Скачать ОЕРЖм 81-03-28-2001 Часть 28. Оборудование предприятий пищевой промышленности. Книга 1 (Северный, Северо-Западный, Центральный, Волго-Вятский, Центрально-Черноземный, Поволжский, Северо-Кавказский территориальные районы)Дата актуализации: 10.08.2017 ОЕРЖм 81-03-28-2001
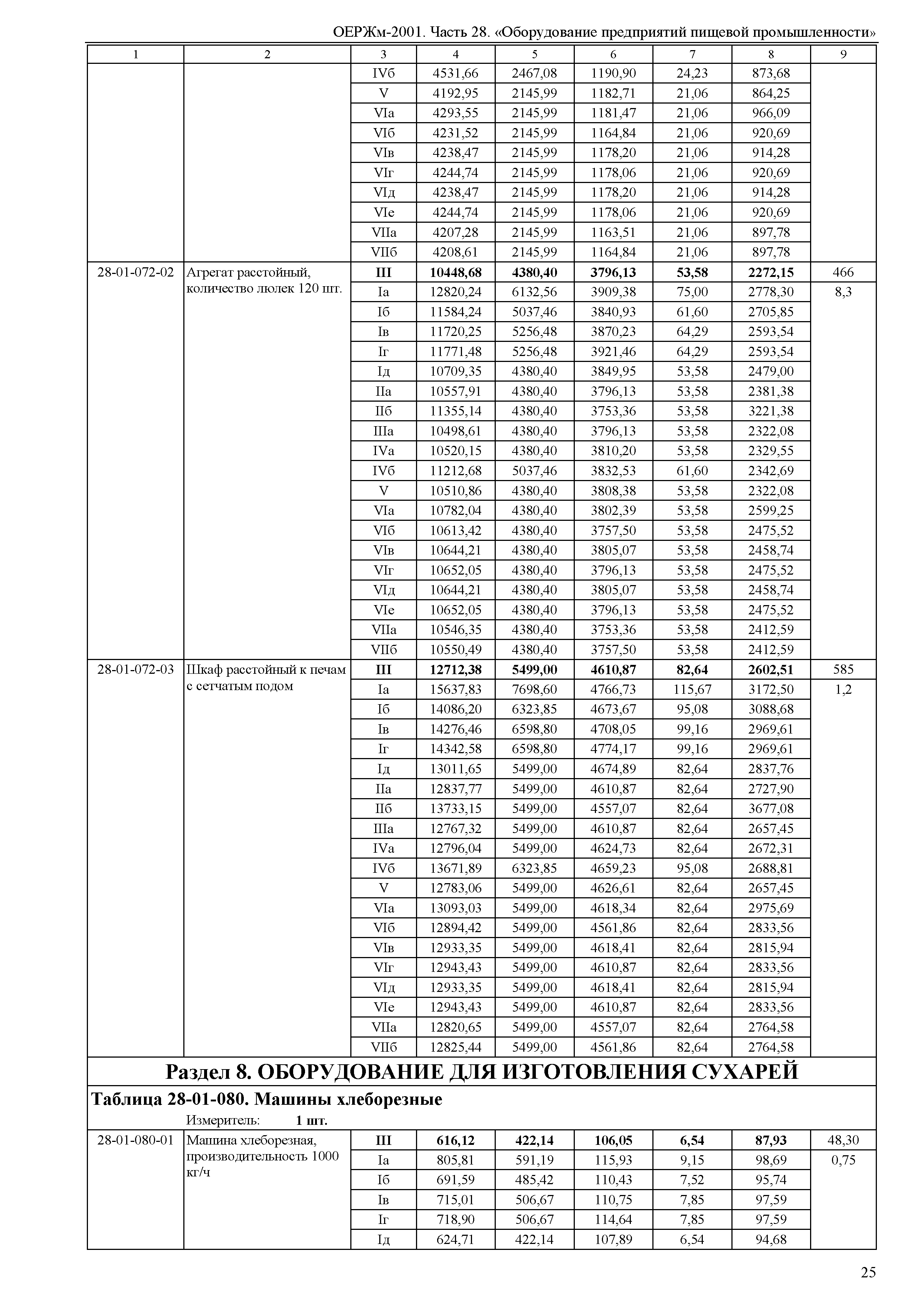
Часть 28. Оборудование предприятий пищевой промышленности. Книга 1 (Северный, Северо-Западный, Центральный, Волго-Вятский, Центрально-Черноземный, Поволжский, Северо-Кавказский территориальные районы)Обозначение: | ОЕРЖм 81-03-28-2001 | Обозначение англ: | 81-03-28-2001 | Статус: | действует | Название рус.: | Часть 28. Оборудование предприятий пищевой промышленности. Книга 1 (Северный, Северо-Западный, Центральный, Волго-Вятский, Центрально-Черноземный, Поволжский, Северо-Кавказский территориальные районы) | Дата добавления в базу: | 12.02.2016 | Дата актуализации: | 05.05.2017 | Дата введения: | 01.06.2011 | Область применения: | Отраслевые единичные расценки на монтаж оборудования предназначены для определения затрат при выполнении монтажных работ и составления на их основе сметных расчетов (смет) на производство указанных работ | Оглавление: | Часть 28. Оборудование предприятий пищевой промышленности Отдел 01. Оборудование предприятий хлебопекарной промышленности Раздел 1. Оборудование для бестарного и тарного хранения муки и для внутризаводского транспорта Раздел 2. Оборудование для подготовки сырья и его дозирования Раздел 3. Оборудование для приготовления дрожжей Раздел 4. Оборудование тестоприготовительное Раздел 5. Оборудование для разгрузки теста Раздел 6. Оборудование тесторазделочное Раздел 7. Оборудование для расстойки теста Раздел 8. Оборудование для изготовления сухарей Раздел 9. Оборудование разное Отдел 02. Оборудование предприятий сахарной промышленности Раздел 1. Механизмы транспортные специальные Раздел 2. Свеклорезки Раздел 3. Оборудование расфасовки и упаковки сахара-рафинада и песка Раздел 4. Оборудование для мойки сырья Раздел 5. Оборудование мешальное Раздел 6. Оборудование фильтрационное Раздел 7. Ловушки Раздел 8. Водоотделители и водоотводчики Раздел 9. Прессы Раздел 10. Диффузионное оборудование Раздел 11. Печи Раздел 12. Вакуум-аппараты Раздел 13. Оборудование механизации наружных работ Раздел 14. Оборудование сокоочистительного цеха Отдел 03. Оборудование предприятий мясоперерабатывающей промышленности Раздел 1. Оборудование для убоя скота и снятия шкур Раздел 2. Оборудование для разделки туш Раздел 3. Оборудование для обработки субпродуктов Раздел 4. Оборудование для производства технических фабрикатов Раздел 5. Оборудование для производства колбасных изделий Отдел 04. Оборудование предприятий рыбной промышленности Раздел 1. Машины сортировочные Раздел 2. Машины порционирующие Раздел 3. Льдогенераторы чешуйчатого и трубчатого льда Раздел 4. Аппараты морозильные Раздел 5. Оборудование оттаивательно-глазуровочное Раздел 6. Оборудование посольное Раздел 7. Оборудование для производства консервов и кулинарии Отдел 05. Оборудование предприятий масложировой промышленности Раздел 1. Оборудование маслодобывающей промышленности Раздел 2. Оборудование жироперерабатывающей промышленности Раздел 3. Оборудование маргариновой промышленности Раздел 4. Оборудование парфюмерно-косметической промышленности Раздел 5. Оборудование эфиромасличной промышленности Отдел 06. Оборудование предприятий молочной промышленности Раздел 1. Танки для молока и молочных продуктов Раздел 2. Оборудование для мойки и стерилизации Раздел 3. Оборудование для термической обработки молока и сливок Раздел 4. Оборудование для мойки стеклянной посуды и розлива молочных продуктов Раздел 5. Оборудование для производства, охлаждения и фасовки творога и сырковой массы Раздел 6. Оборудование для производства масла Раздел 7. Оборудование для производства сыра Раздел 8. Оборудование для производства молочных консервов Раздел 9. Оборудование для производства мороженого Раздел 10. Оборудование для производства молочного сахара и казеина Раздел 11. Оборудование разное Отдел 07. Оборудование предприятий консервной, пищеконцентратной и овощесушильной промышленности Раздел 1. Машины моечные Раздел 2. Оборудование колиброчное, сортировочное и очистительное Раздел 3. Оборудование измельчительное и разделочное Раздел 4. Аппараты тепловые Раздел 5. Наполнители-дозаторы Раздел 6. Оборудование укупорочное Раздел 7. Оборудование транспортное и загрузочно-разгрузочное Раздел 8. Оборудование прессовое и экстракционное Раздел 9. Оборудование расфасовочно-упаковочное Раздел 10. Оборудование для обработки пустых и наполненных банок Отдел 08. Оборудование предприятий макаронной промышленности Отдел 09. Оборудование предприятий кондитерской промышленности Раздел 1. Оборудование для обработки какао-бобов Раздел 2. Машины месильно-сбивальные и темперирующие Раздел 3. Оборудование тянульно-разделочное, формовочное и резательное Раздел 5. Оборудование глазуровочное и отделочное Раздел 6. Оборудование для подогрева и охлаждения карамельной массы Раздел 7. Печи и сушилки Раздел 8. Оборудование заверточно-фасовочное Раздел 9. Поточные линии, станции, агрегаты Отдел 10. Оборудование предприятий дрожжевой и крахмально-паточной промышленности Раздел 1. Оборудование дрожжевой промышленности Раздел 2. Оборудование крахмально-паточной промышленности Отдел 11. Оборудование предприятий винодельческой, спиртной, ликероводочной, пивоваренной, безалкогольной, табачной отраслей промышленности Раздел 1. Оборудование для производства вина Раздел 2. Оборудование для производства пива Раздел 3. Оборудование для производства спирта Раздел 4. Оборудование общее для винодельческой пиво-безалкогольной и спиртовой отраслей пищевой промышленности Раздел 5. Оборудование для производства табачных изделий Раздел 6. Оборудование чайной промышленности Отдел 12. Оборудование предприятий торговли и общественного питания Раздел 1. Оборудование предприятий торговли Раздел 2. Оборудование предприятий общественного питания Отдел 13. Оборудование картонажного производства Отдел 14. Оборудование для производства жестяной тары | Разработан: | ОАО РЖД НО Национальная ассоциация стоимостного инжиниринга
| Утверждён: | 31.01.2011 ОАО РЖД (178р)
| Расположен в: |
|
                                                                                                                                                                                                                                
|