Информационная система
«Ёшкин Кот»

Скачать базу одним архивом
Скачать обновления
История создания базы
Карта сайта

Скачать ГОСТ Р ИСО 6375-2015 Материалы углеродные для производства алюминия. Кокс для электродов. Отбор проб

Дата актуализации: 10.08.2017

ГОСТ Р ИСО 6375-2015

Материалы углеродные для производства алюминия. Кокс для электродов. Отбор проб

Обозначение: ГОСТ Р ИСО 6375-2015
Обозначение англ: GOST R ISO 6375-2015
Статус:введен впервые
Название рус.:Материалы углеродные для производства алюминия. Кокс для электродов. Отбор проб
Название англ.:Carbonaceous materials used in the production of aluminium. Cokes for electrodes. Sampling
Дата добавления в базу:12.02.2016
Дата актуализации:05.05.2017
Дата введения:01.07.2016
Область применения:Стандарт распространяется на нефтяные прокаленные коксы, используемые в электродных углеродных материалах для производства алюминия, и устанавливает методы отбора и подготовки проб. Целью отбора и подготовки проб является получение таких проб, по результатам испытаний которых можно судить о качестве всей опробованной партии кокса. Стандарт содержит положения, которые не входят в методы отбора проб схожих углеродных материалов, таких, например, как металлургический кокс. Эти положения в основном связаны с пробами для физических измерений и анализа размеров частиц. Кокс должен быть стандартного химического состава. Для проверки качества кокса отбирают две пробы: - первую - во время погрузки для проверки качества поставляемого кокса; - вторую - во время разгрузки на объекте заказчика или в ближайшем порту для проверки на предмет возможного загрязнения при транспортировании.
Оглавление:1 Область применения
2 Нормативные ссылки
3 Практические рекомендации по отбору проб
4 Термины и определения
5 Отбор точечных проб
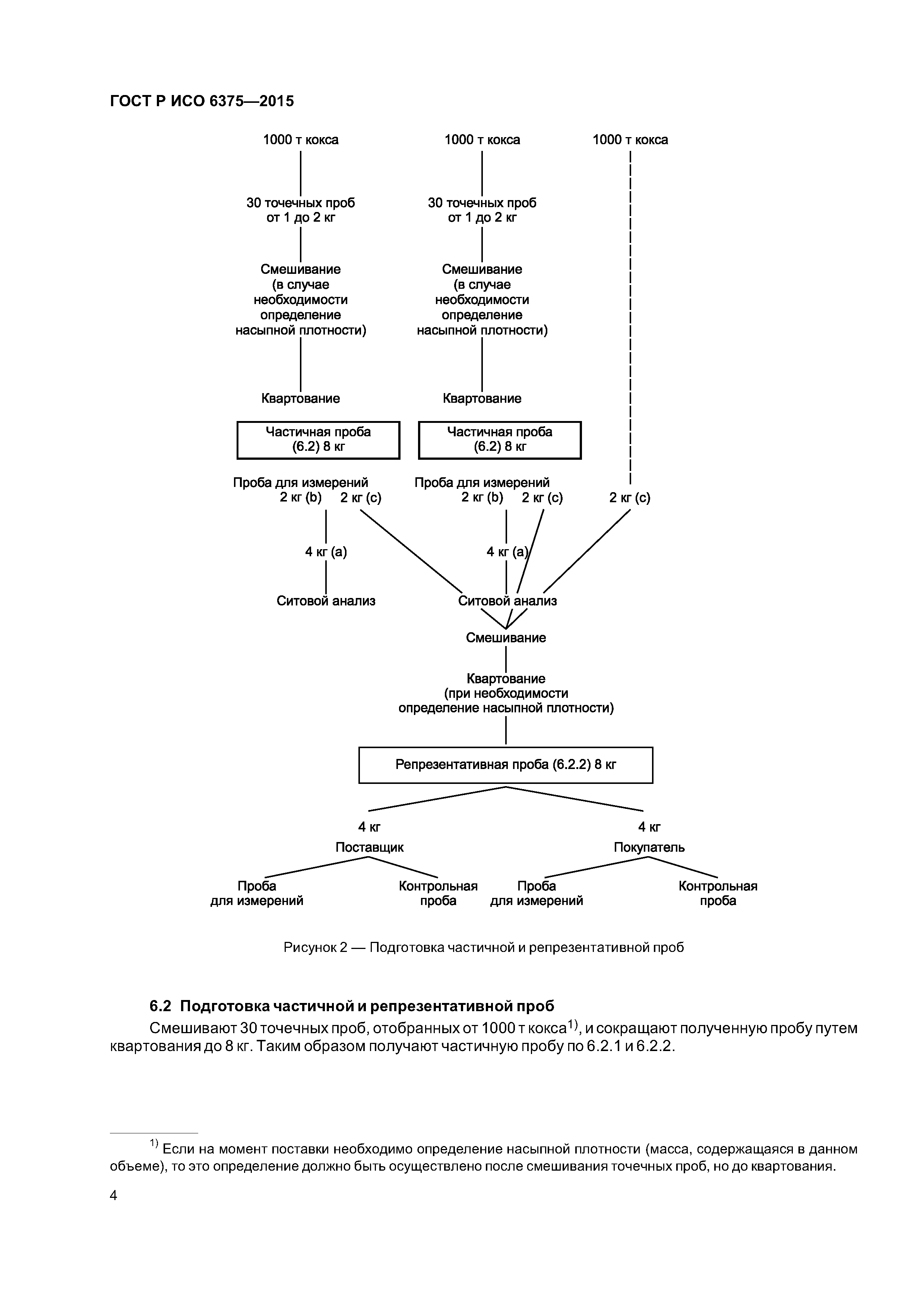
6 Подготовка частичной и репрезентативной проб
7 Приготовление частичной и репрезентативной проб
8 Протокол отбора проб, упаковка проб
Приложение ДА (справочное) Сведения о соответствии ссылочных международных стандартов национальным стандартам Российской Федерации (и действующим в этом качестве межгосударственным стандартам)
Разработан: ОАО Уралэлектродин
Утверждён:08.06.2015 Федеральное агентство по техническому регулированию и метрологии (573-ст)
Издан: Стандартинформ (2015 г. )
Расположен в:Техническая документация Электроэнергия ХИМИЧЕСКАЯ ПРОМЫШЛЕННОСТЬ Продукты химической промышленности Материалы для производства алюминия Экология ХИМИЧЕСКАЯ ПРОМЫШЛЕННОСТЬ Продукты химической промышленности Материалы для производства алюминия
Нормативные ссылки:
ГОСТ Р ИСО 6375-2015ГОСТ Р ИСО 6375-2015ГОСТ Р ИСО 6375-2015ГОСТ Р ИСО 6375-2015ГОСТ Р ИСО 6375-2015ГОСТ Р ИСО 6375-2015ГОСТ Р ИСО 6375-2015ГОСТ Р ИСО 6375-2015ГОСТ Р ИСО 6375-2015ГОСТ Р ИСО 6375-2015ГОСТ Р ИСО 6375-2015

© 2013 Ёшкин Кот :-) Карта сайта