Скачать ОЕРЖм 81-03-22-2001 Часть 22. Оборудование гидроэлектрических станций и гидротехнических сооружений. Книга 1 (Северный, Северо-Западный, Центральный, Волго-Вятский, Центрально-Черноземный, Поволжский, Северо-Кавказский территориальные районы)Дата актуализации: 10.08.2017 ОЕРЖм 81-03-22-2001
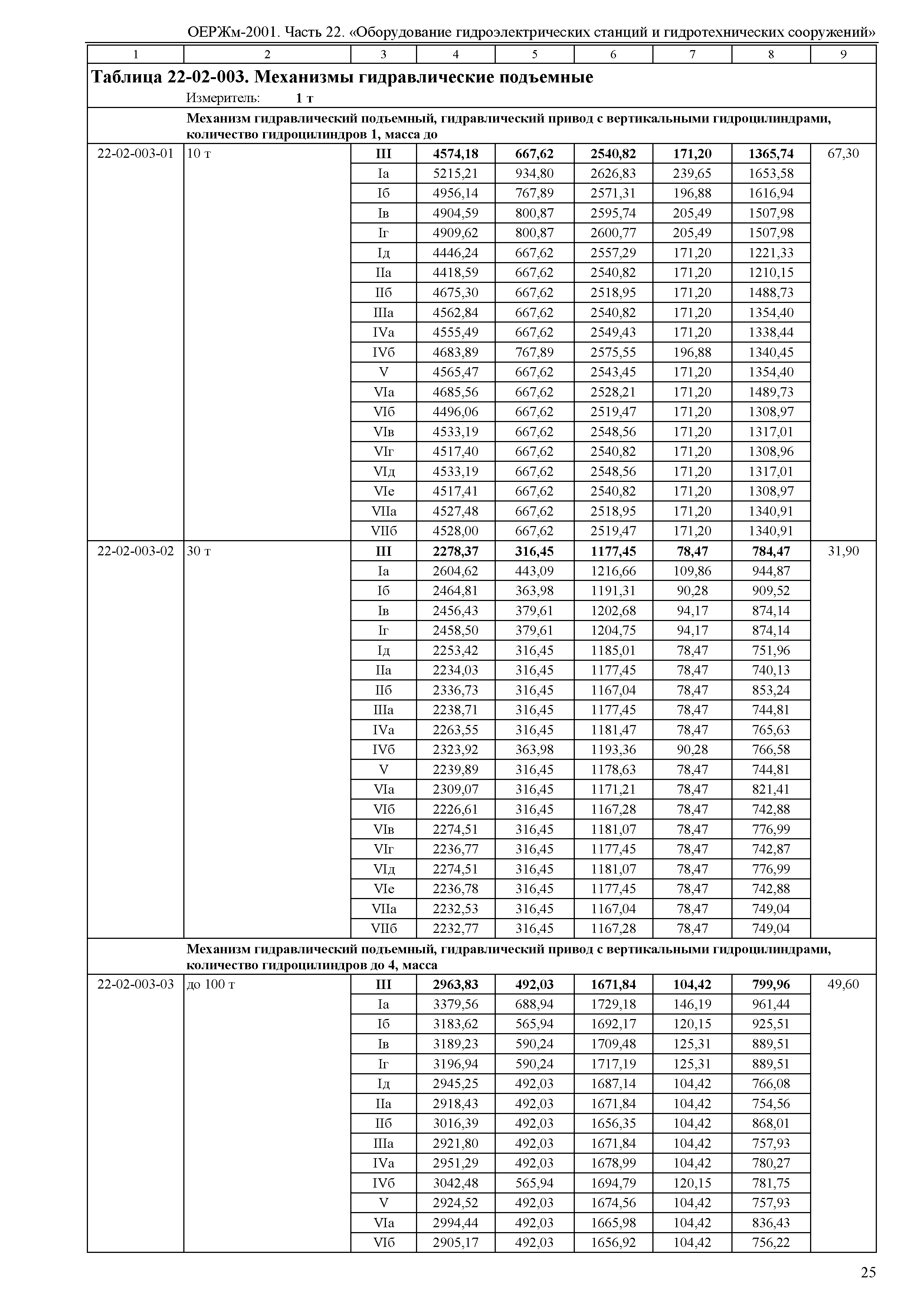
Часть 22. Оборудование гидроэлектрических станций и гидротехнических сооружений. Книга 1 (Северный, Северо-Западный, Центральный, Волго-Вятский, Центрально-Черноземный, Поволжский, Северо-Кавказский территориальные районы)Обозначение: | ОЕРЖм 81-03-22-2001 | Обозначение англ: | 81-03-22-2001 | Статус: | действует | Название рус.: | Часть 22. Оборудование гидроэлектрических станций и гидротехнических сооружений. Книга 1 (Северный, Северо-Западный, Центральный, Волго-Вятский, Центрально-Черноземный, Поволжский, Северо-Кавказский территориальные районы) | Дата добавления в базу: | 12.02.2016 | Дата актуализации: | 05.05.2017 | Дата введения: | 01.06.2011 | Область применения: | Отраслевые единичные расценки на монтаж оборудования предназначены для определения затрат при выполнении монтажных работ и составления на их основе сметных расчетов (смет) на производство указанных работ | Оглавление: | Часть 22. Оборудование гидроэлектрических станций и гидротехнических сооружений Отдел 01. Гидроэнергетическое оборудование Раздел 1. Гидравлические турбины Раздел 2. Металлические сварные камеры и металлические облицовки гидротурбин Раздел 3. Регуляторы скорости к гидротурбинам Раздел 4. Маслонапорные установки Раздел 5. Генераторы для электростанций Отдел 02. Механическое оборудование гидротехнических сооружений Раздел 1. Механизмы подъемные стационарные Раздел 2. Подъемные передвижные механизмы Раздел 3. Механизмы очистные Раздел 4. Механические узлы и детали затворов, шлюзовых ворот и сороудерживающих решеток Раздел 5. Затворы Раздел 6. Сороудерживающие решетки Раздел 7. Шлюзные ворота Раздел 8. Разное оборудование и работы | Разработан: | ОАО РЖД НО Национальная ассоциация стоимостного инжиниринга
| Утверждён: | 31.01.2011 ОАО РЖД (178р)
| Расположен в: |
|
                                                             
|