Информационная система
«Ёшкин Кот»

Скачать базу одним архивом
Скачать обновления
История создания базы
Карта сайта

Скачать ГОСТ Р ИСО/МЭК 13157-1-2015 Информационные технологии. Телекоммуникации и обмен информацией между системами. Безопасность NFC. Часть 1. Службы и протокол безопасности NFC-SEC NFCIP-1

Дата актуализации: 10.08.2017

ГОСТ Р ИСО/МЭК 13157-1-2015

Информационные технологии. Телекоммуникации и обмен информацией между системами. Безопасность NFC. Часть 1. Службы и протокол безопасности NFC-SEC NFCIP-1

Обозначение: ГОСТ Р ИСО/МЭК 13157-1-2015
Обозначение англ: GOST R ISO/IEC 13157-1-2015
Статус:введен впервые
Название рус.:Информационные технологии. Телекоммуникации и обмен информацией между системами. Безопасность NFC. Часть 1. Службы и протокол безопасности NFC-SEC NFCIP-1
Название англ.:Information technology. Telecommunications and information exchange between systems. NFC Security. Part 1. NFC-SEC NFCIP-1 security services and protocol
Дата добавления в базу:01.02.2017
Дата актуализации:05.05.2017
Дата введения:01.11.2016
Область применения:Стандарт определяет службы NFC-SEC Защищенный канал и Совместно используемый секретный ключ для NFCIP-1, а также протокол и виды PDU для данных служб.
Оглавление:1 Область применения
2 Соответствие
3 Нормативные ссылки
4 Термины и определения
5 Соглашения и обозначения
6 Сокращения
7 Общие положения
8 Службы
9 Механизмы протоколов
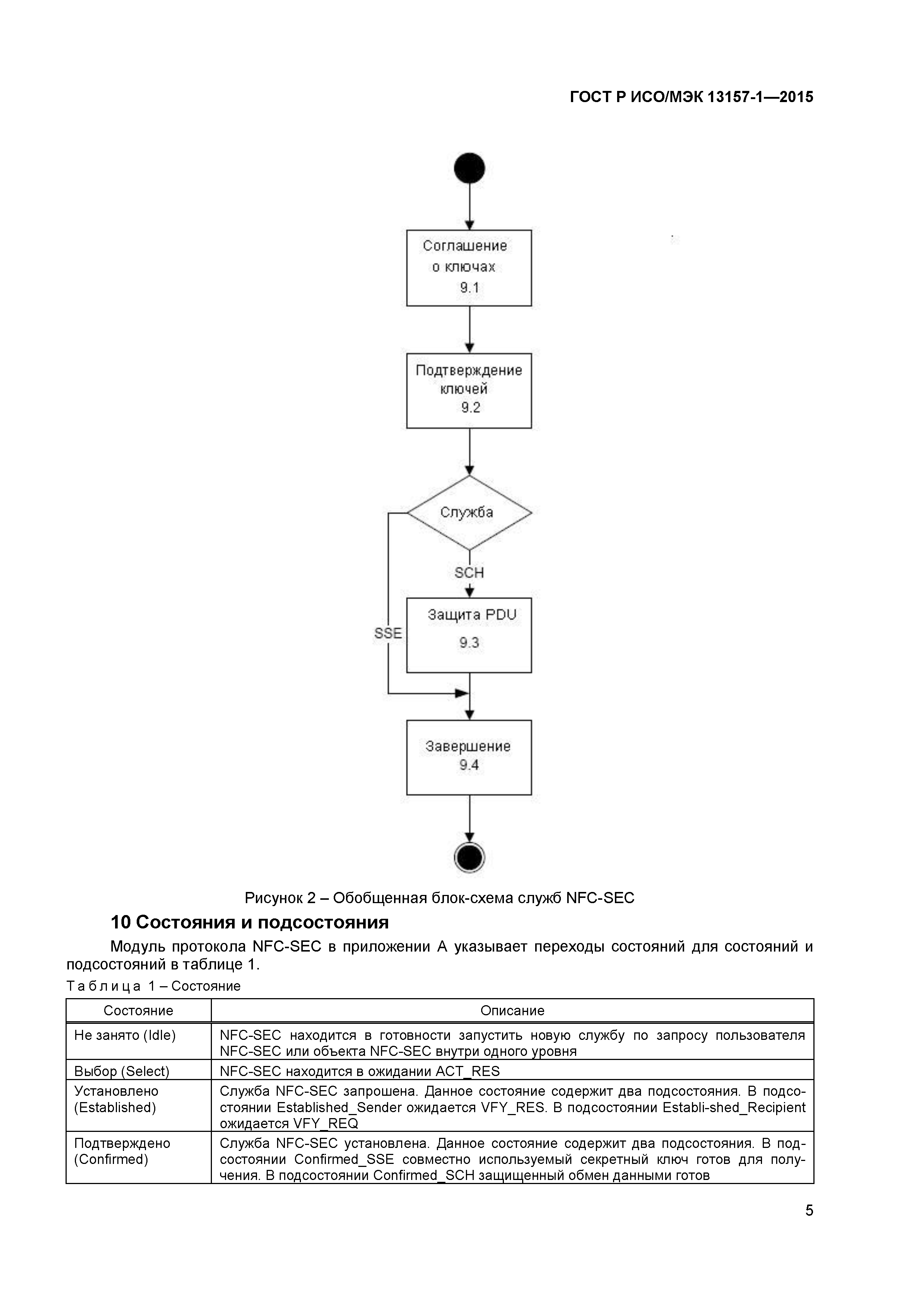
10 Состояния и подсостояния
11 NFC-SEC-PDU
12 Протокольные правила
Приложение А (обязательное) Спецификация модуля протокола
Приложение В (обязательное) Дополнительные требования при использовании NFC-SEC с ИСО/МЭК 18092 (NFCIP-1)
Приложение ДА (справочное) Сведения о соответствии ссылочных международных стандартов национальным стандартам Российской Федерации
Разработан: ФГУП ГосНИИ ТЕСТ
ООО ИАВЦ
Утверждён:10.09.2015 Федеральное агентство по техническому регулированию и метрологии (1329-ст)
Издан: Стандартинформ (2016 г. )
Расположен в:Техническая документация Электроэнергия ИНФОРМАЦИОННЫЕ ТЕХНОЛОГИИ. МАШИНЫ КОНТОРСКИЕ Организация сети Экология ИНФОРМАЦИОННЫЕ ТЕХНОЛОГИИ. МАШИНЫ КОНТОРСКИЕ Организация сети
Нормативные ссылки:
ГОСТ Р ИСО/МЭК 13157-1-2015ГОСТ Р ИСО/МЭК 13157-1-2015ГОСТ Р ИСО/МЭК 13157-1-2015ГОСТ Р ИСО/МЭК 13157-1-2015ГОСТ Р ИСО/МЭК 13157-1-2015ГОСТ Р ИСО/МЭК 13157-1-2015ГОСТ Р ИСО/МЭК 13157-1-2015ГОСТ Р ИСО/МЭК 13157-1-2015ГОСТ Р ИСО/МЭК 13157-1-2015ГОСТ Р ИСО/МЭК 13157-1-2015ГОСТ Р ИСО/МЭК 13157-1-2015ГОСТ Р ИСО/МЭК 13157-1-2015ГОСТ Р ИСО/МЭК 13157-1-2015ГОСТ Р ИСО/МЭК 13157-1-2015ГОСТ Р ИСО/МЭК 13157-1-2015ГОСТ Р ИСО/МЭК 13157-1-2015ГОСТ Р ИСО/МЭК 13157-1-2015ГОСТ Р ИСО/МЭК 13157-1-2015ГОСТ Р ИСО/МЭК 13157-1-2015

© 2013 Ёшкин Кот :-) Карта сайта