Информационная система
«Ёшкин Кот»

Скачать базу одним архивом
Скачать обновления
История создания базы
Карта сайта

Скачать ГОСТ Р 22.9.28-2015 Безопасность в чрезвычайных ситуациях. Инструмент аварийно-спасательный. Классификация

Дата актуализации: 10.08.2017

ГОСТ Р 22.9.28-2015

Безопасность в чрезвычайных ситуациях. Инструмент аварийно-спасательный. Классификация

Обозначение: ГОСТ Р 22.9.28-2015
Обозначение англ: GOST R 22.9.28-2015
Статус:введен впервые
Название рус.:Безопасность в чрезвычайных ситуациях. Инструмент аварийно-спасательный. Классификация
Название англ.:Safety in emergencies. Tool emergency rescue. Classification
Дата добавления в базу:12.02.2016
Дата актуализации:05.05.2017
Дата введения:01.04.2016
Область применения:Стандарт устанавливает классификацию аварийно-спасательного инструмента, предназначенного для проведения аварийно-спасательных работ при ликвидации последствий чрезвычайных ситуаций.
Оглавление:1 Область применения
2 Нормативные ссылки
3 Термины и определения
4 Общие положения
5 Классификация аварийно-спасательного инструмента
   5.1 Классификация аварийно-спасательного инструмента по предметно-функциональным признакам
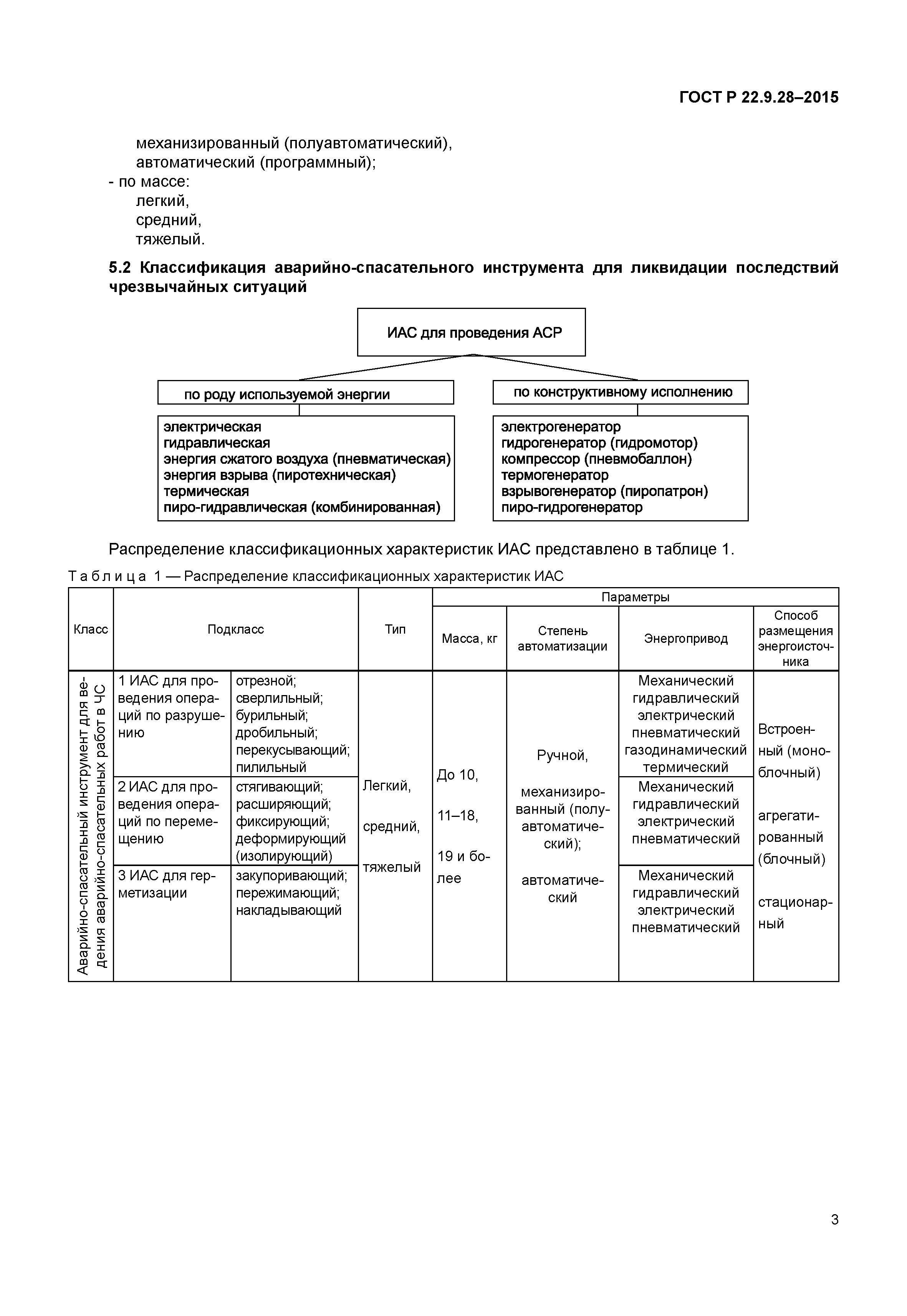
   5.2 Классификация аварийно-спасательного инструмента для ликвидации последствий чрезвычайных ситуаций
Разработан: ФГБУ ВНИИ ГОЧС (ФЦ)
Утверждён:05.08.2015 Федеральное агентство по техническому регулированию и метрологии (1094-ст)
Издан: Стандартинформ (2015 г. )
Расположен в:Техническая документация Электроэнергия ОХРАНА ОКРУЖАЮЩЕЙ СРЕДЫ, ЗАЩИТА ЧЕЛОВЕКА ОТ ВОЗДЕЙСТВИЯ ОКРУЖАЮЩЕЙ СРЕДЫ. БЕЗОПАСНОСТЬ Борьба с несчастными случаями и катастрофами Экология ОХРАНА ОКРУЖАЮЩЕЙ СРЕДЫ, ЗАЩИТА ЧЕЛОВЕКА ОТ ВОЗДЕЙСТВИЯ ОКРУЖАЮЩЕЙ СРЕДЫ. БЕЗОПАСНОСТЬ Борьба с несчастными случаями и катастрофами
Нормативные ссылки:
ГОСТ Р 22.9.28-2015ГОСТ Р 22.9.28-2015ГОСТ Р 22.9.28-2015ГОСТ Р 22.9.28-2015ГОСТ Р 22.9.28-2015ГОСТ Р 22.9.28-2015ГОСТ Р 22.9.28-2015

© 2013 Ёшкин Кот :-) Карта сайта