Скачать ОЕРЖм 81-03-20-2001 Часть 20. Оборудование сигнализации, централизации, блокировки и контактной сети на железнодорожном транспорте. Книга 1 (Северный, Северо-Западный, Центральный, Волго-Вятский, Центрально-Черноземный, Поволжский, Северо-Кавказский территориальные районы)Дата актуализации: 10.08.2017 ОЕРЖм 81-03-20-2001
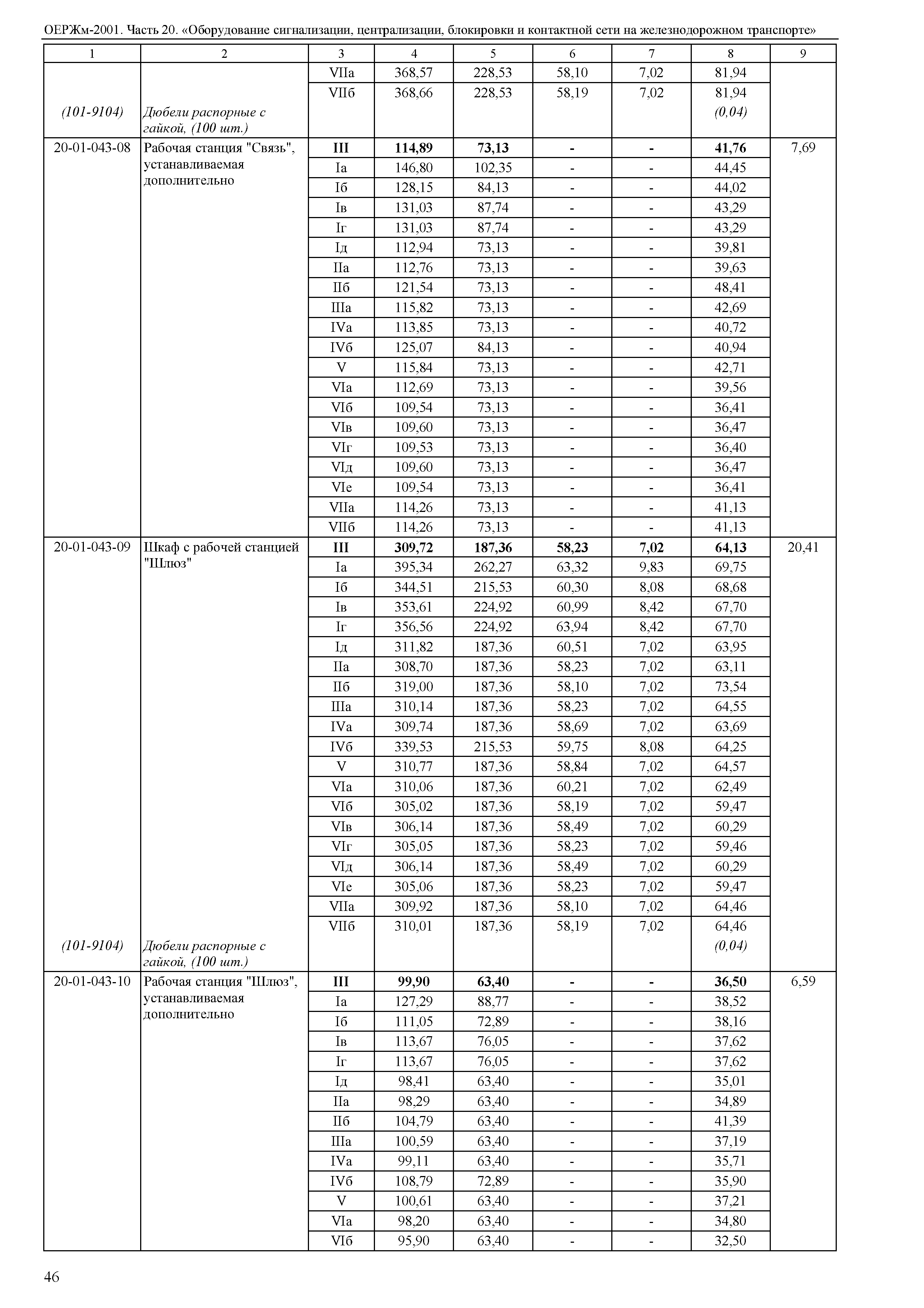
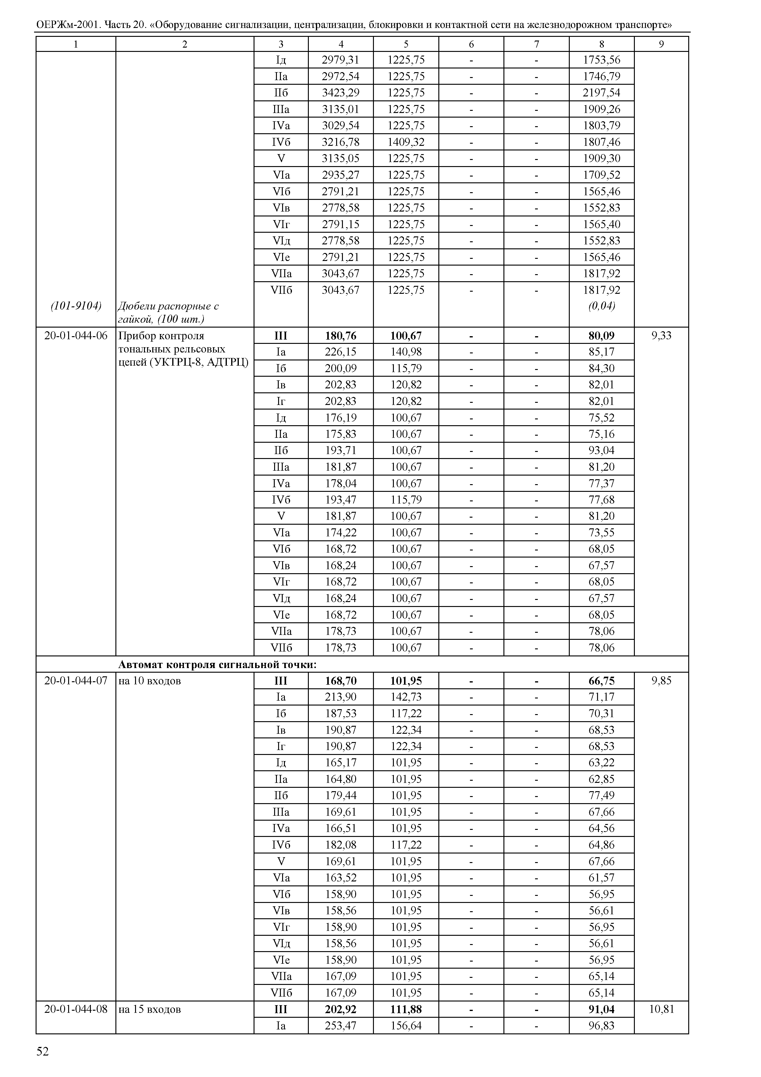
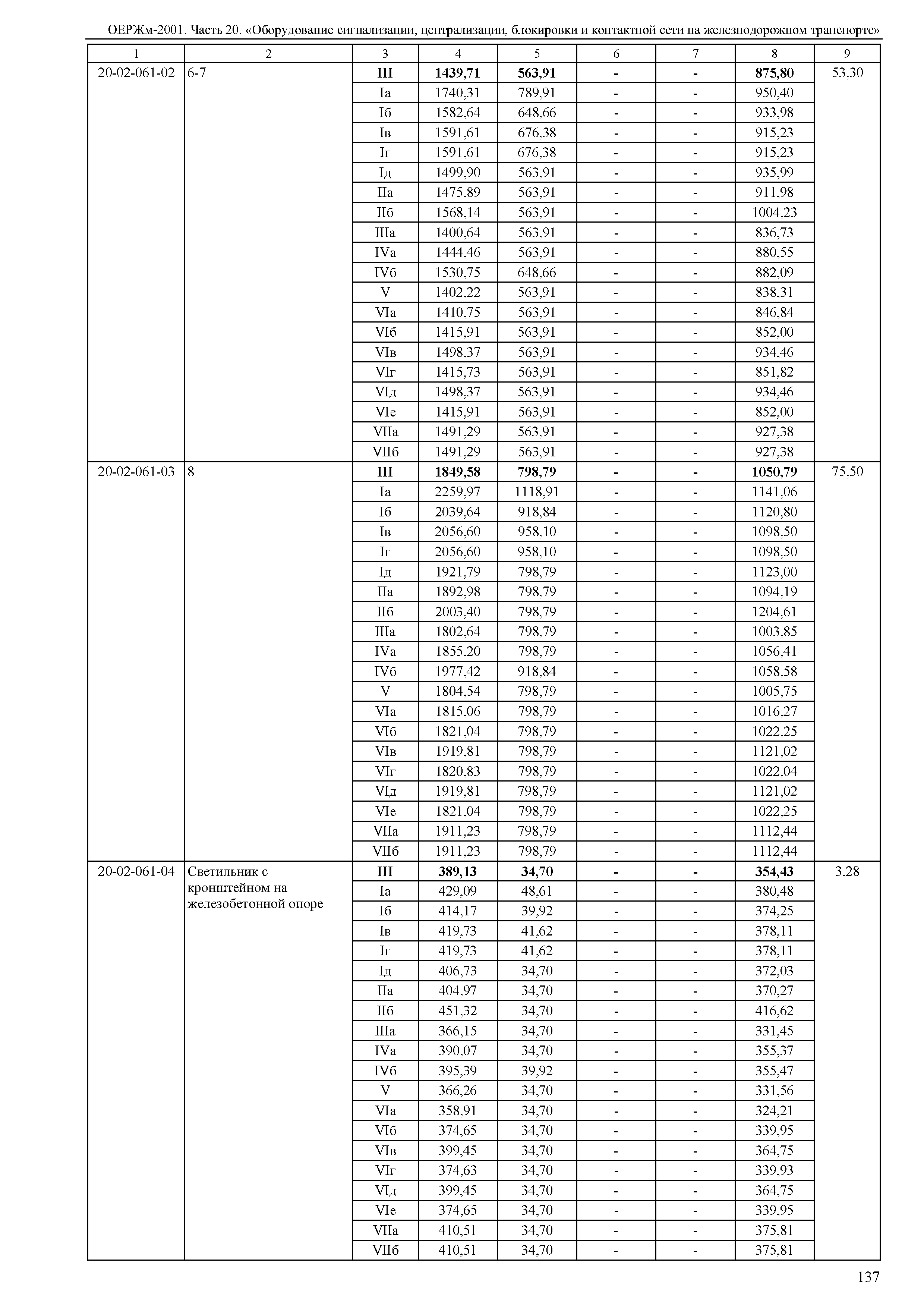
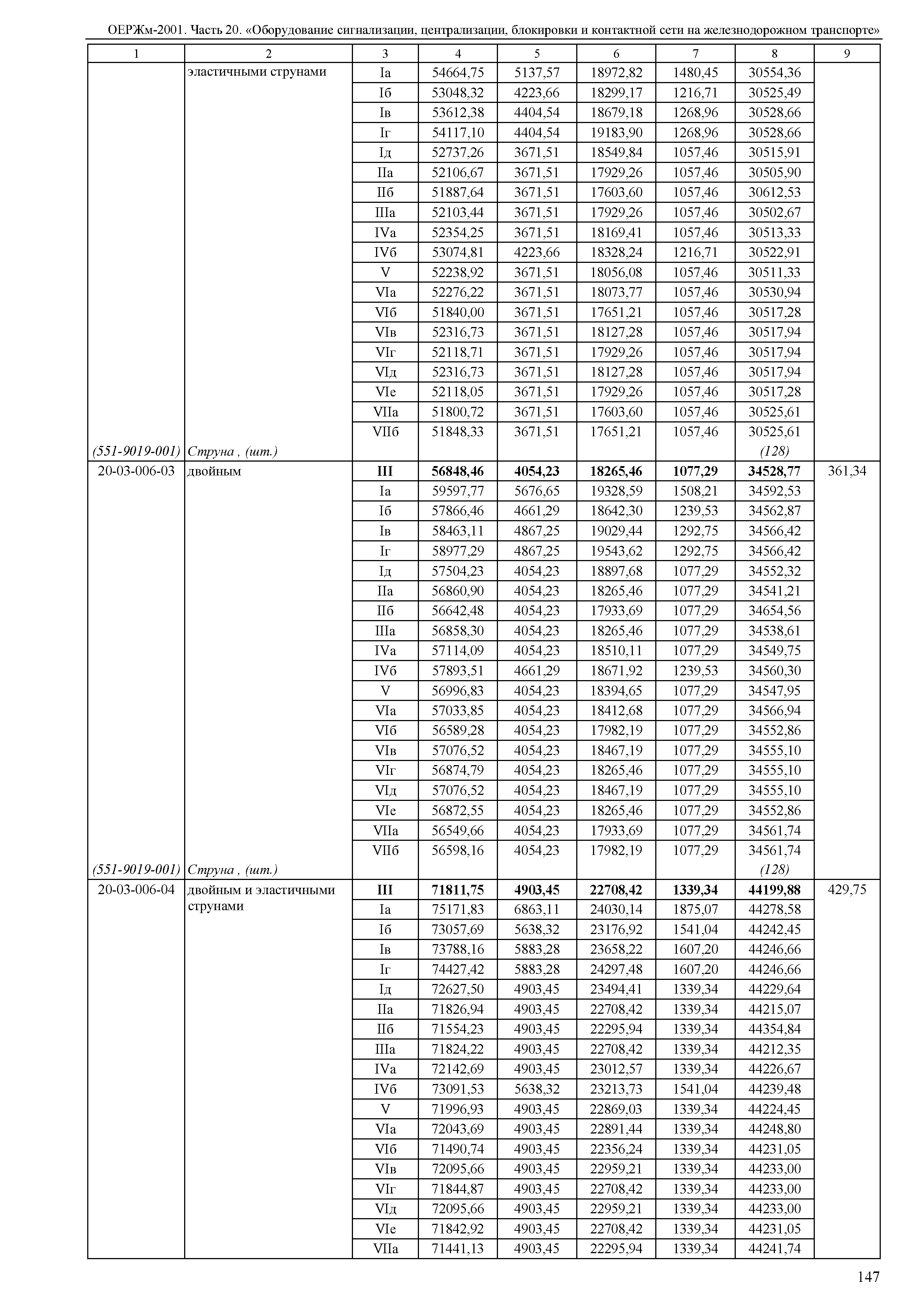
Часть 20. Оборудование сигнализации, централизации, блокировки и контактной сети на железнодорожном транспорте. Книга 1 (Северный, Северо-Западный, Центральный, Волго-Вятский, Центрально-Черноземный, Поволжский, Северо-Кавказский территориальные районы)Обозначение: | ОЕРЖм 81-03-20-2001 | Обозначение англ: | 81-03-20-2001 | Статус: | действует | Название рус.: | Часть 20. Оборудование сигнализации, централизации, блокировки и контактной сети на железнодорожном транспорте. Книга 1 (Северный, Северо-Западный, Центральный, Волго-Вятский, Центрально-Черноземный, Поволжский, Северо-Кавказский территориальные районы) | Дата добавления в базу: | 12.02.2016 | Дата актуализации: | 05.05.2017 | Дата введения: | 01.06.2011 | Область применения: | Отраслевые единичные расценки на монтаж оборудования предназначены для определения затрат при выполнении монтажных работ и составления на их основе сметных расчетов (смет) на производство указанных работ | Оглавление: | Отдел 01. Оборудование сигнализации, централизации и блокировки на железных дорогах Раздел 1. Диспетчерская, электрическая централизация и автоблокировка Раздел 2. Механизация, автоматизация сортировочных горок Раздел 3. Устройства электропитающие и кабельные Раздел 4. Электрожезловая система, маршрутно-контрольные устройства и полуавтоматическая блокировка Раздел 5. Ремонтно-восстановительные работы на кабельных сетях СЦБ и связи Отдел 02. Сети контактные на железнодорожном транспорте Раздел 1. Монтаж контактной подвески Раздел 2. Монтаж поддерживающих устройств и заземлений Раздел 3. Монтаж дополнительных проводов Раздел 4. Монтаж аппаратов контактной сети Раздел 5. Монтаж приборов освещения Отдел 03. Работы при модернизации (обновлении) и капитальном ремонте контактных сетей на железнодорожном транспорте Раздел 1. Замена проводов и перевод существующей контактной подвески и дополнительных проводов на новые поддерживающие устройства Раздел 2. Разборка устройства контактной сети и дополнительных проводов | Разработан: | ОАО РЖД НО Национальная ассоциация стоимостного инжиниринга
| Утверждён: | 31.01.2011 ОАО РЖД (178р)
| Расположен в: |
|
                                                                                                                                                                                             
|