07.02-14РД-АПК 3.10.07.02-14РД-АПК 3.10.07.02-14РД-АПК 3.10.07.02-14РД-АПК 3.10.07.02-14РД-АПК 3.10.07.02-14РД-АПК 3.10.07.02-14РД-АПК 3.10.07.02-14РД-АПК 3.10.07.02-14РД-АПК 3.10.07.02-14РД-АПК 3.10.07.02-14РД-АПК 3.10.07.02-14РД-АПК 3.10.07.02-14РД-АПК 3.10.07.02-14РД-АПК 3.10.07.02-14РД-АПК 3.10.07.02-14РД-АПК 3.10.07.02-14РД-АПК 3.10.07.02-14РД-АПК 3.10.07.02-14РД-АПК 3.10.07.02-14РД-АПК 3.10.07.02-14РД-АПК 3.10.07.02-14РД-АПК 3.10.07.02-14РД-АПК 3.10.07.02-14РД-АПК 3.10.07.02-14РД-АПК 3.10.07.02-14РД-АПК 3.10.07.02-14РД-АПК 3.10.07.02-14РД-АПК 3.10.07.02-14РД-АПК 3.10.07.02-14РД-АПК 3.10.07.02-14РД-АПК 3.10.07.02-14РД-АПК 3.10.07.02-14РД-АПК 3.10.07.02-14РД-АПК 3.10.07.02-14РД-АПК 3.10.07.02-14РД-АПК 3.10.07.02-14РД-АПК 3.10.07.02-14РД-АПК 3.10.07.02-14РД-АПК 3.10.07.02-14РД-АПК 3.10.07.02-14РД-АПК 3.10.07.02-14РД-АПК 3.10.07.02-14РД-АПК 3.10.07.02-14РД-АПК 3.10.07.02-14РД-АПК 3.10.07.02-14РД-АПК 3.10.07.02-14РД-АПК 3.10.07.02-14РД-АПК 3.10.07.02-14РД-АПК 3.10.07.02-14РД-АПК 3.10.07.02-14РД-АПК 3.10.07.02-14РД-АПК 3.10.07.02-14РД-АПК 3.10.07.02-14РД-АПК 3.10.07.02-14РД-АПК 3.10.07.02-14РД-АПК 3.10.07.02-14РД-АПК 3.10.07.02-14РД-АПК 3.10.07.02-14РД-АПК 3.10.07.02-14РД-АПК 3.10.07.02-14РД-АПК 3.10.07.02-14РД-АПК 3.10.07.02-14РД-АПК 3.10.07.02-14РД-АПК 3.10.07.02-14РД-АПК 3.10.07.02-14РД-АПК 3.10.07.02-14РД-АПК 3.10.07.02-14РД-АПК 3.10.07.02-14РД-АПК 3.10.07.02-14РД-АПК 3.10.07.02-14РД-АПК 3.10.07.02-14РД-АПК 3.10.07.02-14РД-АПК 3.10.07.02-14РД-АПК 3.10.07.02-14РД-АПК 3.10.07.02-14РД-АПК 3.10.07.02-14РД-АПК 3.10.07.02-14РД-АПК 3.10.07.02-14РД-АПК 3.10.07.02-14РД-АПК 3.10.07.02-14РД-АПК 3.10.07.02-14РД-АПК 3.10.07.02-14РД-АПК 3.10.07.02-14РД-АПК 3.10.07.02-14РД-АПК 3.10.07.02-14РД-АПК 3.10.07.02-14РД-АПК 3.10.07.02-14РД-АПК 3.10.07.02-14РД-АПК 3.10.07.02-14РД-АПК 3.10.07.02-14РД-АПК 3.10.07.02-14РД-АПК 3.10.07.02-14РД-АПК 3.10.07.02-14РД-АПК 3.10.07.02-14РД-АПК 3.10.07.02-14РД-АПК 3.10.07.02-14РД-АПК 3.10.07.02-14РД-АПК 3.10.07.02-14РД-АПК 3.10.07.02-14РД-АПК 3.10.07.02-14РД-АПК 3.10.07.02-14РД-АПК 3.10.07.02-14РД-АПК 3.10.07.02-14РД-АПК 3.10.07.02-14РД-АПК 3.10.07.02-14РД-АПК 3.10.07.02-14РД-АПК 3.10.07.02-14РД-АПК 3.10.07.02-14РД-АПК 3.10.07.02-14РД-АПК 3.10.07.02-14РД-АПК 3.10.07.02-14РД-АПК 3.10.07.02-14РД-АПК 3.10.07.02-14РД-АПК 3.10.07.02-14РД-АПК 3.10.07.02-14РД-АПК 3.10.07.02-14РД-АПК 3.10.07.02-14РД-АПК 3.10.07.02-14РД-АПК 3.10.07.02-14РД-АПК 3.10.07.02-14РД-АПК 3.10.07.02-14РД-АПК 3.10.07.02-14РД-АПК 3.10.07.02-14РД-АПК 3.10.07.02-14РД-АПК 3.10.07.02-14РД-АПК 3.10.07.02-14РД-АПК 3.10.07.02-14РД-АПК 3.10.07.02-14РД-АПК 3.10.07.02-14РД-АПК 3.10.07.02-14РД-АПК 3.10.07.02-14РД-АПК 3.10.07.02-14РД-АПК 3.10.07.02-14РД-АПК 3.10.07.02-14РД-АПК 3.10.07.02-14РД-АПК 3.10.07.02-14РД-АПК 3.10.07.02-14РД-АПК 3.10.07.02-14РД-АПК 3.10.07.02-14РД-АПК 3.10.07.02-14РД-АПК 3.10.07.02-14РД-АПК 3.10.07.02-14РД-АПК 3.10.07.02-14РД-АПК 3.10.07.02-14РД-АПК 3.10.07.02-14РД-АПК 3.10.07.02-14РД-АПК 3.10.07.02-14РД-АПК 3.10.07.02-14РД-АПК 3.10.07.02-14РД-АПК 3.10.07.02-14РД-АПК 3.10.07.02-14РД-АПК 3.10.07.02-14РД-АПК 3.10.07.02-14РД-АПК 3.10.07.02-14РД-АПК 3.10.07.02-14РД-АПК 3.10.07.02-14РД-АПК 3.10.07.02-14РД-АПК 3.10.07.02-14РД-АПК 3.10.07.02-14РД-АПК 3.10.07.02-14РД-АПК 3.10.07.02-14РД-АПК 3.10.07.02-14РД-АПК 3.10.07.02-14РД-АПК 3.10.07.02-14РД-АПК 3.10.07.02-14РД-АПК 3.10.07.02-14РД-АПК 3.10.07.02-14РД-АПК 3.10.07.02-14РД-АПК 3.10.07.02-14РД-АПК 3.10.07.02-14РД-АПК 3.10.07.02-14РД-АПК 3.10.07.02-14РД-АПК 3.10.07.02-14РД-АПК 3.10.07.02-14РД-АПК 3.10.07.02-14РД-АПК 3.10.07.02-14РД-АПК 3.10.07.02-14РД-АПК 3.10.07.02-14РД-АПК 3.10.07.02-14РД-АПК 3.10.07.02-14РД-АПК 3.10.07.02-14РД-АПК 3.10.07.02-14РД-АПК 3.10.07.02-14РД-АПК 3.10.07.02-14РД-АПК 3.10.07.02-14РД-АПК 3.10.07.02-14РД-АПК 3.10.07.02-14РД-АПК 3.10.07.02-14РД-АПК 3.10.07.02-14РД-АПК 3.10.07.02-14РД-АПК 3.10.07.02-14РД-АПК 3.10.07.02-14РД-АПК 3.10.07.02-14РД-АПК 3.10.07.02-14РД-АПК 3.10.07.02-14РД-АПК 3.10.07.02-14РД-АПК 3.10.07.02-14РД-АПК 3.10.07.02-14РД-АПК 3.10.07.02-14РД-АПК 3.10.07.02-14РД-АПК 3.10.07.02-14РД-АПК 3.10.07.02-14РД-АПК 3.10.07.02-14РД-АПК 3.10.07.02-14РД-АПК 3.10.07.02-14РД-АПК 3.10.07.02-14РД-АПК 3.10.07.02-14РД-АПК 3.10.07.02-14

© 2013 Ёшкин Кот :-) Карта сайта