Скачать ОЕРЖм 81-03-34-2001 Часть 34. Оборудование учреждений здравоохранения и предприятий медицинской промышленности. Книга 1 (Северный, Северо-Западный, Центральный, Волго-Вятский, Центрально-Черноземный, Поволжский, Северо-Кавказский территориальные районы)Дата актуализации: 10.08.2017 ОЕРЖм 81-03-34-2001
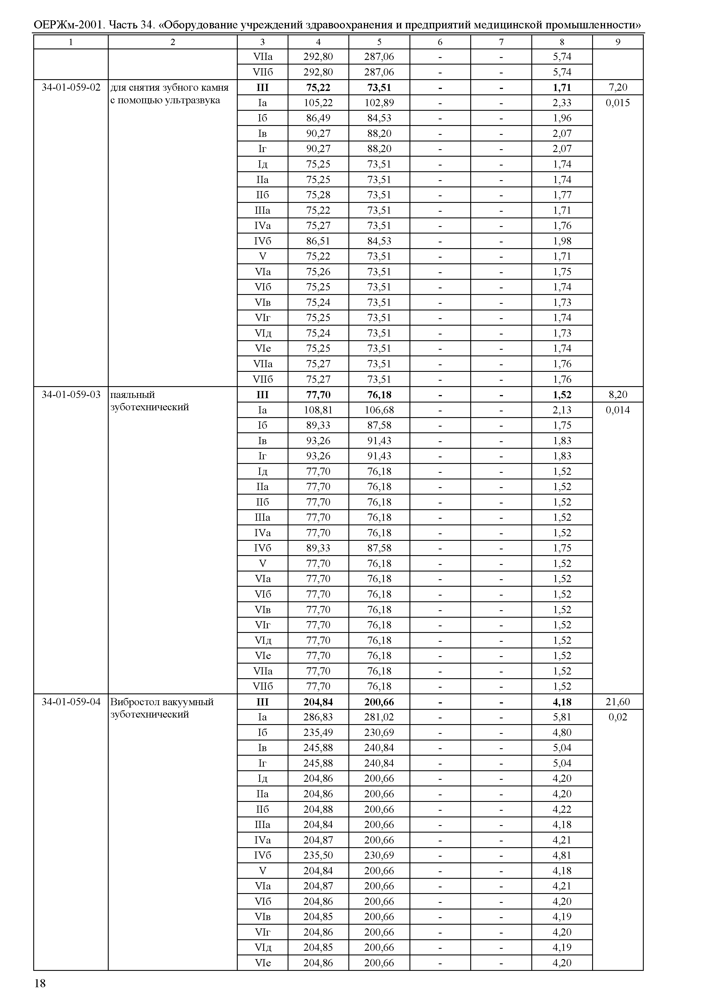
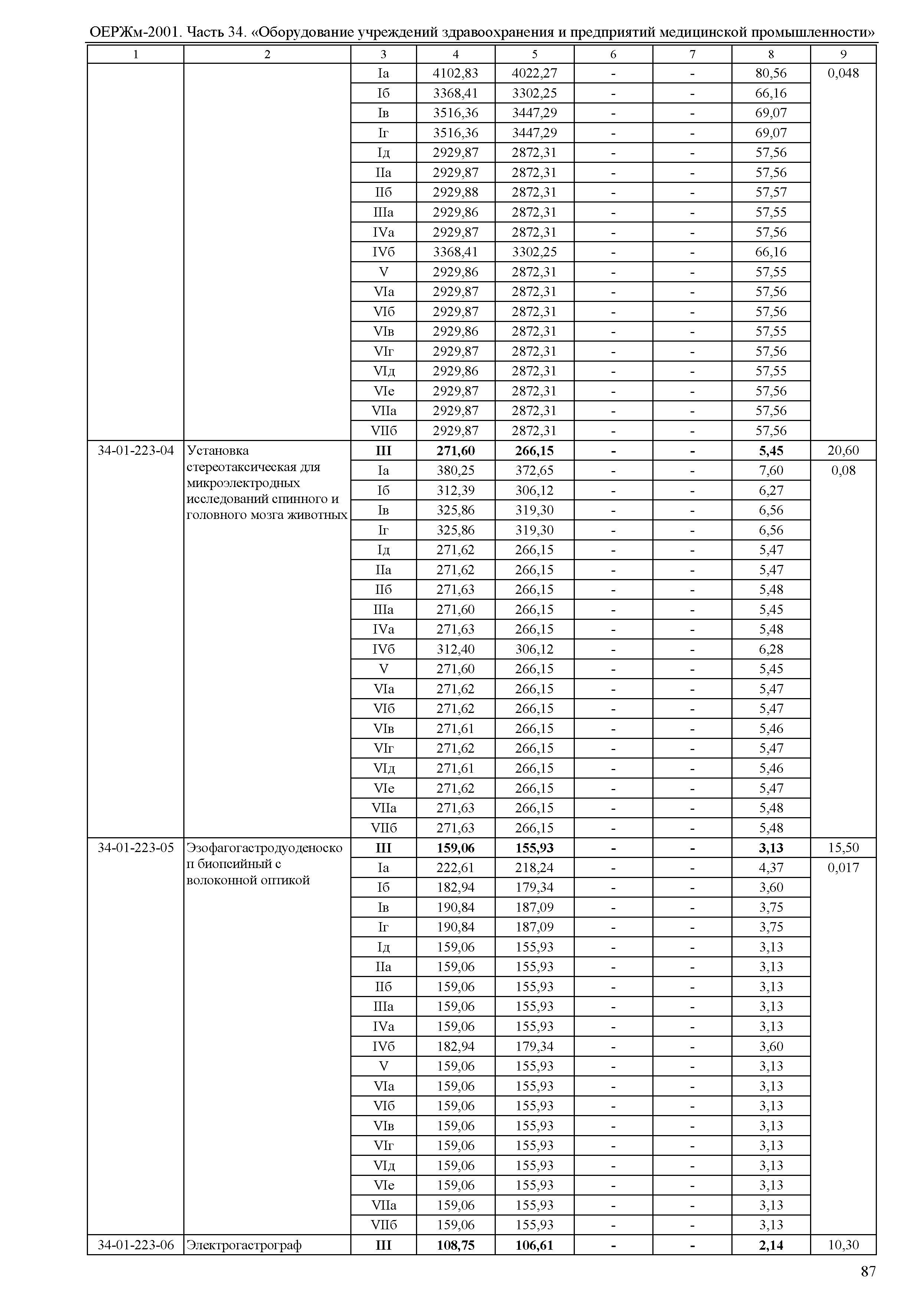
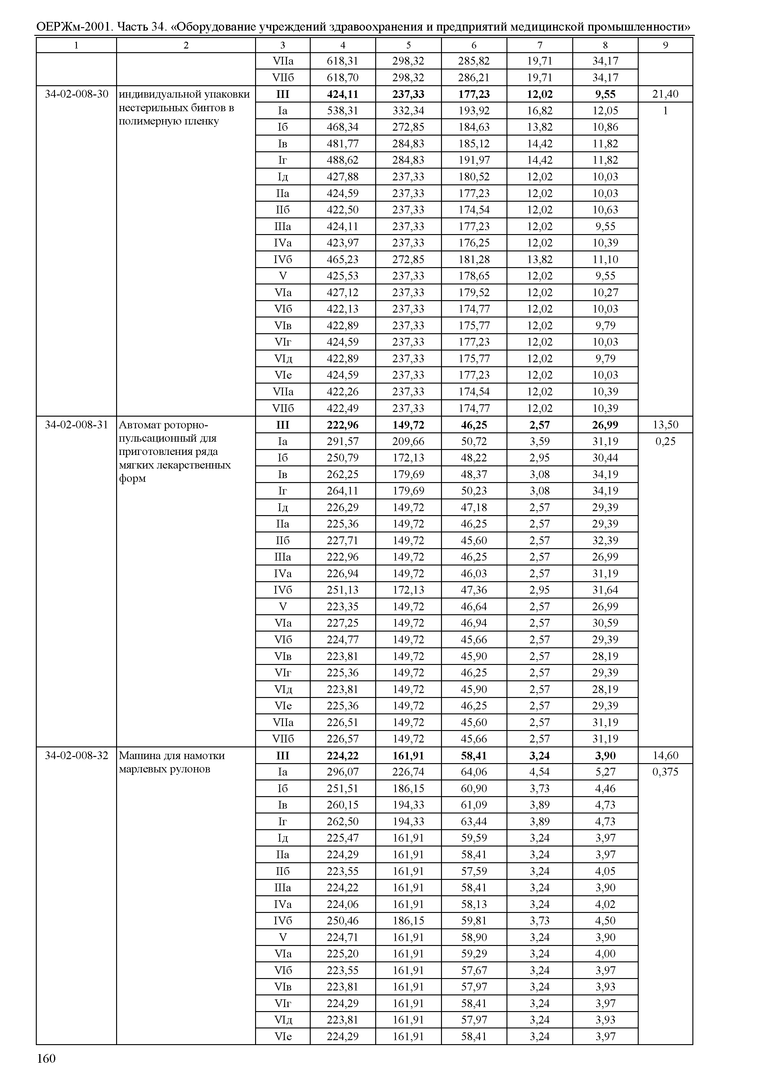
Часть 34. Оборудование учреждений здравоохранения и предприятий медицинской промышленности. Книга 1 (Северный, Северо-Западный, Центральный, Волго-Вятский, Центрально-Черноземный, Поволжский, Северо-Кавказский территориальные районы)Обозначение: | ОЕРЖм 81-03-34-2001 | Обозначение англ: | 81-03-34-2001 | Статус: | действует | Название рус.: | Часть 34. Оборудование учреждений здравоохранения и предприятий медицинской промышленности. Книга 1 (Северный, Северо-Западный, Центральный, Волго-Вятский, Центрально-Черноземный, Поволжский, Северо-Кавказский территориальные районы) | Дата добавления в базу: | 12.02.2016 | Дата актуализации: | 05.05.2017 | Дата введения: | 01.06.2011 | Область применения: | Отраслевые единичные расценки на монтаж оборудования предназначены для определения затрат при выполнении монтажных работ и составления на их основе сметных расчетов (смет) на производство указанных работ | Оглавление: | Часть 34. Оборудование учреждений здравоохранения и предприятий медицинской промышленности Отдел 01. Оборудование учреждений здравоохранения Раздел 1. Стерилизационное оборудование Раздел 2. Оборудование аптек Раздел 3. Оториноларингологическое оборудование Раздел 4. Стоматологическое оборудование Раздел 5. Светильники Раздел 6. Оборудование физиотерапевтических кабинетов Раздел 7. Оборудование рентгеновских кабинетов Раздел 8. Дезинфекционное и дезинсекционное оборудование Раздел 9. Общехирургическое оборудование Раздел 10. Офтальмологическое оборудование Раздел 11. Акушерско-гинекологическое оборудование Раздел 12. Оборудование для урологических отделений Раздел 13. Оборудование для анестезии, искусственного дыхания и кислородной терапии Раздел 14. Оборудование для диагностических исследований Раздел 15. Больничное оборудование Раздел 16. Лабораторное оборудование Раздел 17. Аппараты, приборы и оборудование для службы крови Раздел 18. Аппараты, приборы и оборудование для медицинской радиологии Отдел 02. Оборудование предприятий медицинской промышленности | Разработан: | ОАО РЖД НО Национальная ассоциация стоимостного инжиниринга
| Утверждён: | 31.01.2011 ОАО РЖД (178р)
| Расположен в: |
|
                                                                                                                                                                               
|