Скачать ОЕРЖмр 81-06-01-2001 Часть 1. Капитальный ремонт и модернизация оборудования лифтов. Книга 1 (Северный, Северо-Западный, Центральный, Волго-Вятский, Центрально-Черноземный, Поволжский, Северо-Кавказский территориальные районы)Дата актуализации: 10.08.2017 ОЕРЖмр 81-06-01-2001
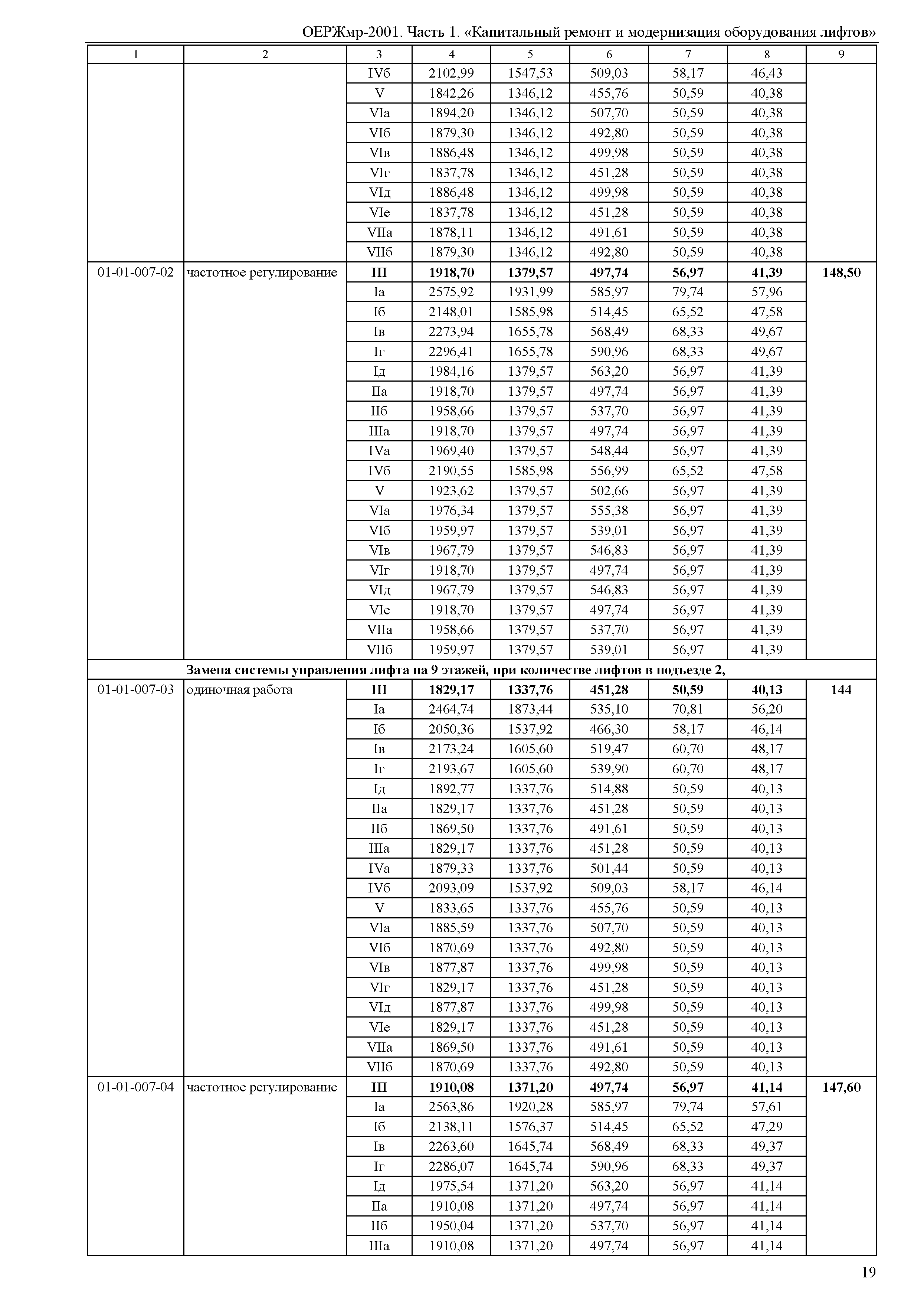
Часть 1. Капитальный ремонт и модернизация оборудования лифтов. Книга 1 (Северный, Северо-Западный, Центральный, Волго-Вятский, Центрально-Черноземный, Поволжский, Северо-Кавказский территориальные районы)Обозначение: | ОЕРЖмр 81-06-01-2001 | Обозначение англ: | 81-06-01-2001 | Статус: | действует | Название рус.: | Часть 1. Капитальный ремонт и модернизация оборудования лифтов. Книга 1 (Северный, Северо-Западный, Центральный, Волго-Вятский, Центрально-Черноземный, Поволжский, Северо-Кавказский территориальные районы) | Дата добавления в базу: | 12.02.2016 | Дата актуализации: | 05.05.2017 | Дата введения: | 01.06.2011 | Область применения: | Отраслевые единичные расценки на капитальный ремонт оборудования предназначены для определения прямых затрат при выполнении работ по капитальному ремонту оборудования и составления на их основе сметных расчетов (смет) на производство указанных работ. | Оглавление: | Часть 1. Капитальный ремонт и модернизация оборудования лифтов Отдел 01. Работы по замене оборудования, устройств и конструкций лифтов Отдел 02. Работы по установке оборудования, устройств и конструкций лифта Отдел 03. Работы по ремонту оборудования, устройств и конструкций лифта Отдел 04. Прочие работы Отдел 05. Работы по техническому диагностированию и обследованию лифтов | Разработан: | ОАО РЖД НО Национальная ассоциация стоимостного инжиниринга
| Утверждён: | 31.01.2011 ОАО РЖД (178р)
| Расположен в: |
|
                                                                                            
|