Скачать ОЕРЖм 81-03-06-2001 Часть 6. Теплосиловое оборудование. Книга 1 (Северный, Северо-Западный, Центральный, Волго-Вятский, Центрально-Черноземный, Поволжский, Северо-Кавказский территориальные районы)Дата актуализации: 10.08.2017 ОЕРЖм 81-03-06-2001
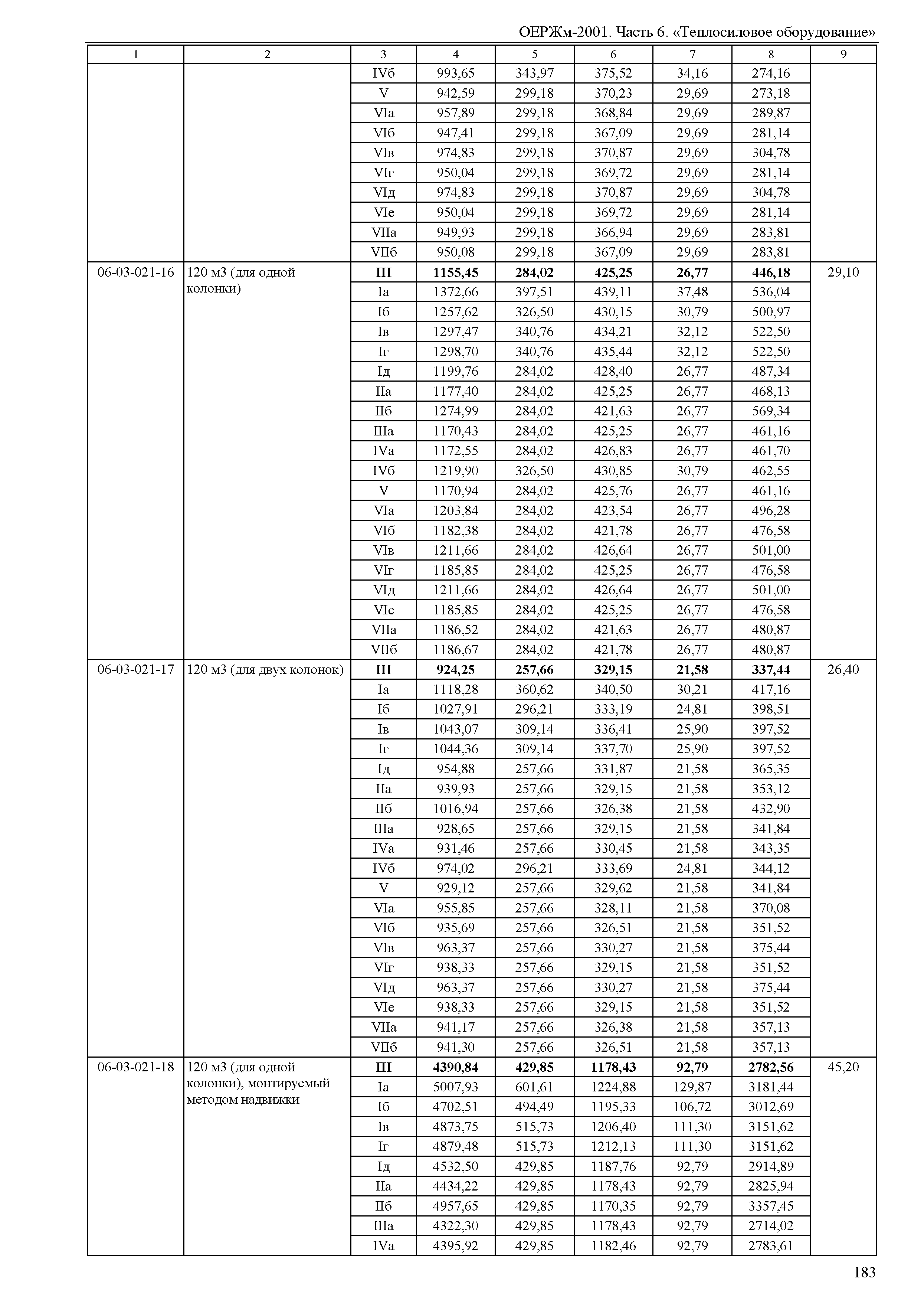
Часть 6. Теплосиловое оборудование. Книга 1 (Северный, Северо-Западный, Центральный, Волго-Вятский, Центрально-Черноземный, Поволжский, Северо-Кавказский территориальные районы)Обозначение: | ОЕРЖм 81-03-06-2001 | Обозначение англ: | 81-03-06-2001 | Статус: | действует | Название рус.: | Часть 6. Теплосиловое оборудование. Книга 1 (Северный, Северо-Западный, Центральный, Волго-Вятский, Центрально-Черноземный, Поволжский, Северо-Кавказский территориальные районы) | Дата добавления в базу: | 12.02.2016 | Дата актуализации: | 05.05.2017 | Дата введения: | 01.06.2011 | Область применения: | Отраслевые единичные расценки на монтаж оборудования предназначены для определения затрат при выполнении монтажных работ и составления на их основе сметных расчетов (смет) на производство указанных работ | Оглавление: | Часть 6. Теплосиловое оборудование Отдел 01. Паровые и водогрейные стационарные котлы Раздел 1. Элементы паровых стационарных котлов Раздел 2. Котлы паровые автоматизированные Раздел 3. Элементы водогрейных котлов Отдел 02. Котельно-вспомогательное оборудование Раздел 1. Топочные устройства Раздел 2. Оборудование пылеприготовления Отдел 03. Оборудование водоподготовки Раздел 1. Аппаратура для химической очистки воды Раздел 2. Аппаратура для термической обработки воды Раздел 3. Станционные баки Раздел 4. Установки для преобразования пара Отдел 04. Агрегаты паротурбинные и газотурбинные Раздел 1. Турбины паровые стационарные и установки газотурбинные стационарные Раздел 2. Конденсаторы Раздел 3. Турбогенераторы Отдел 05. Турбинное вспомогательное оборудование | Разработан: | ОАО РЖД НО Национальная ассоциация стоимостного инжиниринга
| Утверждён: | 31.01.2011 ОАО РЖД (178р)
| Расположен в: |
|
                                                                                                                                                                                                                        
|