Скачать ОЕРЖр 81-04-2001 Книга 2 (Уральский, Западно-Сибирский, Восточно-Сибирский, Дальневосточный районы)Дата актуализации: 10.08.2017 ОЕРЖр 81-04-2001
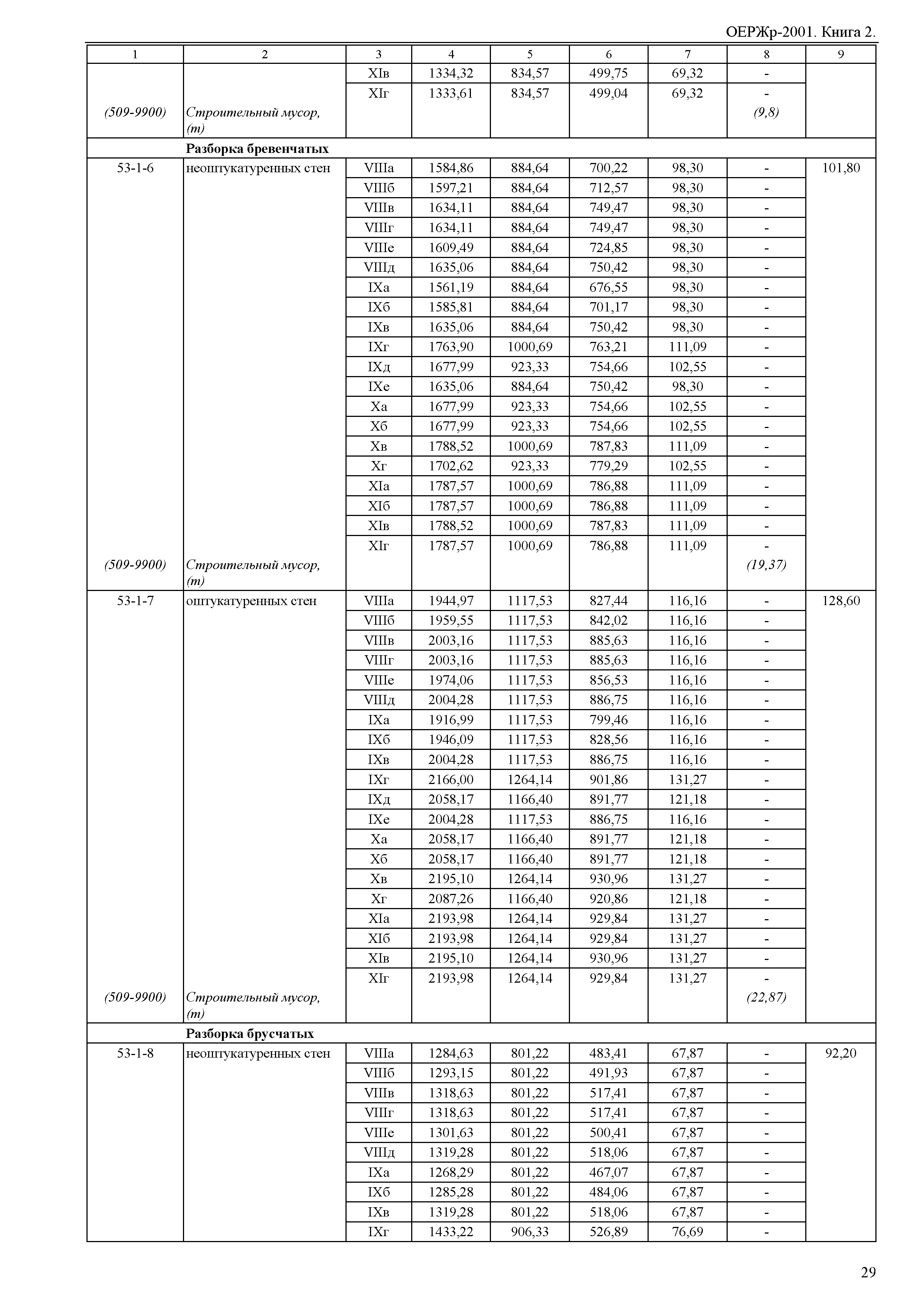
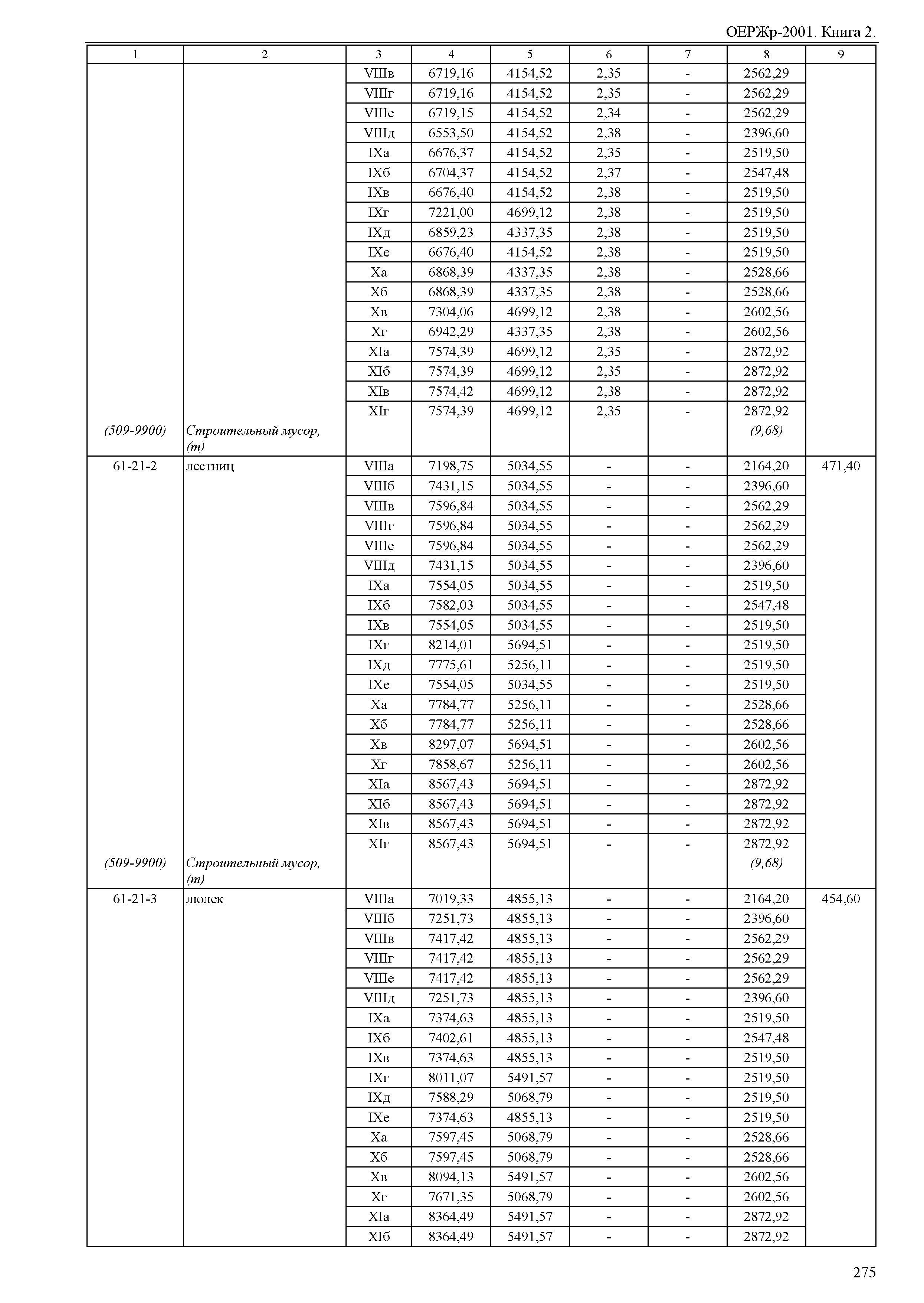
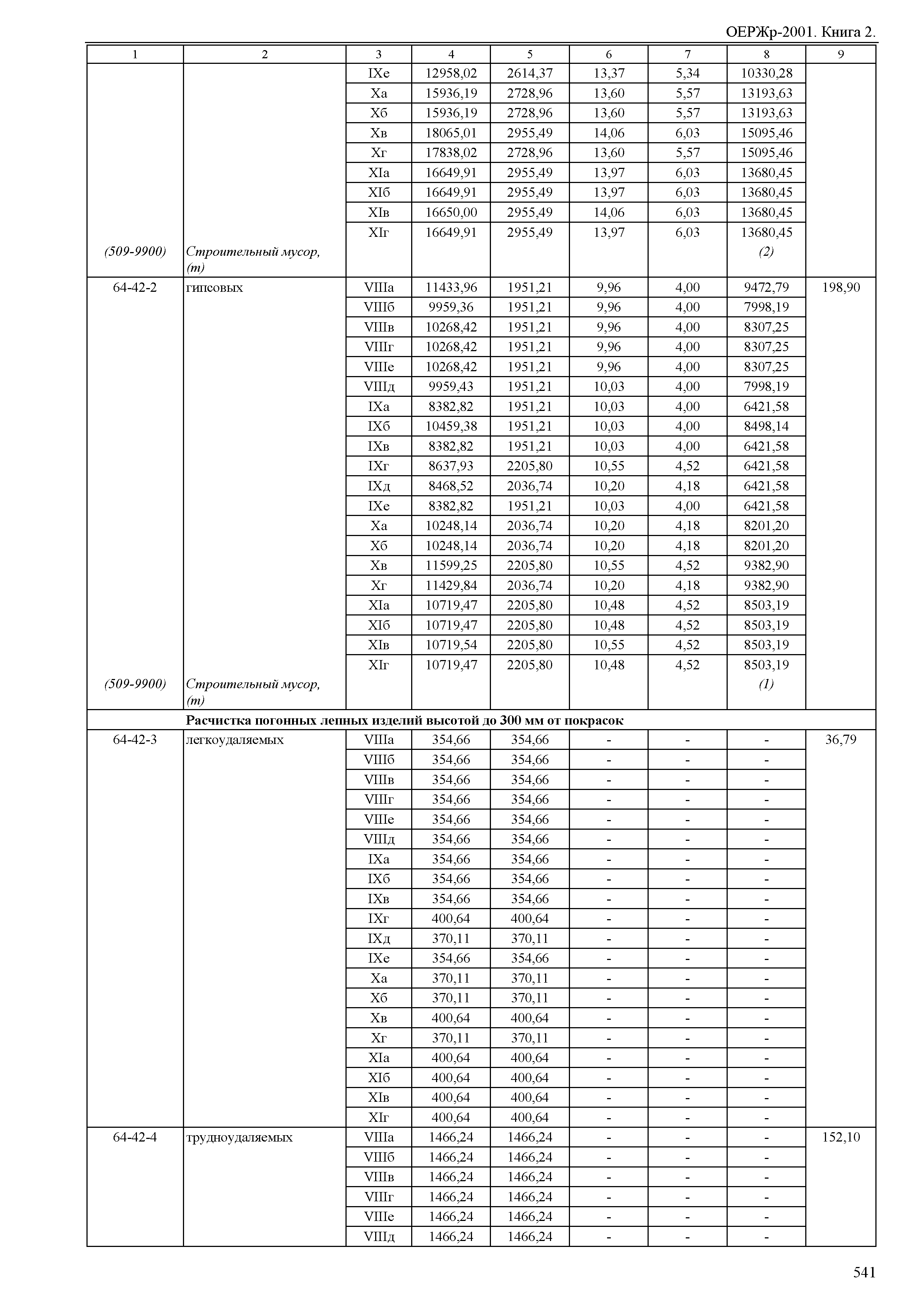
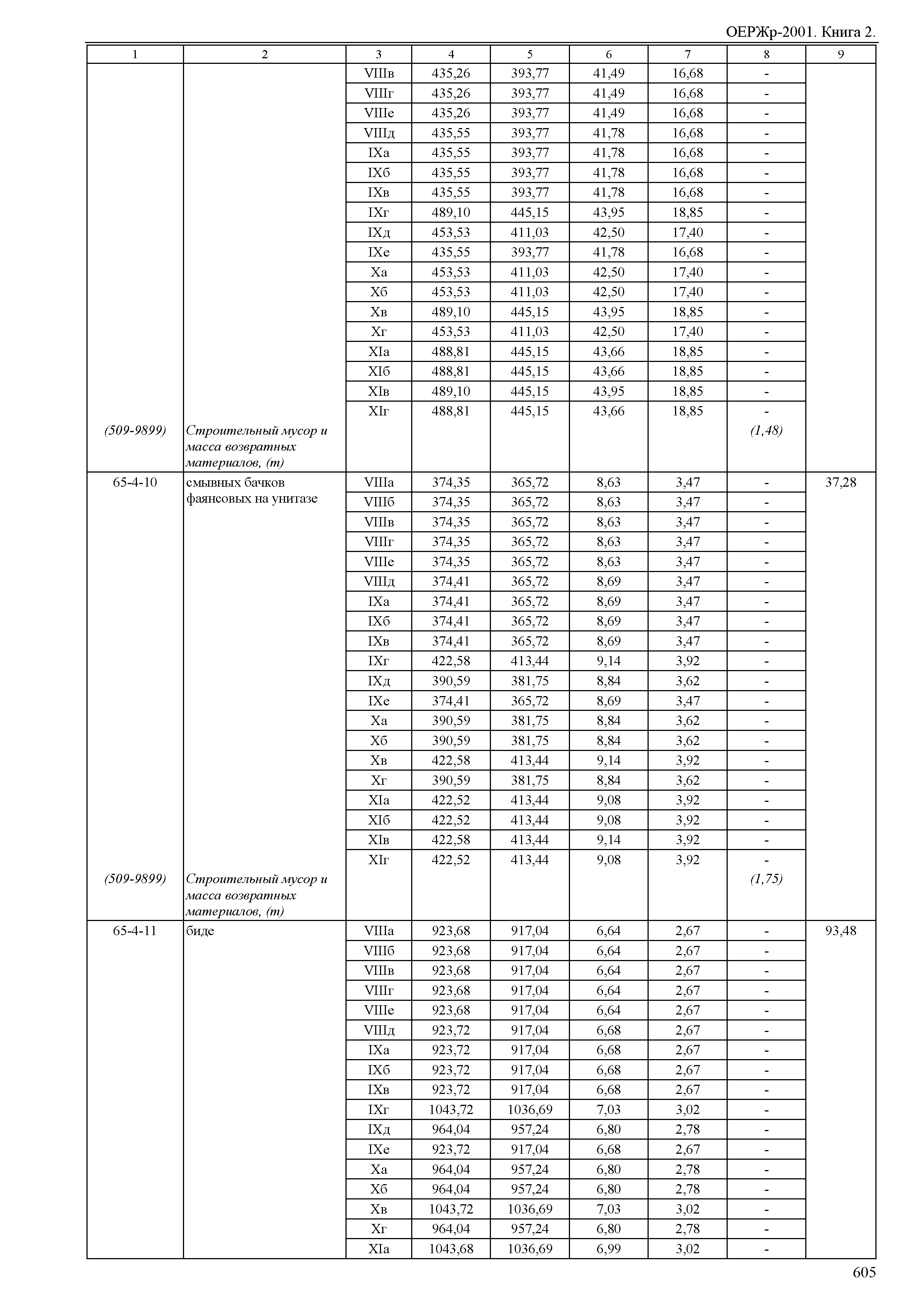
Книга 2 (Уральский, Западно-Сибирский, Восточно-Сибирский, Дальневосточный районы)Обозначение: | ОЕРЖр 81-04-2001 | Обозначение англ: | 81-04-2001 | Статус: | действует | Название рус.: | Книга 2 (Уральский, Западно-Сибирский, Восточно-Сибирский, Дальневосточный районы) | Дата добавления в базу: | 12.02.2016 | Дата актуализации: | 05.05.2017 | Дата введения: | 01.06.2011 | Область применения: | Отраслевые единичные расценки на ремонтно-строительные работы предназначены для определения затрат при выполнении ремонтно-строительных работ и составления на их основе сметных расчетов (смет) на производство указанных работ. | Оглавление: | Раздел 54. Перекрытия Раздел 55. Перегородки Раздел 56. Проемы Раздел 57. Полы Раздел 58. Крыши, кровли Раздел 59. Лестницы, крыльца Раздел 60. Печные работы Раздел 61. Штукатурные работы Раздел 62. Малярные работы Подраздел 62.1. Окраска внутренних помещений Подраздел 62.2. Окраска фасадов Подраздел 62.3. Окраска металлических поверхностей Подраздел 62.4. Разные работы Раздел 63. Стекольные, обойные и облицовочные работы Раздел 64. Лепные работы Раздел 65. Внутренние санитарно-технические работы Подраздел 65.1. Водопровод и канализация Подраздел 65.2. Центральное отопление Подраздел 65.3. Вентиляция Подраздел 65.4. Газоснабжение Подраздел 65.5. Разные работы Раздел 66. Наружные инженерные сети Подраздел 66.1. Реконструкция и ремонт наружных инженерных сетей Подраздел 66.2. Реконструкция и ремонт наружных сетей водопровода бестраншейными методами с применением импортных технологий восстановление водопроводных сетей по методике Восстановление водопроводных сетей по методике "Процесс Феникс" Замена старых труб полиэтиленовыми трубами с помощью пневмопробойника Подраздел 66.3. Реконструкция и ремонт наружных сетей канализации бестраншейными методами с применением импортных технологий Облицовка колодцев полиэтиленом Перекрытие участков канализационных сетей с помощью пневмозаглушек Бестраншейная замена канализационных трубопроводов Раздел 67. Электромонтажные работы Раздел 68. Благоустройство Раздел 69. Прочие ремонтно-строительные работы | Разработан: | ОАО РЖД НО Национальная ассоциация стоимостного инжиниринга
| Утверждён: | 31.01.2011 ОАО РЖД (178р)
| Расположен в: |
|
                                                                                                                                                                                                                                                                                                                                                                                                                                                                                                                                                                                                                                                                                                                                                                                                                                                                                                                                        
|