Скачать ОЕРЖм 81-03-31-2001 Часть 31. Оборудование предприятий кинематографии. Книга 2 (Уральский, Западно-Сибирский, Восточно-Сибирский, Дальневосточный территориальные районы)Дата актуализации: 10.08.2017 ОЕРЖм 81-03-31-2001
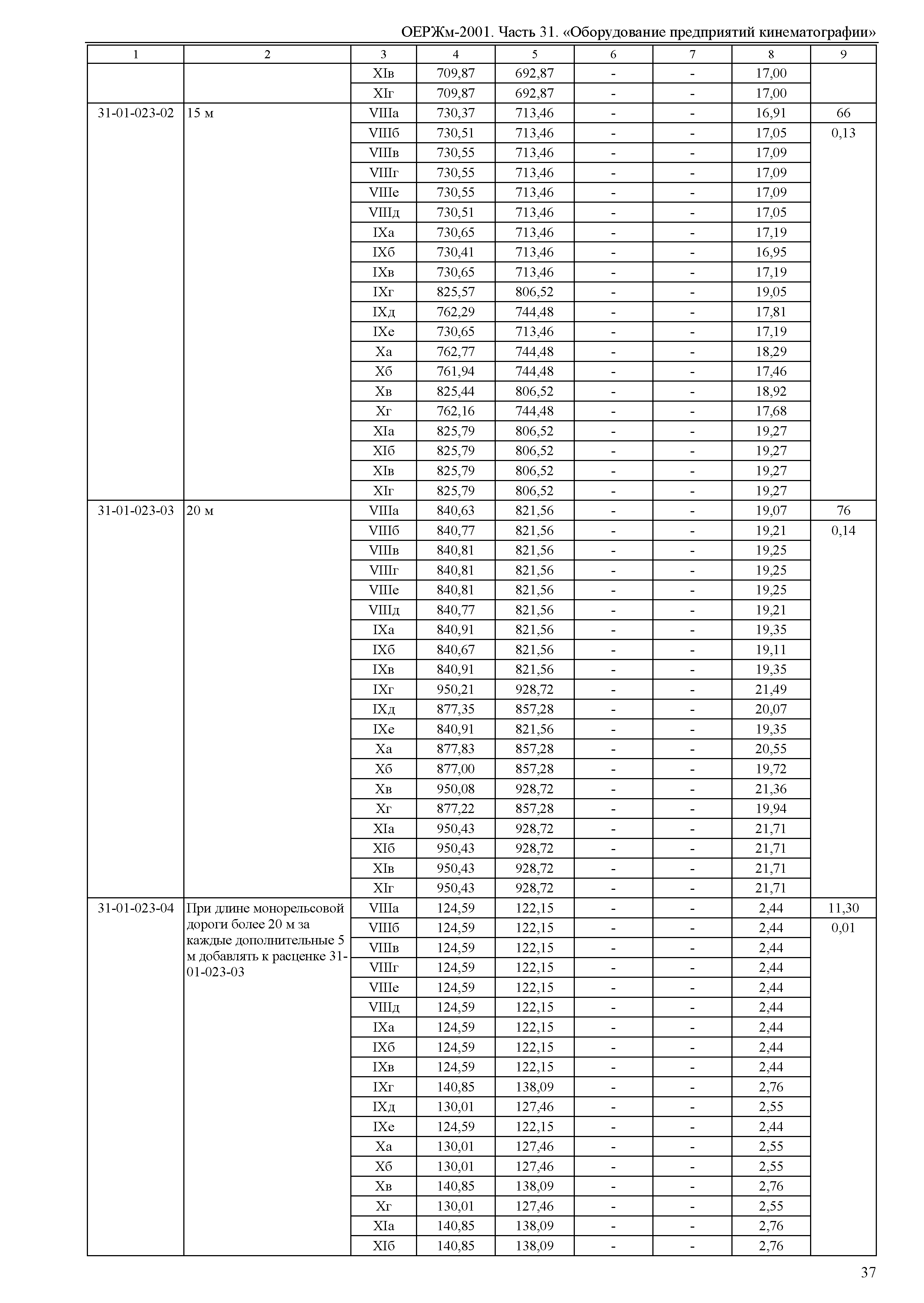
Часть 31. Оборудование предприятий кинематографии. Книга 2 (Уральский, Западно-Сибирский, Восточно-Сибирский, Дальневосточный территориальные районы)Обозначение: | ОЕРЖм 81-03-31-2001 | Обозначение англ: | 81-03-31-2001 | Статус: | действует | Название рус.: | Часть 31. Оборудование предприятий кинематографии. Книга 2 (Уральский, Западно-Сибирский, Восточно-Сибирский, Дальневосточный территориальные районы) | Дата добавления в базу: | 12.02.2016 | Дата актуализации: | 05.05.2017 | Дата введения: | 01.06.2011 | Область применения: | Отраслевые единичные расценки на монтаж оборудования предназначены для определения затрат при выполнении монтажных работ и составления на их основе сметных расчетов (смет) на производство указанных работ | Оглавление: | Отдел 01. Оборудование кинопредприятий Раздел 1. Кинотехнологическое оборудование Раздел 2. Кинокопировальное оборудование Раздел 3. Киностудийное оборудование Отдел 02. Оборудование лабораторное Раздел 1. Приборы лабораторные | Разработан: | ОАО РЖД НО Национальная ассоциация стоимостного инжиниринга
| Утверждён: | 31.01.2011 ОАО РЖД (178р)
| Расположен в: |
|
                                              
|